dme-mir-4912

chr2L:4829980-4830039 -

Known_mirbase

[View on miRBase] [View on UCSC Genome Browser {Cornell Mirror}]

mirtron


Legend:

   mature strand at position 4830017-4830039
   star strand at position 4829980-4830001
   mutations
   read mismatches
   coordinate mismatch (possible incorrect ortholog)

12-way Fast Statistical Aligner re-alignment (From MAFs)

Species Coordinate Alignment
dm3 chr2L:4829965-4830054 - CATTCGCAGCTTTAAGTGAGTAGTC---G--------------------TATGTTTATTA---------------------AGATT-TACT----TTCTATA--AATTAATGTCCA-----------------------CTACTTTTAGTCTCTATGACGATGA
droSim1 chr2L:4699797-4699886 - CATTCGCAGCTTTAAGTGAGTAATC---G--------------------TATGTTTATTA---------------------AGATT-CACT----TTCTATA--AACTAATTTGCA-----------------------CTACTTGTAGTCTCTATGACGACGA
droSec1 super_5:2925673-2925762 - CATTCGCAGCTTTAAGTGAGTAATC---G--------------------TATGTTTATTA---------------------AGATT-CACT----TTCTATA--AACTAATTTGCA-----------------------CTACTTGTAGTCTCTATGACGACGA
droYak2 chr2L:4839794-4839887 - CATTCGCAGCTTTAAGTGAGTAAAA---C--------------------TATGTCTATTA----------GGTG-------AAATT-AACT----TTCTATA--AATTACTTTTCT-----------------------TTATTTTTAGTCTATATGACGACGA
droEre2 scaffold_4929:4910720-4910828 - CATTCGCAGTTTTAAGTGAGTAAAA---T--------------------TAGGTTTAATTTGGTTTATTAGGAGAATTTTAAAAT--TAC-----TTTTTTA--AATTGCTTTTCA-----------------------TTATTTGCAGTCTCTATGACGACGA
droAna3 scaffold_12916:9399289-9399374 - CATTCGAAGCTTCAAGTATGTTAAGA---------AATCCACGATT-----------------------------------TTT--T-TATATTTTCATACA--AAAT-----TC------------------------ATTTTTTCAGCTTGTACGACGACGA
dp4 chr4_group3:3587822-3587933 - CATACGCACATTTAAGTGAGTAGGAA---------AAATCGTTGTTTAAGCTGTTTACTG---------------------CGATTGTA--------------------CTTTACTGTATTTACTGTATTTGGTA--CATGCCTTGCAGCCTCTATGATTCCGA
droPer1 super_1:5067398-5067508 - CATACGCACATTTAAGTGAGTAGGA----------AAATCGCTGTTTAAGCTGTTTACTG---------------------CGATTGTA--------------------CTTTACTGTATTTACTGTATTTGGTA--CATGCCTTGCAGCCTCTATGATTCCGA
droWil1 scaffold_180772:1562219-1562313 - CATTAAAACGTTTAAGTGAGTAGTAAATCTTGGTTAAC----------------CCAATA---------------------CGATTT-CATTGGCGTTTATA--AATT-----CC------------------------TCCACCTTAGCCTTTACGACGACGA
droVir3 scaffold_12963:8507047-8507138 + CATACGCACATTCAAGTATGTCA---------------------------------ACTA---------------------TGAT----------------A--AAATGCTTTGCAGTACTCTTTAAATATTGTATTCTCATTCGATAGCCTCTATGACGACGA
droMoj3 scaffold_6500:1118880-1118971 + CATACGTACATTCAAGTAAGCCCAA---T-TCGCC-------GACG-----------------------------------TTA--T-GGTATTCATATACAAATGCTAATCATTT-----------------------ATCCCTTTAGCCTCTATGACGACGA
droGri2 scaffold_15252:11699277-11699378 + CATACGCACCTTCAAGTATGTGCAA---T-GGGTAAACCATATGTGAGAGATTTAAACCT---------------------TAATTTTA--------------------CTTTCCTATATCT-----------------GCCCAAACAGTCTGTACGATGACGA

