Return to list

View alignment of MAF (12-files) vs LASTZ top hits (20-flies)

View all possible LASTZ hits (20-flies)

dme-mir-4912

chr2L:4829980-4830039 -

Known_mirbase

[View on miRBase] [View on UCSC Genome Browser {Cornell Mirror}]

mirtron


Legend:

   mature strand at position 4830017-4830039
   star strand at position 4829980-4830001
   mutations
   read mismatches

Notes: droEle slice acceptor appears incorrect but there are other GT's downstream


20-way Fast Statistical Aligner (FSA) re-alignment

Visually pleasing best hits from LASTZ and MAF


Species Coordinate Source Confidence Alignment
dm3 chr2L:4829965-4830054 - 1 CATTCGCAGCTTTAAGTGAGTAGTCGT---ATGTTTATTAA-------------------------------------------------------------------------------------------------------------------------------------------------------------------------GAT-TTACTTTCTATAAAT----------------------------------------------------T-AATGT--CC-----ACTACTTTTAGTCTCTATGACGATGA
droSim1 chr2L:4699797-4699886 - LASTZ 5 CATTCGCAGCTTTAAGTGAGTAATCGT---ATGTTTATTAA-------------------------------------------------------------------------------------------------------------------------------------------------------------------------GAT-TCACTTTCTATAAAC----------------------------------------------------T-AATTT--GC-----ACTACTTGTAGTCTCTATGACGACGA
droSec1 super_5:2925673-2925762 - LASTZ 5 CATTCGCAGCTTTAAGTGAGTAATCGT---ATGTTTATTAA-------------------------------------------------------------------------------------------------------------------------------------------------------------------------GAT-TCACTTTCTATAAAC----------------------------------------------------T-AATTT--GC-----ACTACTTGTAGTCTCTATGACGACGA
droYak2 chr2L:4839794-4839887 - LASTZ 5 CATTCGCAGCTTTAAGTGAGTAAAACT---ATGTCTATTA--------------------------------------------GGT---------------------------------------------------------------------------------------------------------------------GA----AAT-TAACTTTCTATAAAT----------------------------------------------------T-ACTTT--TC-----TTTATTTTTAGTCTATATGACGACGA
droEre2 scaffold_4929:4910720-4910828 - LASTZ 5 CATTCGCAGTTTTAAGTGAGTAAAATT---AGGTTTAATTT--------------------------------GG-TTTATTA-GGAGAA--------------------------------------------T-TTTAA------------------------------------------------------------AATT----------A-C-TTTTTTAAAT----------------------------------------------------T-GCTTT--TC-----ATTATTTGCAGTCTCTATGACGACGA
droEug1 scf7180000409005:708020-708177 - LASTZ 5 AATTCGCAGCTTCAAGTAAGTATATGT---ATATATGTATATATTATTC-------------------------------------------------------AAATCGA------------------------------TGA--------------------------------------------TTAAATATAGATTAG----GTCAATTC--------------C-------TATTTGAATCCATTTATTCATAAAGGTTCCTTTTTATTCAAAA-TA--TTCCTAT-----TTTATTTTCAGACTCTACGACGACGA
droBia1 scf7180000302188:1402569-1402698 - LASTZ 5 CATACGCAGTTTCAAGTGAGTGGGGAT---TT----------------------TGGGGAG-------------------------------------------------------------------------TCATTAAAGC-CTTTAAAGATGTCGAACTTTATGGTA-----------------TTAAG--------C------------AAGCAT--------------------------TTAATGGA-------------------------TT-T-ATG----AACGTATATACTTCCAGACTCTACGACGACGA
droTak1 scf7180000415705:123599-123784 - LASTZ 5 CATAAAAAGCTTCAAGTGAGTGGGGATAGCAAGTTTATA---------------------------GCACATAGGTTCTATTA---------------------CAA---------------------------CAGATCTACATATCTAAAGTCATTGAAATTT--GGCCTAAAATTGCTTTTATATTAGTTATTTTATTA----------------------------------------------------ACATAAATGATAAAGCTTTAATAAAT-TC--TCCCCAT-----TGTAATTCCAGACTCTACGACGACGA
droEle1 scf7180000491046:2483308-2483395 - LASTZ 5 GATTTACAT--TCAATCAAGTTTTTGT---TC------------------------------------------------------------------------------------------------------------AAGT--------------------------------------------TTAAGTACTTATTGA----CTCAATTT--------------CACT-----------------------------------------------------TT--TT-----TAAATTTATAGACTCTATGACGACGA
