dme-mir-1015

chr3R:20164954-20165017 +

Known_mirbase

[View on miRBase] [View on UCSC Genome Browser {Cornell Mirror}]

mirtron


Legend:

   mature strand at position 20164996-20165017
   star strand at position 20164954-20164975
   mutations
   read mismatches
   coordinate mismatch (possible incorrect ortholog)

12-way Fast Statistical Aligner re-alignment (From MAFs)

Species Coordinate Alignment
dm3 chr3R:20164939-20165032 + TCATGGGCTACGACGGTGAGTG-----ATGCTCCAGTTAGCTTGGCTGAGTG-------AGGATTTA------------AGTCCTGGGAC-----ATCTCTCTTGCAGTCAAGATCCTGAAAG
droSim1 chr3R:19998542-19998635 + TCATGGGCTACGACGGTGAGTG-----ATGCTCCAGTTAGCTTGGCTGAGTG-------AGGATTTA------------AGTCCTGGGAC-----ATCTCTCTTGCAGTCAAGATCCTAAAAG
droSec1 super_0:20503496-20503589 + TCATGGGCTACGACGGTGAGTG-----ATGCTCCAGTTAGCTTGTCTGAGTG-------AGACTTTA------------AGTCCTGGGAC-----ATCTCTCTTGCAGTCAAGATCCTAAAAG
droYak2 chr3R:26340571-26340664 - TCATGGGCTACGACGGTGAGTG-----ATGCTCCAGATAGCTTGACTGGGTG-------AGGATTTA------------AGTCCTGGGAC-----ATCTCTCTTGCAGTCAAGATCCTGAAAC
droEre2 scaffold_4820:7895693-7895786 - TCATGGGCTACGACGGTGAGTG-----ATGCTCCAGATAGCTTGGCTGAGTG-------AGGACTTA------------AGTCCTGGGAC-----ATCTCTCTTGCAGTCAAAATCCTAAAAC
droAna3 scaffold_13088:204245-204339 + TCATGGGCTACGACAGTGAGTG-----ATGCTCCAGATAGGTTGGCTTAGGAAGTC------ATTAA------------AGCCCTGGGAT-----GTCTCTCTTGCAGTTAAGATCCTGAAAC
dp4 chr2:18646206-18646298 - TGATGGGCTACGATGGTAAGAG--C---TAGC---------C-----ACACAAATTATTAGTATT----------TCTATTTCTCAAAATATTT-CTTTCTTTTGCAGTCAAGATACTAAAGC
droPer1 super_3:1376406-1376498 - TGATGGGCTACGATGGTAAGAG--C---TAGC---------C-----ACACAAATTATTAGTATT----------TCTATTTCTCAAAATATTC-CTTTCTTTTGCAGTCAAGATCCTAAAGC
droWil1 scaffold_181108:4541725-4541808 - TAATGGGTTATGACAGTAAGTTAGC---TGGTAAAGTTGATTTCT------------------TTTA------------ACTAATGT-GT-----ATATTTACTGTAGTAAGAATTTTAAAGC
droVir3 scaffold_13047:3497490-3497590 + TTGTGGGCTACGAAAGTAAGTA------TTTACTTGATAACTCG------TT-------AAACCTAAAG--TCTGTTAACCACTCTTATAACTATG-CATCTAAACAGTTAAGGTACTAAAGA
droMoj3 scaffold_6540:20508341-20508431 + TAATGGGCTACGATGGTAAATG--CTGATGTTCATGAATATTTATCCAAGTA-------ATTT------------------CTTTACGTT-----GTCTTCTTAACAGTTAAGGTTTTGAAAA
droGri2 scaffold_14906:156637-156731 + TGGTGGGCTATGATAGTGAGTT--G--ATTCTATT---------------GTAATAATCA------AATCGTTTTTGTTATTTTATAAACA---TGCCATTTTAACAGTCAAGATACTCAAGA

20-way Fast Statistical Aligner re-alignment (Top LASTZ hits)