20-way Fast Statistical Aligner re-alignment (Top LASTZ hits)

Species Coordinate Lastz Id Alignment
dm3 chr2L:4829965-4830054 - NA CATTCGCAGCTTTAAGTGAGTAGTCGT---ATGTTTATTAA-------------------------------------------------------------------------------------------------------------------------------------------------------------------------GAT-TTACTTTCTATAAAT----------------------------------------------------T-AATGT--CC-----ACTACTTTTAGTCTCTATGACGATGA
droSim1 chr2L:4699797-4699886 - 1 CATTCGCAGCTTTAAGTGAGTAATCGT---ATGTTTATTAA-------------------------------------------------------------------------------------------------------------------------------------------------------------------------GAT-TCACTTTCTATAAAC----------------------------------------------------T-AATTT--GC-----ACTACTTGTAGTCTCTATGACGACGA
droSec1 super_5:2925673-2925762 - 1 CATTCGCAGCTTTAAGTGAGTAATCGT---ATGTTTATTAA-------------------------------------------------------------------------------------------------------------------------------------------------------------------------GAT-TCACTTTCTATAAAC----------------------------------------------------T-AATTT--GC-----ACTACTTGTAGTCTCTATGACGACGA
droYak2 chr2L:4839794-4839887 - 1 CATTCGCAGCTTTAAGTGAGTAAAACT---ATGTCTATTA--------------------------------------------GGT---------------------------------------------------------------------------------------------------------------------GA----AAT-TAACTTTCTATAAAT----------------------------------------------------T-ACTTT--TC-----TTTATTTTTAGTCTATATGACGACGA
droEre2 scaffold_4929:4910720-4910828 - 1 CATTCGCAGTTTTAAGTGAGTAAAATT---AGGTTTAATTT--------------------------------GG-TTTATTA-GGAGAA--------------------------------------------T-TTTAA------------------------------------------------------------AATT----------A-C-TTTTTTAAAT----------------------------------------------------T-GCTTT--TC-----ATTATTTGCAGTCTCTATGACGACGA
droEug1 scf7180000409005:708020-708177 - 1 AATTCGCAGCTTCAAGTAAGTATATGT---ATATATGTATATATTATTC-------------------------------------------------------AAATCGA------------------------------TGA--------------------------------------------TTAAATATAGATTAG----GTCAATTC--------------C-------TATTTGAATCCATTTATTCATAAAGGTTCCTTTTTATTCAAAA-TA--TTCCTAT-----TTTATTTTCAGACTCTACGACGACGA
droBia1 scf7180000302188:1402569-1402698 - 1 CATACGCAGTTTCAAGTGAGTGGGGAT---TT----------------------TGGGGAG-------------------------------------------------------------------------TCATTAAAGC-CTTTAAAGATGTCGAACTTTATGGTA-----------------TTAAG--------C------------AAGCAT--------------------------TTAATGGA-------------------------TT-T-ATG----AACGTATATACTTCCAGACTCTACGACGACGA
droTak1 scf7180000415705:123599-123784 - 1 CATAAAAAGCTTCAAGTGAGTGGGGATAGCAAGTTTATA---------------------------GCACATAGGTTCTATTA---------------------CAA---------------------------CAGATCTACATATCTAAAGTCATTGAAATTT--GGCCTAAAATTGCTTTTATATTAGTTATTTTATTA----------------------------------------------------ACATAAATGATAAAGCTTTAATAAAT-TC--TCCCCAT-----TGTAATTCCAGACTCTACGACGACGA
droEle1 scf7180000491046:2483308-2483395 - 1 GATTTACAT--TCAATCAAGTTTTTGT---TC------------------------------------------------------------------------------------------------------------AAGT--------------------------------------------TTAAGTACTTATTGA----CTCAATTT--------------CACT-----------------------------------------------------TT--TT-----TAAATTTATAGACTCTATGACGACGA
droRho1 scf7180000768274:29807-29997 + 1 CATTCGTACCTTCAAGTGAGTGGGGAT---TTGGGAA-----------------------TTCATTCCAAATAGATTTTATAAAGGG-GACATTTATAATGTTCAAATTCAAGACCCCCAGACAATTTTGTTCCTTTTTAAAGTTATTTATTTC------------------------------AAGTTCGTTAATTTACTAA----TTTAATTT--------------TGCC-------------------------------------------------TTACT----A----ATGTTTTTCCAGGCTCTTCGACGATGA