droRho1 scf7180000768274:29807-29997 + LASTZ 5 CATTCGTACCTTCAAGTGAGTGGGGAT---TTGGGAA-----------------------TTCATTCCAAATAGATTTTATAAAGGG-GACATTTATAATGTTCAAATTCAAGACCCCCAGACAATTTTGTTCCTTTTTAAAGTTATTTATTTC------------------------------AAGTTCGTTAATTTACTAA----TTTAATTT--------------TGCC-------------------------------------------------TTACT----A----ATGTTTTTCCAGGCTCTTCGACGATGA
droFic1 scf7180000453842:1425509-1425600 + LASTZ 5 TATTCGCACCTTCAAGTAAGTGGTTGT---ACATT----------ATAC-------------------------------------------------------A--------------------------------------------------------------------------------------AATATCGA--AATGAGTTCAATAC--------------------------------------------------------------------CATTC--CT-----ATTATCTCCAGGCTTTATGACGACGA
droKik1 scf7180000302472:3508957-3509047 - LASTZ 5 CATACGCACCTTCAAGTGAGTCTAATTATTA-------------------------------------------------------------------------------------------------------------AC--------------------------------------------------------------C------------------------TCTTTTTTTGTAT----GTTTTA-------------------------AATT-CAGTCT--CT-----GATCCTTGCAGCCTCTATGATGATGA
droAna3 scaffold_12916:9399289-9399374 - LASTZ 5 CATTCGAAGCTTCAAGTATGTTAAGAA---AT----------------------CCA-----------------------------------------------------------------------------C------------------------------------------------------------------GATTT----TTTTA------------------------TAT----T------TTCATACA---------------AA---------------ATTCA-TTTTTTCAGCTTGTACGACGACGA
droBip1 scf7180000396535:1966691-1966779 - LASTZ 5 CATTAGGAGTTTCAAGTGGGTTAAGAA---AT------------------------------------------------------------------------------------------------------------------------------------------------------------------ACCCATAGCTTT----ACTTA------------------------TAT----T------TTCATTAA-----------------------GA-------ATTCG-TTATTTCAGCCTGTACGATGACGA
dp4 chr4_group3:3587822-3587933 - LASTZ 5 CATACGCACATTTAAGTGAGTAGGAAA---AA----------------------TCG-----------------------------------------------------------------------------TTGTTTAAGCTGTTTACTGC--------------------------------------------------------GATTG--------------TACTTTACTGTAT----TTACTGTA-------------------------TT-TGGTA----C-----ATGCCTTGCAGCCTCTATGATTCCGA
droPer1 super_1:5067398-5067508 - LASTZ 5 CATACGCACATTTAAGTGAGTAGGAAA---AT-----------------------CG-----------------------------------------------------------------------------CTGTTTAAGCTGTTTACTGC--------------------------------------------------------GATTG--------------TACTTTACTGTAT----TTACTGTA-------------------------TT-TGGTA----C-----ATGCCTTGCAGCCTCTATGATTCCGA
droWil1 scaffold_180772:1562219-1562313 - LASTZ 5 CATTAAAACGTTTAAGTGAGTAGTAAA---TC-------------TTGGTTAACCCA-----------------------------------------------------------------------------A------------------------------------------------------------------TAC------GATT--------------------------------TCATTGGCGTTT--------------------------ATA----AATTCCT-CCACCTTAGCCTTTACGACGACGA
droVir3 scaffold_12963:8507047-8507138 + LASTZ 5 CATACGCACATTCAAGTATGTCAACTA---T-----------------------------------------------------------------------------------------------------------------------------------------------------------------------------------GAT------------AAAATGCTTTGCAGTAC----TCTTTAAA-------------------------TA-TTGTAT--TC-----TCATTCGATAGCCTCTATGACGACGA
droMoj3 scaffold_6500:1118880-1118971 + LASTZ 5 CATACGTACATTCAAGTAAGCCCAATTCGCCG------------------------------------------------------------------------------------------------------------AC--------------------------------------------------------------GT----TAT------------------------GGTAT----T------CATATACA---------------AATGCT-AATCA--TT-----TATCCCTTTAGCCTCTATGACGACGA
droGri2 scaffold_15252:11699277-11699378 + LASTZ 5 CATACGCACCTTCAAGTATGTGCAATGGGTAA--------------------ACCAT-----------------------------------------------------------------------------ATGTGAGAGATTTAAACCTT--------------------------------------------------------AATTT--------------TACTTTCCTATAT-----------------------------------------------------CTG-CCCAAACAGTCTGTACGATGACGA

