Return to list

View alignment of MAF (12-files) vs LASTZ top hits (20-flies)

View all possible LASTZ hits (20-flies)

Oatp58Dc_in3

chr2R:18113752-18113821 -

Candidate

[View on UCSC Genome Browser {Cornell Mirror}]

mirtron


Legend:

   mature strand at position 18113753-18113774
   star strand at position 18113776-18113796
   mutations
   read mismatches

20-way Fast Statistical Aligner (FSA) re-alignment

Visually pleasing best hits from LASTZ and MAF


Species Coordinate Source Confidence Alignment
dm3 chr2R:18113737-18113836 - 1 GATGGATTGGTTTTGGTAAGTT------ATATAGAAG-------------GATATA--TATAATA-ATCGGAGGT-------------------------------------TAACGTATAATTATCC-----------TTTTAT--T---ACTGCGCAGGTCTTCTTACCATCG
droSim1 chr2R:16713489-16713586 - LASTZ 4 GATGGATTGGTTTCGGTAACTT------ATATTAAAA-------------GATACA--TACGAGA-CTCGGAAGT-------------------------------GAGATA--------AATGGTCG-----------CTTTAT--T---ACTCTGCAGGTCTCCTTACCATCG
droSec1 super_9:1424074-1424171 - LASTZ 1 GATGGATTGGTTTTGGTAAGAT------ATATGAAAA-------------GATACA--AACGAGA-CTCGGAAGT-------------------------------GAGCTA--------AATGGTCC-----------CTTTAT--T---ACTGTGCAGGTCTTCTTACCATCG
droYak2 chr2R:17860970-17861071 - LASTZ 5 GATGGATTGGTTTTGGTAAGAT------CTATAGAAA-------------GATATATTTATGTTA-CTCAGAAGT-------------------------------------TAAGGTATAATTGCCA-----------TTTTGT--A---AATGTTCAGGTCTTCTTACCATCG
droEre2 scaffold_4845:12253086-12253177 - LASTZ 5 GATGGATTGGTTTTGGTAAGAT------ATATA---------------------------TGTTA-CTCGGC---TTAATAATC----------------------AGGTTT--------AATTTTAC-----------TTTTAT--A---ACTGTGCAGGTCTTCTCACCATCG
droEug1 scf7180000409672:6008742-6008837 - LASTZ 4 GATGGATTGGGTTCGGTAAGAT------GTTTACAGG-------------AAGA-----TATGTT-CTCAAACAA--------------A----AATACTATAGTT-----------------CGACC--------------ATA--T---ACCCCTCAGGTCTTCTTACCATAG
droBia1 scf7180000302143:2603202-2603295 + LASTZ 5 GGTGGATTGGGTTTGGTAAGAC------ATATACAAG-------------AATA-----AAGTGT-CCCAGAAAG-----------------------------------------------------TAAAAAAATATTTTCCTATG---TTTGATAAGGTCTTCTCACCATTG
droTak1 scf7180000415243:306616-306705 - LASTZ 5 GATGGATTGGGTTTGGTAAGAT------ATGGACAAG-------------AATT-----AAGTTT-GTCAGAAAA---------------------------------------ATGTA---GAGCCC-----------TTTTCT-------TTATTTAGGTCTCCTAACCATCG
droEle1 scf7180000491282:187924-188020 + LASTZ 5 GATGGATTGGTTTTGGTAAGAC------TTGTACA-------TTTACTGGAAAA-------------------GT-----TTTCCCCGTT----TCT---GGGACT----------------------TATAAAACTG-----------T-TTGCCTTAGGTCTTCTCACCATCG
droRho1 scf7180000779898:29354-29438 - LASTZ 5 GATGGATTGGATTTGGTAAGAT------ATTTACTGG-------------TAAA-----GGGTTT-CTCAGATCA-----------------------------------------------------TGTAACACTG-----------C-CTGCTTCAGGTCTTCTCACCATCG
droFic1 scf7180000454066:2005007-2005107 - LASTZ 4 GGTGGATTGGGTTTGGTAAGAT------ATACCATATTG--------CATTACATA--TAAGTAC-ATCAGAAGA-------------------------------------TATAATAT----TTTA-----------AATCAT--A---ATTTAATAGGTCTCCTTACCATTG
droKik1 scf7180000302471:1382481-1382572 + LASTZ 5 GGTGGATTGGCTTTGGTAAGCT------CTTAAGTAA-------------AATATA--T---ACTCTTCAA-GGATTGA----------A-------------------------------------------AATGCTTTTCCT--A---TATAAATAGGCCTGCTCACCATTG
droAna3 scaffold_13266:2121470-2121555 - LASTZ 5 GATGGATTGGCTTTGGTACGTA------GTCACCAAAGAACATT--------------TAT---T-TTCAA--GT-------------------------------------TATTA-------------T-GAAATA-----------T-CCCTTTTAGGCTTGTTGACCATTG
droBip1 scf7180000396384:456386-456471 + LASTZ 5 GATGGATTGGCTTTGGTAAGTA------TTCCCCAAAGGACATT--------------TAATTG------AATCT---------------------TATTATA------------------------------AACTA-----------T-CTTTTTTAGGTCTGTTAACCATTG
dp4 chr3:15036317-15036415 + LASTZ 5 GCTGGATGGGAATAGGTAAGCC------TTAACTTTGGG--------CAC-----CTTTACGTAG-CTC--------------------------CTTCTCTCGGT------TAT-----------CT--C-TGA-----ATATC--T---TCTGGATAGGGTTGCTAACAATTG
droPer1 super_4:4021493-4021585 - LASTZ 5 GCTGGATAGGATTCGGTAAGAG------CAGCATTCCGA--------TGG-----ATTTCTATC-----------------------GAT----TCCATTACAGCT------TAT-----------CG--------------GCT--A---CTCCCCCAGGTCTCCTCACCATTG
droWil1 scaffold_180697:335215-335309 + LASTZ 5 GTTGGATTGGCTTTGGTATGATTAAAGACTCATTAATATATATTGACTTGAAAT-------------------GG-----------------------------------------------TTGCAA-----------ATTTGT--GAT-TTCTGACAGGTCTTCTAACAATTG
droVir3 scaffold_10324:576498-576590 - LASTZ 4 GCTGGATAGGATTTGGTGAGTG--AATGAGCGGAAATCT-------------------AAAGTA------------------------------GCTTCTCTTAT-----------------TCATCT-----------TTTTCT--T-TCTGCCAACAGGCCTACTAACTATTG
droMoj3 scaffold_6496:2396237-2396342 - LASTZ 4 GTTGGATGGGTTTGGGTAAAT-------ATATATAAA--------------ATATA--TATAA---TAAAAAAAT-----TATGT----AAAGAACTTCTCAAATTAAAGTA--------AAT--------------C-----------C-CACTTCCAGGTCTGTTTACAATCG
droGri2 scaffold_15245:8292349-8292444 - LASTZ 4 GCTGGATTGGATTTGGTAAATA------AAATAAACCGG--------CGA-----CT-TAAGTGT---T------------------AAT----CTCACAATA-------------------------AAAAACAT----AATTT--A---CCTTGCCAGGATATTTTACGGTTA