Species Coordinate Lastz Id Alignment
dm3 chr3R:20164939-20165032 + NA TCATGGGCTACGACGGTGAGTG----ATGCTCCAGTTAGCTTGGCTGAGTGAG-G--------A----TT------TAAGTCCTGGGAC-----ATCTCTCTTGCAGTCAAGATCCTGAAAG
droSim1 chr3R:19998542-19998635 + 1 TCATGGGCTACGACGGTGAGTG----ATGCTCCAGTTAGCTTGGCTGAGTGAG-G--------A----TT------TAAGTCCTGGGAC-----ATCTCTCTTGCAGTCAAGATCCTAAAAG
droSec1 super_0:20503496-20503589 + 1 TCATGGGCTACGACGGTGAGTG----ATGCTCCAGTTAGCTTGTCTGAGTGAG-A--------C----TT------TAAGTCCTGGGAC-----ATCTCTCTTGCAGTCAAGATCCTAAAAG
droYak2 chr3R:26340571-26340664 - 3 TCATGGGCTACGACGGTGAGTG----ATGCTCCAGATAGCTTGACTGGGTGAG-G--------A----TT------TAAGTCCTGGGAC-----ATCTCTCTTGCAGTCAAGATCCTGAAAC
droEre2 scaffold_4820:7895693-7895786 - 2 TCATGGGCTACGACGGTGAGTG----ATGCTCCAGATAGCTTGGCTGAGTGAG-G--------A----CT------TAAGTCCTGGGAC-----ATCTCTCTTGCAGTCAAAATCCTAAAAC
droEug1 scf7180000409798:215829-215922 - 11 TAATGGGCTACAATGGTGAGTG----ATGCTCCAGATAGCTTCGCAAAGTAAG-G--------A----TA------TAAGTCCTGGGAC-----ATCTCTCTTGCAGTCAAGATCCTAAGAC
droBia1 scf7180000302136:526695-526788 + 1 TCATGGGCTACGACGGTGAGTG----ATGCTCCAGATGGCTGGGCTAAGTGAG-G--------A----CT------TAAGTCCTGGGAC-----ATCTCTCTTGCAGTCAAGATCCTGAAGC
droTak1 scf7180000415769:2262017-2262110 - 4 TCATGGGCTACGACGGTGAGTG----ATGCTCCAGCTGGCTTGGCAAAGCGTG-G--------A----TC------TAAGTCCTGGGAC-----ATCTCTCTTGCAGTCAAGATCCTCAAGC
droEle1 scf7180000491008:477705-477804 + 3 TCATGGGCTACGACGGTGAGTG----ATGCTCCAGAAAGCTTGGCCAAGTGAC-C--------A----CCCATACTTAAGCCCTGGGAC-----ATCTCTCTTGCAGTGAAGGTCCTGAAGC
droRho1 scf7180000779477:268222-268317 + 5 TCATGGGATACGACGGTGAGTG----ATGCTCCAGATAGCTTGGCTAAGTGAG-G--------A----TTAA----TAAGCCCTGGGAC-----ATCTCTCTTGCAGTGAAGGTCCTGAAGC
droFic1 scf7180000453912:1339925-1340020 + 6 TCATGGGCTACCAAGGTGAGTG----ATGCTCCAGATAACTTGGAAAAGTGGG-A--------ATACGGA------TAAGTCC--GGAC-----TTCTCTCTTGCAGTCAAGATTCTGAAAT
droKik1 scf7180000302387:55058-55154 + 3 TGATGGGCTATGACGGTGAGTG----ATGCTCCAGATAGCTTAGTTTAAAAAAAG--------A----TTCA----AAAGTCCTGGGAC-----ATCTCTCTTGCAGTCAAGATCCTGAAGC
droAna3 scaffold_13088:204245-204339 + 1 TCATGGGCTACGACAGTGAGTG----ATGCTCCAGATAGGTTGGCTTAGGAAGTC--------A----TT------AAAGCCCTGGGAT-----GTCTCTCTTGCAGTTAAGATCCTGAAAC
droBip1 scf7180000396413:258464-258558 + 1 TCATGGGCTACGATAGTGAGTG----ATGCTCTAGATAGGTTAGCTGATGAAG-T--------C---TTT------CAAGCCCTAGGTC-----ATCTCTCTTGCAGTTAAAATCCTGAAAC
dp4 chr2:18646206-18646298 - 1 TGATGGGCTACGATGGTAAGAG----CTAGCCA-CACAAATTA------TTAG-T--------A----TTTC----TATTTCTCAAAATATTT-CTTTCTTTTGCAGTCAAGATACTAAAGC
droPer1 super_3:1376406-1376498 - 1 TGATGGGCTACGATGGTAAGAG----CTAGCCA-CACAAATTA------TTAG-T--------A----TTTC----TATTTCTCAAAATATTC-CTTTCTTTTGCAGTCAAGATCCTAAAGC
droWil1 scaffold_181108:4541725-4541808 - 1 TAATGGGTTATGACAGTAAGTTA--GCTGGTAAAGTTGATTTCT------------------------TT------TAACTAATGT-GT-----ATATTTACTGTAGTAAGAATTTTAAAGC
droVir3 scaffold_13047:3497490-3497590 + 1 TTGTGGGCTACGAAAGTAAGTA----T-TTACTTGATAACTCGTT------AA-ACCTAAAGTC----TGTT----AACCACTCTTATAACTATG-CATCTAAACAGTTAAGGTACTAAAGA
droMoj3 scaffold_6540:20508341-20508431 + 2 TAATGGGCTACGATGGTAAATG-CTGATGTTCATGAATATTTATCCAAGTAAT-T--------T----------------CTTTACGTT-----GTCTTCTTAACAGTTAAGGTTTTGAAAA
droGri2 scaffold_14906:156637-156731 + 2 TGGTGGGCTATGATAGTGAGTTG---ATTCTATTGT--AATAATC-AAATC-G-T--------T----TTTG----TTATTTTATAAAC---ATGCCATTTTAACAGTCAAGATACTCAAGA