Legend

0- The ortholog is absent. A better synthenic sequence candidate could not be found.
1- Reads w/ good pileup on mature and star strand & folds into hairpin structure.
2- Reads w/ good pileup on mature and star strand BUT does not fold into hairpin structure.
3- Sporadic reads & folds into a hairpin structure.
4- No reads but folds into a hairpin structure.
5- Ortholog is confident but miRNA appears absent (no reads and does not fold into a hairpin)

Re-alignment after removal of non-confident orthologs

Species Alignment
dm3 CATTCGCAGCTTTAAGTGAGTAGTCGT---ATGTTTATTAA-------------------------------------------------------------------------------------------------------------------------------------------------------------------------GAT-TTACTTTCTATAAAT----------------------------------------------------T-AATGT--CC-----ACTACTTTTAGTCTCTATGACGATGA
droSim1 CATTCGCAGCTTTAAGTGAGTAATCGT---ATGTTTATTAA-------------------------------------------------------------------------------------------------------------------------------------------------------------------------GAT-TCACTTTCTATAAAC----------------------------------------------------T-AATTT--GC-----ACTACTTGTAGTCTCTATGACGACGA
droSec1 CATTCGCAGCTTTAAGTGAGTAATCGT---ATGTTTATTAA-------------------------------------------------------------------------------------------------------------------------------------------------------------------------GAT-TCACTTTCTATAAAC----------------------------------------------------T-AATTT--GC-----ACTACTTGTAGTCTCTATGACGACGA
droYak2 CATTCGCAGCTTTAAGTGAGTAAAACT---ATGTCTATTA--------------------------------------------GGT---------------------------------------------------------------------------------------------------------------------GA----AAT-TAACTTTCTATAAAT----------------------------------------------------T-ACTTT--TC-----TTTATTTTTAGTCTATATGACGACGA
droEre2 CATTCGCAGTTTTAAGTGAGTAAAATT---AGGTTTAATTT--------------------------------GG-TTTATTA-GGAGAA--------------------------------------------T-TTTAA------------------------------------------------------------AATT----------A-C-TTTTTTAAAT----------------------------------------------------T-GCTTT--TC-----ATTATTTGCAGTCTCTATGACGACGA
droEug1 AATTCGCAGCTTCAAGTAAGTATATGT---ATATATGTATATATTATTC-------------------------------------------------------AAATCGA------------------------------TGA--------------------------------------------TTAAATATAGATTAG----GTCAATTC--------------C-------TATTTGAATCCATTTATTCATAAAGGTTCCTTTTTATTCAAAA-TA--TTCCTAT-----TTTATTTTCAGACTCTACGACGACGA
droBia1 CATACGCAGTTTCAAGTGAGTGGGGAT---TT----------------------TGGGGAG-------------------------------------------------------------------------TCATTAAAGC-CTTTAAAGATGTCGAACTTTATGGTA-----------------TTAAG--------C------------AAGCAT--------------------------TTAATGGA-------------------------TT-T-ATG----AACGTATATACTTCCAGACTCTACGACGACGA
droTak1 CATAAAAAGCTTCAAGTGAGTGGGGATAGCAAGTTTATA---------------------------GCACATAGGTTCTATTA---------------------CAA---------------------------CAGATCTACATATCTAAAGTCATTGAAATTT--GGCCTAAAATTGCTTTTATATTAGTTATTTTATTA----------------------------------------------------ACATAAATGATAAAGCTTTAATAAAT-TC--TCCCCAT-----TGTAATTCCAGACTCTACGACGACGA
droEle1 GATTTACAT--TCAATCAAGTTTTTGT---TC------------------------------------------------------------------------------------------------------------AAGT--------------------------------------------TTAAGTACTTATTGA----CTCAATTT--------------CACT-----------------------------------------------------TT--TT-----TAAATTTATAGACTCTATGACGACGA