droFic1 scf7180000453842:1425509-1425600 + 1 TATTCGCACCTTCAAGTAAGTGGTTGT---ACATT----------ATAC-------------------------------------------------------A--------------------------------------------------------------------------------------AATATCGA--AATGAGTTCAATAC--------------------------------------------------------------------CATTC--CT-----ATTATCTCCAGGCTTTATGACGACGA
droKik1 scf7180000302472:3508957-3509047 - 1 CATACGCACCTTCAAGTGAGTCTAATTATTA-------------------------------------------------------------------------------------------------------------AC--------------------------------------------------------------C------------------------TCTTTTTTTGTAT----GTTTTA-------------------------AATT-CAGTCT--CT-----GATCCTTGCAGCCTCTATGATGATGA
droAna3 scaffold_12916:9399289-9399374 - 1 CATTCGAAGCTTCAAGTATGTTAAGAA---AT----------------------CCA-----------------------------------------------------------------------------C------------------------------------------------------------------GATTT----TTTTA------------------------TAT----T------TTCATACA---------------AA---------------ATTCA-TTTTTTCAGCTTGTACGACGACGA
droBip1 scf7180000396535:1966691-1966779 - 1 CATTAGGAGTTTCAAGTGGGTTAAGAA---AT------------------------------------------------------------------------------------------------------------------------------------------------------------------ACCCATAGCTTT----ACTTA------------------------TAT----T------TTCATTAA-----------------------GA-------ATTCG-TTATTTCAGCCTGTACGATGACGA
dp4 chr4_group3:3587822-3587933 - 1 CATACGCACATTTAAGTGAGTAGGAAA---AA----------------------TCG-----------------------------------------------------------------------------TTGTTTAAGCTGTTTACTGC--------------------------------------------------------GATTG--------------TACTTTACTGTAT----TTACTGTA-------------------------TT-TGGTA----C-----ATGCCTTGCAGCCTCTATGATTCCGA
droPer1 super_1:5067398-5067508 - 1 CATACGCACATTTAAGTGAGTAGGAAA---AT-----------------------CG-----------------------------------------------------------------------------CTGTTTAAGCTGTTTACTGC--------------------------------------------------------GATTG--------------TACTTTACTGTAT----TTACTGTA-------------------------TT-TGGTA----C-----ATGCCTTGCAGCCTCTATGATTCCGA
droWil1 scaffold_180772:1562219-1562313 - 2 CATTAAAACGTTTAAGTGAGTAGTAAA---TC-------------TTGGTTAACCCA-----------------------------------------------------------------------------A------------------------------------------------------------------TAC------GATT--------------------------------TCATTGGCGTTT--------------------------ATA----AATTCCT-CCACCTTAGCCTTTACGACGACGA
droVir3 scaffold_12963:8507047-8507138 + 1 CATACGCACATTCAAGTATGTCAACTA---T-----------------------------------------------------------------------------------------------------------------------------------------------------------------------------------GAT------------AAAATGCTTTGCAGTAC----TCTTTAAA-------------------------TA-TTGTAT--TC-----TCATTCGATAGCCTCTATGACGACGA
droMoj3 scaffold_6500:1118880-1118971 + 1 CATACGTACATTCAAGTAAGCCCAATTCGCCG------------------------------------------------------------------------------------------------------------AC--------------------------------------------------------------GT----TAT------------------------GGTAT----T------CATATACA---------------AATGCT-AATCA--TT-----TATCCCTTTAGCCTCTATGACGACGA
droGri2 scaffold_15252:11699277-11699378 + 2 CATACGCACCTTCAAGTATGTGCAATGGGTAA--------------------ACCAT-----------------------------------------------------------------------------ATGTGAGAGATTTAAACCTT--------------------------------------------------------AATTT--------------TACTTTCCTATAT-----------------------------------------------------CTG-CCCAAACAGTCTGTACGATGACGA