[View All Possible Orthologs]

Original 12-way multiz alignment with reads super-imposed

Species Alignment
dm3
TCATGGGCTACGACGGTGAGTG-----ATGCTCCAGTTAGCTTGGCTGAGTG-------AGGATTTA------------AGTCCTGGGAC-----ATCTCTCTTGCAGTCAAGATCCTGAAAGSizeHit CountTotal Norm
droSim1
TCATGGGCTACGACGGTGAGTG-----ATGCTCCAGTTAGCTTGGCTGAGTG-------AGGATTTA------------AGTCCTGGGAC-----ATCTCTCTTGCAGTCAAGATCCTAAAAGSizeHit CountTotal NormV044
Embryo
M023
Head
M024
Male body
M025
Embryo
.................................................................................TCCTGGGAC-----ATCTCTCTTGCAGT..............23134.001.000.0033.000.00
.................................................................................TCCTGGGAC-----ATCTCTCTTGCAG...............22128.001.000.0025.002.00
.................................................................................TCCTGGGAC-----ATCTCTCTTGCAGTT.............2415.000.000.005.000.00
.................................................................................TCCTGGGAC-----ATCTCTCTTGC.................2014.000.000.004.000.00
.................................................................................TCCTGGGAC-----ATCTCTCTTGCA................2112.000.000.001.001.00
.................................................................................TCCTGGGAC-----ATCTCTCTTGCAGG..............2312.000.000.001.001.00
...............GTGAGTG-----ATGCTCCAGTTAGCT.................................................................................2212.001.000.001.000.00
.................................................................................TCCTGGGAC-----ATCTCTCTTGCAGTTT............2511.000.000.001.000.00
...................................................................................CTGGGAC-----ATCTCTCTTGCAGTT.............2211.000.000.001.000.00
.................................................................................TCCTGGGAC-----ATCTCTCTTGCAA...............2211.000.000.001.000.00
..........................................TGGCTGAGTG-------AGGATTTA------------AG..........................................2011.000.000.001.000.00
.................................................................................TCCTGGGAC-----ATCTCTCTTGCAC...............2211.000.000.001.000.00
.................................................................................TCCTTGGAC-----ATCTCTCTTGCAG...............2211.000.000.000.001.00
.................................................................................TCCTGGGAC-----ATCTCTCTTGCAGC..............2311.000.000.001.000.00
...............GTGAGTG-----ATGCTCCCGTTAGCTTG...............................................................................2411.001.000.000.000.00
...............................................................................AGTCCTGGGAC-----ATCTCTCTTGC.................2211.001.000.000.000.00
.................................................................................TCCTGGGAC-----ATCTCTCTTGAAA...............2211.000.000.001.000.00
droSec1
TCATGGGCTACGACGGTGAGTG-----ATGCTCCAGTTAGCTTGTCTGAGTG-------AGACTTTA------------AGTCCTGGGAC-----ATCTCTCTTGCAGTCAAGATCCTAAAAGSizeHit CountTotal NormV113
Male body
V114
Embryo
V115
Head
.................................................................................TCCTGGGAC-----ATCTCTCTTGCAGT..............23118.0018.000.000.00
.................................................................................TCCTGGGAC-----ATCTCTCTTGCAG...............22111.0010.001.000.00
...............GTGAGTG-----ATGCTCCAGTTAGCT.................................................................................22111.005.006.000.00
...............GTGAGTG-----ATGCTCCAGTTAGCTTG...............................................................................2418.007.001.000.00
.................................................................................TCCTGGGAC-----ATCTCTCTTGCAGA..............2316.006.000.000.00
.................................................................................TCCTGGGAC-----ATCTCTCTTGCA................2113.001.001.001.00
...............GTGAGTG-----ATGCTCCAGTTAGCTT................................................................................2313.003.000.000.00
...............................................................................AGTCCTGGGAC-----ATCTCTCTTGC.................2212.000.002.000.00
...............GTGAGTG-----ATGCTCCAGTTAGC..................................................................................2112.002.000.000.00