droRho1 CATTCGTACCTTCAAGTGAGTGGGGAT---TTGGGAA-----------------------TTCATTCCAAATAGATTTTATAAAGGG-GACATTTATAATGTTCAAATTCAAGACCCCCAGACAATTTTGTTCCTTTTTAAAGTTATTTATTTC------------------------------AAGTTCGTTAATTTACTAA----TTTAATTT--------------TGCC-------------------------------------------------TTACT----A----ATGTTTTTCCAGGCTCTTCGACGATGA
droFic1 TATTCGCACCTTCAAGTAAGTGGTTGT---ACATT----------ATAC-------------------------------------------------------A--------------------------------------------------------------------------------------AATATCGA--AATGAGTTCAATAC--------------------------------------------------------------------CATTC--CT-----ATTATCTCCAGGCTTTATGACGACGA
droKik1 CATACGCACCTTCAAGTGAGTCTAATTATTA-------------------------------------------------------------------------------------------------------------AC--------------------------------------------------------------C------------------------TCTTTTTTTGTAT----GTTTTA-------------------------AATT-CAGTCT--CT-----GATCCTTGCAGCCTCTATGATGATGA
droAna3 CATTCGAAGCTTCAAGTATGTTAAGAA---AT----------------------CCA-----------------------------------------------------------------------------C------------------------------------------------------------------GATTT----TTTTA------------------------TAT----T------TTCATACA---------------AA---------------ATTCA-TTTTTTCAGCTTGTACGACGACGA
droBip1 CATTAGGAGTTTCAAGTGGGTTAAGAA---AT------------------------------------------------------------------------------------------------------------------------------------------------------------------ACCCATAGCTTT----ACTTA------------------------TAT----T------TTCATTAA-----------------------GA-------ATTCG-TTATTTCAGCCTGTACGATGACGA
dp4 CATACGCACATTTAAGTGAGTAGGAAA---AA----------------------TCG-----------------------------------------------------------------------------TTGTTTAAGCTGTTTACTGC--------------------------------------------------------GATTG--------------TACTTTACTGTAT----TTACTGTA-------------------------TT-TGGTA----C-----ATGCCTTGCAGCCTCTATGATTCCGA
droPer1 CATACGCACATTTAAGTGAGTAGGAAA---AT-----------------------CG-----------------------------------------------------------------------------CTGTTTAAGCTGTTTACTGC--------------------------------------------------------GATTG--------------TACTTTACTGTAT----TTACTGTA-------------------------TT-TGGTA----C-----ATGCCTTGCAGCCTCTATGATTCCGA
droWil1 CATTAAAACGTTTAAGTGAGTAGTAAA---TC-------------TTGGTTAACCCA-----------------------------------------------------------------------------A------------------------------------------------------------------TAC------GATT--------------------------------TCATTGGCGTTT--------------------------ATA----AATTCCT-CCACCTTAGCCTTTACGACGACGA
droVir3 CATACGCACATTCAAGTATGTCAACTA---T-----------------------------------------------------------------------------------------------------------------------------------------------------------------------------------GAT------------AAAATGCTTTGCAGTAC----TCTTTAAA-------------------------TA-TTGTAT--TC-----TCATTCGATAGCCTCTATGACGACGA
droMoj3 CATACGTACATTCAAGTAAGCCCAATTCGCCG------------------------------------------------------------------------------------------------------------AC--------------------------------------------------------------GT----TAT------------------------GGTAT----T------CATATACA---------------AATGCT-AATCA--TT-----TATCCCTTTAGCCTCTATGACGACGA
droGri2 CATACGCACCTTCAAGTATGTGCAATGGGTAA--------------------ACCAT-----------------------------------------------------------------------------ATGTGAGAGATTTAAACCTT--------------------------------------------------------AATTT--------------TACTTTCCTATAT-----------------------------------------------------CTG-CCCAAACAGTCTGTACGATGACGA