Legend

0- The ortholog is absent. A better synthenic sequence candidate could not be found.
1- Reads w/ good pileup on mature and star strand & folds into hairpin structure.
2- Reads w/ good pileup on mature and star strand BUT does not fold into hairpin structure.
3- Sporadic reads & folds into a hairpin structure.
4- No reads but folds into a hairpin structure.
5- Ortholog is confident but miRNA appears absent (no reads and does not fold into a hairpin)

Re-alignment after removal of non-confident orthologs

Species Alignment
dm3 GATGGATTGGTTTTGGTAAGTT------ATATAGAAG-------------GATATA--TATAATA-ATCGGAGGT-------------------------------------TAACGTATAATTATCC-----------TTTTAT--T---ACTGCGCAGGTCTTCTTACCATCG
droSim1 GATGGATTGGTTTCGGTAACTT------ATATTAAAA-------------GATACA--TACGAGA-CTCGGAAGT-------------------------------GAGATA--------AATGGTCG-----------CTTTAT--T---ACTCTGCAGGTCTCCTTACCATCG
droSec1 GATGGATTGGTTTTGGTAAGAT------ATATGAAAA-------------GATACA--AACGAGA-CTCGGAAGT-------------------------------GAGCTA--------AATGGTCC-----------CTTTAT--T---ACTGTGCAGGTCTTCTTACCATCG
droYak2 GATGGATTGGTTTTGGTAAGAT------CTATAGAAA-------------GATATATTTATGTTA-CTCAGAAGT-------------------------------------TAAGGTATAATTGCCA-----------TTTTGT--A---AATGTTCAGGTCTTCTTACCATCG
droEre2 GATGGATTGGTTTTGGTAAGAT------ATATA---------------------------TGTTA-CTCGGC---TTAATAATC----------------------AGGTTT--------AATTTTAC-----------TTTTAT--A---ACTGTGCAGGTCTTCTCACCATCG
droEug1 GATGGATTGGGTTCGGTAAGAT------GTTTACAGG-------------AAGA-----TATGTT-CTCAAACAA--------------A----AATACTATAGTT-----------------CGACC--------------ATA--T---ACCCCTCAGGTCTTCTTACCATAG
droBia1 GGTGGATTGGGTTTGGTAAGAC------ATATACAAG-------------AATA-----AAGTGT-CCCAGAAAG-----------------------------------------------------TAAAAAAATATTTTCCTATG---TTTGATAAGGTCTTCTCACCATTG
droTak1 GATGGATTGGGTTTGGTAAGAT------ATGGACAAG-------------AATT-----AAGTTT-GTCAGAAAA---------------------------------------ATGTA---GAGCCC-----------TTTTCT-------TTATTTAGGTCTCCTAACCATCG
droEle1 GATGGATTGGTTTTGGTAAGAC------TTGTACA-------TTTACTGGAAAA-------------------GT-----TTTCCCCGTT----TCT---GGGACT----------------------TATAAAACTG-----------T-TTGCCTTAGGTCTTCTCACCATCG
droRho1 GATGGATTGGATTTGGTAAGAT------ATTTACTGG-------------TAAA-----GGGTTT-CTCAGATCA-----------------------------------------------------TGTAACACTG-----------C-CTGCTTCAGGTCTTCTCACCATCG
droFic1 GGTGGATTGGGTTTGGTAAGAT------ATACCATATTG--------CATTACATA--TAAGTAC-ATCAGAAGA-------------------------------------TATAATAT----TTTA-----------AATCAT--A---ATTTAATAGGTCTCCTTACCATTG
droKik1 GGTGGATTGGCTTTGGTAAGCT------CTTAAGTAA-------------AATATA--T---ACTCTTCAA-GGATTGA----------A-------------------------------------------AATGCTTTTCCT--A---TATAAATAGGCCTGCTCACCATTG
droAna3 GATGGATTGGCTTTGGTACGTA------GTCACCAAAGAACATT--------------TAT---T-TTCAA--GT-------------------------------------TATTA-------------T-GAAATA-----------T-CCCTTTTAGGCTTGTTGACCATTG
droBip1 GATGGATTGGCTTTGGTAAGTA------TTCCCCAAAGGACATT--------------TAATTG------AATCT---------------------TATTATA------------------------------AACTA-----------T-CTTTTTTAGGTCTGTTAACCATTG
dp4 GCTGGATGGGAATAGGTAAGCC------TTAACTTTGGG--------CAC-----CTTTACGTAG-CTC--------------------------CTTCTCTCGGT------TAT-----------CT--C-TGA-----ATATC--T---TCTGGATAGGGTTGCTAACAATTG
droPer1 GCTGGATAGGATTCGGTAAGAG------CAGCATTCCGA--------TGG-----ATTTCTATC-----------------------GAT----TCCATTACAGCT------TAT-----------CG--------------GCT--A---CTCCCCCAGGTCTCCTCACCATTG
droWil1 GTTGGATTGGCTTTGGTATGATTAAAGACTCATTAATATATATTGACTTGAAAT-------------------GG-----------------------------------------------TTGCAA-----------ATTTGT--GAT-TTCTGACAGGTCTTCTAACAATTG
droVir3 GCTGGATAGGATTTGGTGAGTG--AATGAGCGGAAATCT-------------------AAAGTA------------------------------GCTTCTCTTAT-----------------TCATCT-----------TTTTCT--T-TCTGCCAACAGGCCTACTAACTATTG
droMoj3 GTTGGATGGGTTTGGGTAAAT-------ATATATAAA--------------ATATA--TATAA---TAAAAAAAT-----TATGT----AAAGAACTTCTCAAATTAAAGTA--------AAT--------------C-----------C-CACTTCCAGGTCTGTTTACAATCG
droGri2 GCTGGATTGGATTTGGTAAATA------AAATAAACCGG--------CGA-----CT-TAAGTGT---T------------------AAT----CTCACAATA-------------------------AAAAACAT----AATTT--A---CCTTGCCAGGATATTTTACGGTTA