[View All Possible Orthologs]

Original 12-way multiz alignment with reads super-imposed

Species Alignment
dm3
CATTCGCAGCTTTAAGTGAGTAGTC---G--------------------TATGTTTATTA---------------------AGATT-TACT----TTCTATA--AATTAATGTCCA-----------------------CTACTTTTAGTCTCTATGACGATGASizeHit CountTotal Norm
droSim1
CATTCGCAGCTTTAAGTGAGTAATC---G--------------------TATGTTTATTA---------------------AGATT-CACT----TTCTATA--AACTAATTTGCA-----------------------CTACTTGTAGTCTCTATGACGACGASizeHit CountTotal NormV044
Embryo
M023
Head
M024
Male body
M025
Embryo
droSec1
CATTCGCAGCTTTAAGTGAGTAATC---G--------------------TATGTTTATTA---------------------AGATT-CACT----TTCTATA--AACTAATTTGCA-----------------------CTACTTGTAGTCTCTATGACGACGASizeHit CountTotal NormV113
Male body
V114
Embryo
V115
Head
droYak2
CATTCGCAGCTTTAAGTGAGTAAAA---C--------------------TATGTCTATTA----------GGTG-------AAATT-AACT----TTCTATA--AATTACTTTTCT-----------------------TTATTTTTAGTCTATATGACGACGASizeHit CountTotal NormV046
Embryo
V052
Head
V120
Male body
V058
Head
M026
Head
........GCTTTAAGTGACTAAAA---G--------------------...................................................................................................................1811.000.000.000.000.001.00
...............GTGAGTAAAA---C--------------------TATGACTAAT.........................................................................................................2111.000.000.000.001.000.00
...............................................................................................TTCTAGA--CATTACTTTTCT-----------------------.........................1911.000.000.000.001.000.00
droEre2
CATTCGCAGTTTTAAGTGAGTAAAA---T--------------------TAGGTTTAATTTGGTTTATTAGGAGAATTTTAAAAT--TAC-----TTTTTTA--AATTGCTTTTCA-----------------------TTATTTGCAGTCTCTATGACGACGASizeHit CountTotal NormV040
Embryo
V060
Head
V047
Embryo
V108
Head
.........TTTTGAATGAGTAAAA---T--------------------T..................................................................................................................1814.000.000.000.004.00
.......ATTTTTAAGxGAGTAAAA---T--------------------T..................................................................................................................1913.000.000.000.003.00
..................AGTTAAA---T--------------------TxGGTTTAATT........................................................................................................1811.000.000.001.000.00
.....................AAAG---C--------------------TAGGTTTAATTTGGT....................................................................................................2011.000.000.000.001.00
....................TAAAG---C--------------------TAGGTTTAATTTGGT....................................................................................................2111.000.000.000.001.00
...................GTAAGA---T--------------------TAGCTTTAATT........................................................................................................1811.000.000.000.001.00
droAna3
CATTCGAAGCTTCAAGTATGTTAAGA---------AATCCACGATT-----------------------------------TTT--T-TATATTTTCATACA--AAAT-----TC------------------------ATTTTTTCAGCTTGTACGACGACGASizeHit CountTotal NormV105
Male body
V106
Head
V055
Unknown
V039
Embryo
............................................TT-----------------------------------TTT--T-TATATATTCTTA................................................................1820.500.000.000.500.00
......................................CCACGAAT-----------------------------------TTG--T-TATATT......................................................................1811.000.000.000.001.00
......................................TCACGATT-----------------------------------TTG--T-TATATT......................................................................1811.000.000.000.001.00
..........................................................................................TATATTCATACA--AAAT-----CC------------------------A........................1911.000.000.000.001.00
......................................CCACGATT-----------------------------------TTG--T-TATATA......................................................................1811.000.000.000.001.00
dp4
CATACGCACATTTAAGTGAGTAGGAA---------AAATCGTTGTTTAAGCTGTTTACTG---------------------CGATTGTA--------------------CTTTACTGTATTTACTGTATTTGGTA--CATGCCTTGCAGCCTCTATGATTCCGASizeHit CountTotal NormV112
Male body
V043
Embryo
V051
Head
M022
Male body
droPer1
CATACGCACATTTAAGTGAGTAGGA----------AAATCGCTGTTTAAGCTGTTTACTG---------------------CGATTGTA--------------------CTTTACTGTATTTACTGTATTTGGTA--CATGCCTTGCAGCCTCTATGATTCCGASizeHit CountTotal NormV111
Male body
V042
Embryo
V050
Head
V057
Head
M021
Embryo
....................................................................................................................GTATTTACTGTATTAAGTA--...........................1911.000.001.000.000.000.00
droWil1
CATTAAAACGTTTAAGTGAGTAGTAAATCTTGGTTAAC----------------CCAATA---------------------CGATTT-CATTGGCGTTTATA--AATT-----CC------------------------TCCACCTTAGCCTTTACGACGACGASizeHit CountTotal NormV117
Male body
V118
Embryo
V119
Head
M020
Head
.....................................................................................TA-CATTGGCGTTTATA--TATT-----...................................................2011.000.001.000.000.00
droVir3
CATACGCACATTCAAGTATGTCA---------------------------------ACTA---------------------TGAT----------------A--AAATGCTTTGCAGTACTCTTTAAATATTGTATTCTCATTCGATAGCCTCTATGACGACGASizeHit CountTotal NormV116
Male body
V053
Unknown
V047
Embryo
M027
Male body
M028
Head
droMoj3
CATACGTACATTCAAGTAAGCCCAA---T-TCGCC-------GACG-----------------------------------TTA--T-GGTATTCATATACAAATGCTAATCATTT-----------------------ATCCCTTTAGCCTCTATGACGACGASizeHit CountTotal NormV110
Male body
V056
Unknown
V049
Head
V041
Embryo
droGri2
CATACGCACCTTCAAGTATGTGCAA---T-GGGTAAACCATATGTGAGAGATTTAAACCT---------------------TAATTTTA--------------------CTTTCCTATATCT-----------------GCCCAAACAGTCTGTACGATGACGASizeHit CountTotal NormV109
Male body