20-way Secondary Structure

dm3 droSim1 droSec1 droYak2 droEre2 droEug1 droBia1 droTak1 droEle1 droRho1 droFic1 droKik1 droAna3 droBip1 dp4 droPer1 droWil1 droVir3 droMoj3 droGri2
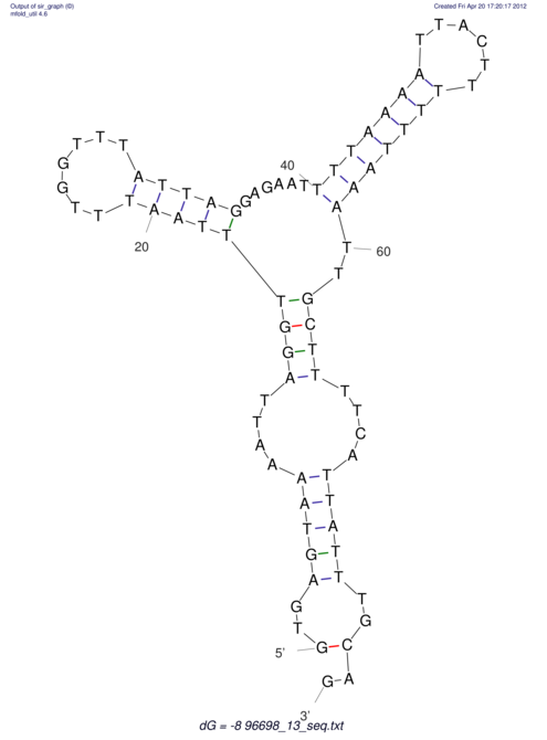
RNAfold Image
UNAFold Image