.................................................................................TCCTGGGAC-----ATCTCTCTTACAGA..............2311.001.000.000.00
.................................................................................TCCTGGGAC-----ATCTCTCTTACAGT..............2311.001.000.000.00
.................................................................TA------------AGTxCTGGGAC-----AACTCTCT....................2011.000.000.001.00
droYak2
TCATGGGCTACGACGGTGAGTG-----ATGCTCCAGATAGCTTGACTGGGTG-------AGGATTTA------------AGTCCTGGGAC-----ATCTCTCTTGCAGTCAAGATCCTGAAACSizeHit CountTotal NormV046
Embryo
V052
Head
V120
Male body
V058
Head
M026
Head
...............GTGAGTG-----ATGCTCCAGATAGCTTG...............................................................................2417.000.001.006.000.000.00
...............GTGAGTG-----ATGCTCCAGATAGCTT................................................................................2316.000.001.005.000.000.00
...............GTGAGTG-----ATGCTCCAGATAGCT.................................................................................2214.000.001.003.000.000.00
...............GTGAGTG-----ATGCTCCAGATAGCTTGT..............................................................................2513.001.000.002.000.000.00
...............GTGAGTG-----ATGCTCCAGATAG...................................................................................2011.000.000.001.000.000.00
.................................................................................TCCTGGGAC-----ATCTCTCTTGCAGT..............2311.000.000.000.001.000.00
.................................................................................TCCTGGGAC-----ATCTCTCTTGCATT..............2311.000.000.000.000.001.00
...........................................GACTGGGTG-------AGGATTTG------------C...........................................1811.000.000.000.001.000.00
...............GTGAGTG-----ATGCTCCAGATAGCTTGTT.............................................................................2611.000.000.001.000.000.00
droEre2
TCATGGGCTACGACGGTGAGTG-----ATGCTCCAGATAGCTTGGCTGAGTG-------AGGACTTA------------AGTCCTGGGAC-----ATCTCTCTTGCAGTCAAAATCCTAAAACSizeHit CountTotal NormV040
Embryo
V060
Head
V047
Embryo
V108
Head
...............GTGAGTG-----ATGCTCCAGATAGCT.................................................................................2217.000.000.000.007.00
...............GTGAGTG-----ATGCTCCAGATAGCTT................................................................................2314.000.000.000.004.00
.................................................................................TCCTGGGAC-----ATCTCTCTTGCAGT..............2313.000.000.000.003.00
...............GTGAGTG-----ATGCTCCAGATAGCTTG...............................................................................2412.000.000.000.002.00
.................................................................................TCCTGGGAC-----ATCTCTCTTGCAG...............2211.000.000.000.001.00
.................................................................................TCCTGGGAC-----ATCTCTCTTG..................1911.000.000.000.001.00
.................................................................................TCCTGGGAC-----ATCCCTCTTGCAGT..............2311.000.000.000.001.00
..........................................TGGCTGAGTG-------AGGACTTA------------AG..........................................2011.000.000.000.001.00
.................................................................................TCCTTGGAC-----ATCTCTCTTGCAG...............2211.000.000.000.001.00
.................................................................................TCCTGGGAC-----ATCTCTCTTGCAGC..............2311.000.000.000.001.00
...............................................................................AGTCCTGGGAC-----ATCTCTCTTGC.................2211.000.000.000.001.00
...............GTGAGTG-----ATGCCCCAGATAGCT.................................................................................2211.000.000.000.001.00
...............GTGAGTG-----ATGCTCCAGATATCT.................................................................................2211.000.000.000.001.00
.................................................................................TCCTGGGAC-----ATCTCTCTTGC.................2011.000.000.000.001.00
droAna3
TCATGGGCTACGACAGTGAGTG-----ATGCTCCAGATAGGTTGGCTTAGGAAGTC------ATTAA------------AGCCCTGGGAT-----GTCTCTCTTGCAGTTAAGATCCTGAAACSizeHit CountTotal NormV105