20-way Secondary Structure

dm3 droSim1 droSec1 droYak2 droEre2 droEug1 droBia1 droTak1 droEle1 droRho1 droFic1 droKik1 droAna3 droBip1 dp4 droPer1 droWil1 droVir3 droMoj3 droGri2
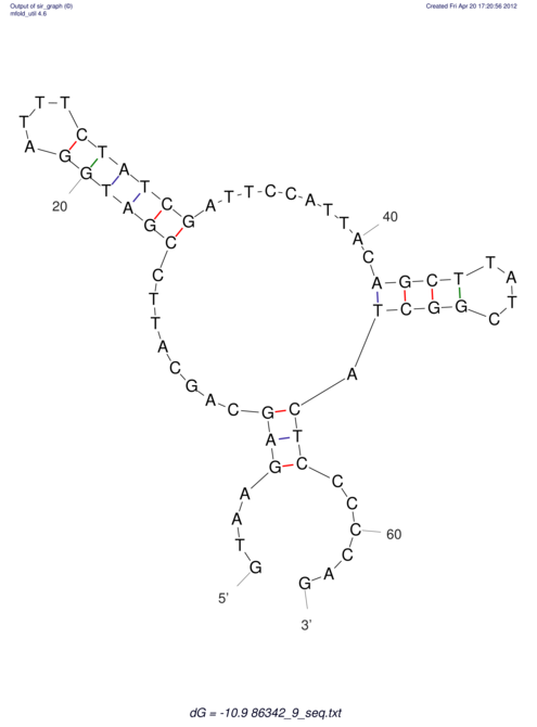
RNAfold Image
UNAFold Image