Small RNA-seq read pileup

Species Alignment
droSim1
CATTCGCAGCTTTAAGTGAGTAATCGT---ATGTTTATTAA-------------------------------------------------------------------------------------------------------------------------------------------------------------------------GAT-TCACTTTCTATAAAC----------------------------------------------------T-AATTT--GC-----ACTACTTGTAGTCTCTATGACGACGASizeHit CountTotal NormV044
Embryo
M023
Head
M024
Male body
M025
Embryo
droSec1
CATTCGCAGCTTTAAGTGAGTAATCGT---ATGTTTATTAA-------------------------------------------------------------------------------------------------------------------------------------------------------------------------GAT-TCACTTTCTATAAAC----------------------------------------------------T-AATTT--GC-----ACTACTTGTAGTCTCTATGACGACGASizeHit CountTotal NormV113
Male body
V114
Embryo
V115
Head
droYak2
CATTCGCAGCTTTAAGTGAGTAAAACT---ATGTCTATTA--------------------------------------------GGT---------------------------------------------------------------------------------------------------------------------GA----AAT-TAACTTTCTATAAAT----------------------------------------------------T-ACTTT--TC-----TTTATTTTTAGTCTATATGACGACGASizeHit CountTotal NormV046
Embryo
V052
Head
V120
Male body
V058
Head
M026
Head
........GCTTTAAGTGACTAAAAG.........................................................................................................................................................................................................................................................................................................1811.000.000.000.000.001.00
...............GTGAGTAAAACT---ATGACTAAT............................................................................................................................................................................................................................................................................................2111.000.000.000.001.000.00
...........................................................................................................................................................................................................................TTCTAGACAT----------------------------------------------------T-ACTTT--TC-----T.........................1911.000.000.000.001.000.00
droEre2
CATTCGCAGTTTTAAGTGAGTAAAATT---AGGTTTAATTT--------------------------------GG-TTTATTA-GGAGAA--------------------------------------------T-TTTAA------------------------------------------------------------AATT----------A-C-TTTTTTAAAT----------------------------------------------------T-GCTTT--TC-----ATTATTTGCAGTCTCTATGACGACGASizeHit CountTotal NormV040
Embryo
V060
Head
V047
Embryo
V108
Head
.........TTTTGAATGAGTAAAATT---.....................................................................................................................................................................................................................................................................................................1814.000.000.000.004.00
.......ATTTTTAAGxGAGTAAAATT---.....................................................................................................................................................................................................................................................................................................1913.000.000.000.003.00
.....................AAAGCT---AGGTTTAATTT--------------------------------GG-T......................................................................................................................................................................................................................................................2011.000.000.000.001.00
....................TAAAGCT---AGGTTTAATTT--------------------------------GG-T......................................................................................................................................................................................................................................................2111.000.000.000.001.00
...................GTAAGATT---AGCTTTAATT...........................................................................................................................................................................................................................................................................................1811.000.000.000.001.00
droEug1
AATTCGCAGCTTCAAGTAAGTATATGT---ATATATGTATATATTATTC-------------------------------------------------------AAATCGA------------------------------TGA--------------------------------------------TTAAATATAGATTAG----GTCAATTC--------------C-------TATTTGAATCCATTTATTCATAAAGGTTCCTTTTTATTCAAAA-TA--TTCCTAT-----TTTATTTTCAGACTCTACGACGACGASizeHit CountTotal Norm
droBia1
CATACGCAGTTTCAAGTGAGTGGGGAT---TT----------------------TGGGGAG-------------------------------------------------------------------------TCATTAAAGC-CTTTAAAGATGTCGAACTTTATGGTA-----------------TTAAG--------C------------AAGCAT--------------------------TTAATGGA-------------------------TT-T-ATG----AACGTATATACTTCCAGACTCTACGACGACGASizeHit CountTotal Norm
droTak1
CATAAAAAGCTTCAAGTGAGTGGGGATAGCAAGTTTATA---------------------------GCACATAGGTTCTATTA---------------------CAA---------------------------CAGATCTACATATCTAAAGTCATTGAAATTT--GGCCTAAAATTGCTTTTATATTAGTTATTTTATTA----------------------------------------------------ACATAAATGATAAAGCTTTAATAAAT-TC--TCCCCAT-----TGTAATTCCAGACTCTACGACGACGASizeHit CountTotal Norm
droEle1
GATTTACAT--TCAATCAAGTTTTTGT---TC------------------------------------------------------------------------------------------------------------AAGT--------------------------------------------TTAAGTACTTATTGA----CTCAATTT--------------CACT-----------------------------------------------------TT--TT-----TAAATTTATAGACTCTATGACGACGASizeHit CountTotal Norm
droRho1
CATTCGTACCTTCAAGTGAGTGGGGAT---TTGGGAA-----------------------TTCATTCCAAATAGATTTTATAAAGGG-GACATTTATAATGTTCAAATTCAAGACCCCCAGACAATTTTGTTCCTTTTTAAAGTTATTTATTTC------------------------------AAGTTCGTTAATTTACTAA----TTTAATTT--------------TGCC-------------------------------------------------TTACT----A----ATGTTTTTCCAGGCTCTTCGACGATGASizeHit CountTotal Norm
droFic1