Male body
V106
Head
V055
Unknown
V039
Embryo
...............GTGAGTG-----ATGCTCCAGATAGGT.................................................................................2212.001.001.000.000.00
...............GTGAGTG-----ATGCTCCAGATAGGTTGGCT............................................................................2711.001.000.000.000.00
...............GTGAGTG-----ATGCTCCAGATAGGTTGGC.............................................................................2611.001.000.000.000.00
.................................................................................CCCTGGGAT-----GTCTCTCTTGCA................2111.000.001.000.000.00
dp4
TGATGGGCTACGATGGTAAGAG--C---TAGC---------C-----ACACAAATTATTAGTATT----------TCTATTTCTCAAAATATTT-CTTTCTTTTGCAGTCAAGATACTAAAGCSizeHit CountTotal NormV112
Male body
V043
Embryo
V051
Head
M022
Male body
droPer1
TGATGGGCTACGATGGTAAGAG--C---TAGC---------C-----ACACAAATTATTAGTATT----------TCTATTTCTCAAAATATTC-CTTTCTTTTGCAGTCAAGATCCTAAAGCSizeHit CountTotal NormV111
Male body
V042
Embryo
V050
Head
V057
Head
M021
Embryo
droWil1
TAATGGGTTATGACAGTAAGTTAGC---TGGTAAAGTTGATTTCT------------------TTTA------------ACTAATGT-GT-----ATATTTACTGTAGTAAGAATTTTAAAGCSizeHit CountTotal NormV117
Male body
V118
Embryo
V119
Head
M020
Head
...............................................................................................ATATTTACTGTAGGAATA..........181157.001.0066.003.0087.00
.........................................................................................T-----ATATTTACTGTAGGAATA..........191149.007.0039.001.00102.00
.........................................................................................T-----ATATTTACTGTAGGAAT...........18139.000.005.000.0034.00
........................................................................................AT-----ATATTTACTGTAGGAA............1816.000.002.000.004.00
.................................................................................................ATTTACTGTAGTAGGACT........1813.000.000.000.003.00
...............................................................................................ATATTTACTGTAGGAACA..........1812.000.001.000.001.00
.........................................................................................T-----ATATTTACTGTAGGAAAAA.........2011.000.001.000.000.00
...............................................................................................ATATTTACTGTAGAAATA..........1811.000.000.000.001.00
................................................................................................TATTTACTGTAGTAGGACT........1911.000.000.000.001.00
................................................................................................TATTTACTGTAGGAAAAA.........1811.000.001.000.000.00
...............................................................................................ATATTTACTGTAGTAATA..........1811.000.001.000.000.00
................................................................................................TATTTACTGTAGGAGGAA.........1811.000.001.000.000.00
.........................................................................................T-----ATATTTACTGTAGTAATA..........1911.000.000.000.001.00
.........................................................................................T-----ATATTTACTGTAGGAAA...........1811.000.001.000.000.00
........................................................................................GA-----ATATTTACTGTAGGAA............1811.000.001.000.000.00
................................................................................................TATTTACTGTAGTAGGAAT........1911.000.000.000.001.00
droVir3
TTGTGGGCTACGAAAGTAAGTA------TTTACTTGATAACTCG------TT-------AAACCTAAAG--TCTGTTAACCACTCTTATAACTATG-CATCTAAACAGTTAAGGTACTAAAGASizeHit CountTotal NormV116
Male body
V053
Unknown
V047
Embryo
M027
Male body
M028
Head
droMoj3
TAATGGGCTACGATGGTAAATG--CTGATGTTCATGAATATTTATCCAAGTA-------ATTT------------------CTTTACGTT-----GTCTTCTTAACAGTTAAGGTTTTGAAAASizeHit CountTotal NormV110
Male body
V056
Unknown
V049
Head
V041
Embryo
...........GATGGxAAATG--CTGATGAT...........................................................................................1811.001.000.000.000.00
droGri2
TGGTGGGCTATGATAGTGAGTT--G--ATTCTATT---------------GTAATAATCA------AATCGTTTTTGTTATTTTATAAACA---TGCCATTTTAACAGTCAAGATACTCAAGASizeHit CountTotal NormV109
Male body