Small RNA-seq read pileup

Species Alignment
droSim1
GATGGATTGGTTTCGGTAACTT------ATATTAAAA-------------GATACA--TACGAGA-CTCGGAAGT-------------------------------GAGATA--------AATGGTCG-----------CTTTAT--T---ACTCTGCAGGTCTCCTTACCATCGSizeHit CountTotal NormV044
Embryo
M023
Head
M024
Male body
M025
Embryo
...........................................................................................................ACATA--------AATGGTCG-----------TTTTA...............................1811.000.001.000.000.00
droSec1
GATGGATTGGTTTTGGTAAGAT------ATATGAAAA-------------GATACA--AACGAGA-CTCGGAAGT-------------------------------GAGCTA--------AATGGTCC-----------CTTTAT--T---ACTGTGCAGGTCTTCTTACCATCGSizeHit CountTotal NormV113
Male body
V114
Embryo
V115
Head
...............ATAAGAT------ATAxGAAAA-------------GAT..........................................................................................................................1811.000.000.001.00
..............GGAGAGAT------ATATGAAAA-------------G............................................................................................................................1870.140.000.000.14
...................GAT------ATATGAAAA-------------GACATA--.....................................................................................................................1870.140.000.140.00
GATxxTTTGGTTTTGGTAAG...........................................................................................................................................................1811.000.000.001.00
......TTGGTTTTGGTAAGAT------ATATG..............................................................................................................................................2111.001.000.000.00
.................................ACAA-------------GATACA--AACGAGA-A............................................................................................................1811.000.001.000.00
droYak2
GATGGATTGGTTTTGGTAAGAT------CTATAGAAA-------------GATATATTTATGTTA-CTCAGAAGT-------------------------------------TAAGGTATAATTGCCA-----------TTTTGT--A---AATGTTCAGGTCTTCTTACCATCGSizeHit CountTotal NormV046
Embryo
V052
Head
V120
Male body
V058
Head
M026
Head
.ATGGGCTGGTTTTGGTAAG...........................................................................................................................................................1911.000.001.000.000.000.00
...GGATTGCTTTAGGTAAGAT------...................................................................................................................................................1911.000.000.001.000.000.00
droEre2
GATGGATTGGTTTTGGTAAGAT------ATATA---------------------------TGTTA-CTCGGC---TTAATAATC----------------------AGGTTT--------AATTTTAC-----------TTTTAT--A---ACTGTGCAGGTCTTCTCACCATCGSizeHit CountTotal NormV040
Embryo
V060
Head
V047
Embryo
V108
Head
............................................................................................................................TTAC-----------TTTTAT--A---ACTGTGTT................1911.001.000.000.000.00
............................................................................................................................TTAC-----------TTGTAT--A---ACTGTGG.................1811.000.000.000.001.00
.............................................................................................................................TAC-----------TTTTAT--A---ACTGTGCT................1811.001.000.000.000.00
droEug1
GATGGATTGGGTTCGGTAAGAT------GTTTACAGG-------------AAGA-----TATGTT-CTCAAACAA--------------A----AATACTATAGTT-----------------CGACC--------------ATA--T---ACCCCTCAGGTCTTCTTACCATAGSizeHit CountTotal Norm
droBia1