TATTCGCACCTTCAAGTAAGTGGTTGT---ACATT----------ATAC-------------------------------------------------------A--------------------------------------------------------------------------------------AATATCGA--AATGAGTTCAATAC--------------------------------------------------------------------CATTC--CT-----ATTATCTCCAGGCTTTATGACGACGASizeHit CountTotal Norm
droKik1
CATACGCACCTTCAAGTGAGTCTAATTATTA-------------------------------------------------------------------------------------------------------------AC--------------------------------------------------------------C------------------------TCTTTTTTTGTAT----GTTTTA-------------------------AATT-CAGTCT--CT-----GATCCTTGCAGCCTCTATGATGATGASizeHit CountTotal Norm
droAna3
CATTCGAAGCTTCAAGTATGTTAAGAA---AT----------------------CCA-----------------------------------------------------------------------------C------------------------------------------------------------------GATTT----TTTTA------------------------TAT----T------TTCATACA---------------AA---------------ATTCA-TTTTTTCAGCTTGTACGACGACGASizeHit CountTotal NormV105
Male body
V106
Head
V055
Unknown
V039
Embryo
...........................................................................................................................................................................................................TTT----TTTTA------------------------TAT----A------TTCTTA................................................................1850.200.000.000.200.00
......................................................CCA-----------------------------------------------------------------------------C------------------------------------------------------------------GAATT----TGTTA------------------------TAT----T------......................................................................1811.000.000.000.001.00
......................................................TCA-----------------------------------------------------------------------------C------------------------------------------------------------------GATTT----TGTTA------------------------TAT----T------......................................................................1811.000.000.000.001.00
...............................................................................................................................................................................................................................................TAT----A------TTCATACA---------------AA---------------ATCCA-........................1911.000.000.000.001.00
......................................................CCA-----------------------------------------------------------------------------C------------------------------------------------------------------GATTT----TGTTA------------------------TAT----A------......................................................................1811.000.000.000.001.00
droBip1
CATTAGGAGTTTCAAGTGGGTTAAGAA---AT------------------------------------------------------------------------------------------------------------------------------------------------------------------ACCCATAGCTTT----ACTTA------------------------TAT----T------TTCATTAA-----------------------GA-------ATTCG-TTATTTCAGCCTGTACGATGACGASizeHit CountTotal Norm
dp4
CATACGCACATTTAAGTGAGTAGGAAA---AA----------------------TCG-----------------------------------------------------------------------------TTGTTTAAGCTGTTTACTGC--------------------------------------------------------GATTG--------------TACTTTACTGTAT----TTACTGTA-------------------------TT-TGGTA----C-----ATGCCTTGCAGCCTCTATGATTCCGASizeHit CountTotal NormV112
Male body
V043
Embryo
V051
Head
M022
Male body
droPer1
CATACGCACATTTAAGTGAGTAGGAAA---AT-----------------------CG-----------------------------------------------------------------------------CTGTTTAAGCTGTTTACTGC--------------------------------------------------------GATTG--------------TACTTTACTGTAT----TTACTGTA-------------------------TT-TGGTA----C-----ATGCCTTGCAGCCTCTATGATTCCGASizeHit CountTotal NormV111
Male body
V042
Embryo
V050
Head
V057
Head
M021
Embryo
..............................................................................................................................................................................................................................................GTAT----TTACTGTA-------------------------TT-AAGTA----................................1911.000.001.000.000.000.00
droWil1
CATTAAAACGTTTAAGTGAGTAGTAAA---TC-------------TTGGTTAACCCA-----------------------------------------------------------------------------A------------------------------------------------------------------TAC------GATT--------------------------------TCATTGGCGTTT--------------------------ATA----AATTCCT-CCACCTTAGCCTTTACGACGACGASizeHit CountTotal NormV117
Male body
V118
Embryo
V119
Head
M020
Head
.....................................................................................................................................................................................................................T--------------------------------ACATTGGCGTTT--------------------------ATA----TATT............................2011.000.001.000.000.00
droVir3
CATACGCACATTCAAGTATGTCAACTA---T-----------------------------------------------------------------------------------------------------------------------------------------------------------------------------------GAT------------AAAATGCTTTGCAGTAC----TCTTTAAA-------------------------TA-TTGTAT--TC-----TCATTCGATAGCCTCTATGACGACGASizeHit CountTotal NormV116
Male body
V053
Unknown
V047
Embryo
M027
Male body
M028
Head
droMoj3
CATACGTACATTCAAGTAAGCCCAATTCGCCG------------------------------------------------------------------------------------------------------------AC--------------------------------------------------------------GT----TAT------------------------GGTAT----T------CATATACA---------------AATGCT-AATCA--TT-----TATCCCTTTAGCCTCTATGACGACGASizeHit CountTotal NormV110
Male body
V056
Unknown
V049
Head
V041
Embryo
droGri2
CATACGCACCTTCAAGTATGTGCAATGGGTAA--------------------ACCAT-----------------------------------------------------------------------------ATGTGAGAGATTTAAACCTT--------------------------------------------------------AATTT--------------TACTTTCCTATAT-----------------------------------------------------CTG-CCCAAACAGTCTGTACGATGACGASizeHit CountTotal NormV109
Male body

Generated: 04/20/2012 at 05:20:52 EDT