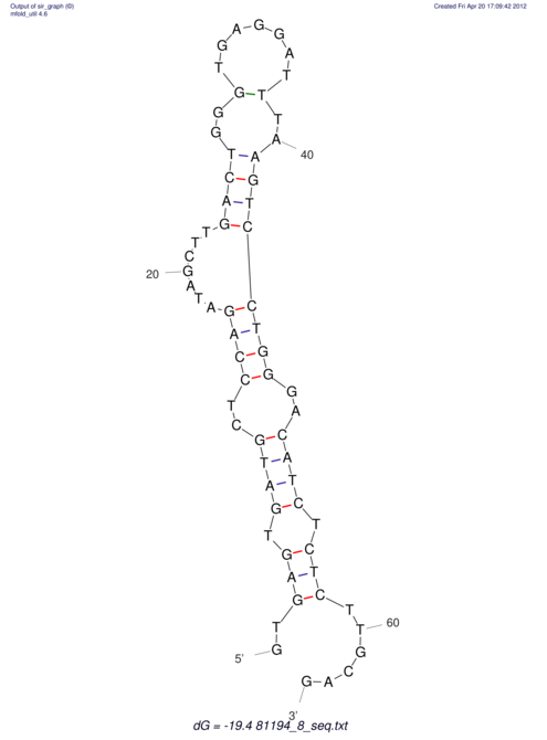
12-way Secondary Structure

dm3 droSim1 droSec1 droYak2 droEre2 droAna3 dp4 droPer1 droWil1 droVir3 droMoj3 droGri2
RNAfold Image
UNAFold Image

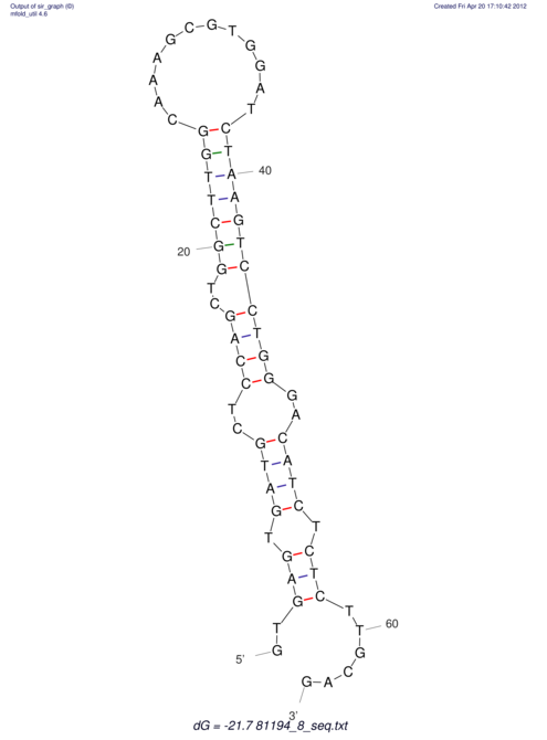
20-way Secondary Structure

dm3 droSim1 droSec1 droYak2 droEre2 droEug1 droBia1 droTak1 droEle1 droRho1 droFic1 droKik1 droAna3 droBip1 dp4 droPer1 droWil1 droVir3 droMoj3 droGri2
RNAfold Image
UNAFold Image

Generated: 04/20/2012 at 05:11:37 EDT