GGTGGATTGGGTTTGGTAAGAC------ATATACAAG-------------AATA-----AAGTGT-CCCAGAAAG-----------------------------------------------------TAAAAAAATATTTTCCTATG---TTTGATAAGGTCTTCTCACCATTGSizeHit CountTotal Norm
droTak1
GATGGATTGGGTTTGGTAAGAT------ATGGACAAG-------------AATT-----AAGTTT-GTCAGAAAA---------------------------------------ATGTA---GAGCCC-----------TTTTCT-------TTATTTAGGTCTCCTAACCATCGSizeHit CountTotal Norm
droEle1
GATGGATTGGTTTTGGTAAGAC------TTGTACA-------TTTACTGGAAAA-------------------GT-----TTTCCCCGTT----TCT---GGGACT----------------------TATAAAACTG-----------T-TTGCCTTAGGTCTTCTCACCATCGSizeHit CountTotal Norm
droRho1
GATGGATTGGATTTGGTAAGAT------ATTTACTGG-------------TAAA-----GGGTTT-CTCAGATCA-----------------------------------------------------TGTAACACTG-----------C-CTGCTTCAGGTCTTCTCACCATCGSizeHit CountTotal Norm
droFic1
GGTGGATTGGGTTTGGTAAGAT------ATACCATATTG--------CATTACATA--TAAGTAC-ATCAGAAGA-------------------------------------TATAATAT----TTTA-----------AATCAT--A---ATTTAATAGGTCTCCTTACCATTGSizeHit CountTotal Norm
droKik1
GGTGGATTGGCTTTGGTAAGCT------CTTAAGTAA-------------AATATA--T---ACTCTTCAA-GGATTGA----------A-------------------------------------------AATGCTTTTCCT--A---TATAAATAGGCCTGCTCACCATTGSizeHit CountTotal Norm
droAna3
GATGGATTGGCTTTGGTACGTA------GTCACCAAAGAACATT--------------TAT---T-TTCAA--GT-------------------------------------TATTA-------------T-GAAATA-----------T-CCCTTTTAGGCTTGTTGACCATTGSizeHit CountTotal NormV105
Male body
V106
Head
V055
Unknown
V039
Embryo
droBip1
GATGGATTGGCTTTGGTAAGTA------TTCCCCAAAGGACATT--------------TAATTG------AATCT---------------------TATTATA------------------------------AACTA-----------T-CTTTTTTAGGTCTGTTAACCATTGSizeHit CountTotal Norm
dp4
GCTGGATGGGAATAGGTAAGCC------TTAACTTTGGG--------CAC-----CTTTACGTAG-CTC--------------------------CTTCTCTCGGT------TAT-----------CT--C-TGA-----ATATC--T---TCTGGATAGGGTTGCTAACAATTGSizeHit CountTotal NormV112
Male body
V043
Embryo
V051
Head
M022
Male body
droPer1
GCTGGATAGGATTCGGTAAGAG------CAGCATTCCGA--------TGG-----ATTTCTATC-----------------------GAT----TCCATTACAGCT------TAT-----------CG--------------GCT--A---CTCCCCCAGGTCTCCTCACCATTGSizeHit CountTotal NormV111
Male body
V042
Embryo
V050
Head
V057
Head
M021
Embryo
..................AGAG------CAxCATTCCGC--------TGG-----AT......................................................................................................................1911.000.001.000.000.000.00
droWil1
GTTGGATTGGCTTTGGTATGATTAAAGACTCATTAATATATATTGACTTGAAAT-------------------GG-----------------------------------------------TTGCAA-----------ATTTGT--GAT-TTCTGACAGGTCTTCTAACAATTGSizeHit CountTotal NormV117
Male body
V118
Embryo
V119
Head
M020
Head
..........................................................................................................................................................TAACAGGTCTTCTAGCAA...1812.000.000.002.000.00
droVir3
GCTGGATAGGATTTGGTGAGTG--AATGAGCGGAAATCT-------------------AAAGTA------------------------------GCTTCTCTTAT-----------------TCATCT-----------TTTTCT--T-TCTGCCAACAGGCCTACTAACTATTGSizeHit CountTotal NormV116
Male body
V053
Unknown
V047
Embryo
M027
Male body
M028
Head
droMoj3
GTTGGATGGGTTTGGGTAAAT-------ATATATAAA--------------ATATA--TATAA---TAAAAAAAT-----TATGT----AAAGAACTTCTCAAATTAAAGTA--------AAT--------------C-----------C-CACTTCCAGGTCTGTTTACAATCGSizeHit CountTotal NormV110
Male body
V056
Unknown
V049
Head
V041
Embryo
droGri2
GCTGGATTGGATTTGGTAAATA------AAATAAACCGG--------CGA-----CT-TAAGTGT---T------------------AAT----CTCACAATA-------------------------AAAAACAT----AATTT--A---CCTTGCCAGGATATTTTACGGTTASizeHit CountTotal NormV109
Male body

Generated: 04/20/2012 at 05:21:46 EDT