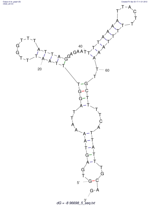
12-way Secondary Structure

dm3 droSim1 droSec1 droYak2 droEre2 droAna3 dp4 droPer1 droWil1 droVir3 droMoj3 droGri2
RNAfold Image
UNAFold Image

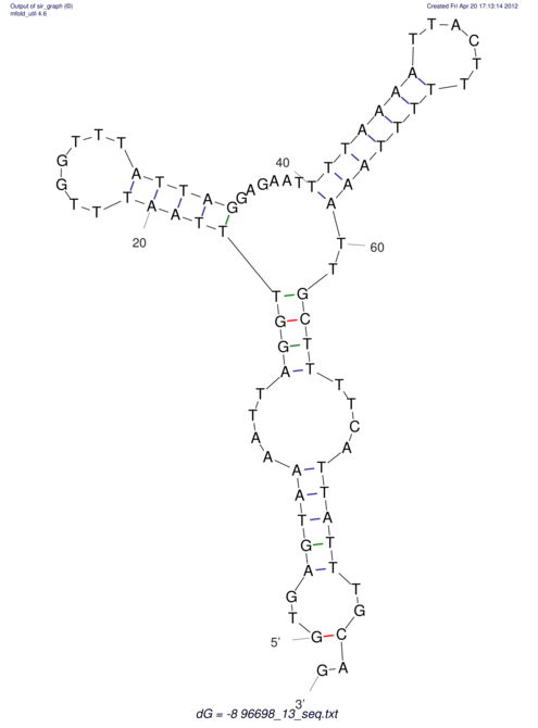
20-way Secondary Structure

dm3 droSim1 droSec1 droYak2 droEre2 droEug1 droBia1 droTak1 droEle1 droRho1 droFic1 droKik1 droAna3 droBip1 dp4 droPer1 droWil1 droVir3 droMoj3 droGri2
RNAfold Image
UNAFold Image

Generated: 04/20/2012 at 05:13:49 EDT