Oatp58Dc_in3

chr2R:18113752-18113821 -

Candidate

[View on UCSC Genome Browser {Cornell Mirror}]

mirtron


Legend:

   mature strand at position 18113753-18113774
   star strand at position 18113776-18113796
   mutations
   read mismatches
   coordinate mismatch (possible incorrect ortholog)

12-way Fast Statistical Aligner re-alignment (From MAFs)

Species Coordinate Alignment
dm3 chr2R:18113737-18113836 - GATGGATTGGTTTTGGTAAGTTATATAGAA--------------------GGATATA----TATAAT-AATCGG------------AGGT------------TAAC-------G-TATAATTATCCTTTTATTACT--GCGCAGGTCTTCTTACCATCG
droSim1 chr2R:16713489-16713586 - GATGGATTGGTTTCGGTAACTTATATTAAA--------------------AGATACA----TACGAG-ACTCGG------------AAGT------------GA---------GAT-AAATGGTCGCTTTATTACT--CTGCAGGTCTCCTTACCATCG
droSec1 super_9:1424074-1424171 - GATGGATTGGTTTTGGTAAGATATATGAAA--------------------AGATACA----AACGAG-ACTCGG------------AAGT------------GA---------GCT-AAATGGTCCCTTTATTACT--GTGCAGGTCTTCTTACCATCG
droYak2 chr2R:17860970-17861071 - GATGGATTGGTTTTGGTAAGATCTATAGAA--------------------AGATATATTT--ATGTT-ACTCAG------------AAGT------------TAAG-------G-TATAATTGCCATTTTGTAAAT--GTTCAGGTCTTCTTACCATCG
droEre2 scaffold_4845:12253086-12253177 - GATGGATTGGTTTTGGTAAGATATAT------------------------------------ATGTT-ACTCGG------CTTAATAATC------------AG---------GTT-TAATTTTACTTTTATAACT--GTGCAGGTCTTCTCACCATCG
droAna3 scaffold_13266:2121470-2121555 - GATGGATTGGCTTTGGTACGTAGTCACCAA-------------------AGAA---------------------CATTTATTTTCA-AGT------------TATT-------A-TGAAATA----------TC--CCTTTTAGGCTTGTTGACCATTG
dp4 chr3:15029496-15029588 + GCTGGATAGGATTCGGTAAGAGCAG----------------CATTCCGATGGA----TTTTTA--T---------------------------CGATTCCATTACAGCTTATCG-GCT--------------AC--TCCCCCAGGTCTCCTCACCATTG
droPer1 super_4:4021493-4021585 - GCTGGATAGGATTCGGTAAGAGCAG----------------CATTCCGATGGA----TTTCTA--T---------------------------CGATTCCATTACAGCTTATCG-GCT--------------AC--TCCCCCAGGTCTCCTCACCATTG
droWil1 scaffold_180697:335215-335309 + GTTGGATTGGCTTTGGTATGATTAA-AG----------------ACTCATTAA----TATATA--TTGACTTGA-------------AA------------TGGTT----------------GCAAATTTGTGATTTCTGACAGGTCTTCTAACAATTG
droVir3 scaffold_10324:576498-576590 - GCTGGATAGGATTTGGTGAGTGA-ATGAGCGG---------AAATCTAAA---------------GTAGCTTCT--C----------------TTAT-----------------------TCATCTTTTTCTTTCTGCCAACAGGCCTACTAACTATTG
droMoj3 scaffold_6496:2407447-2407535 - GTTGGATAGGATTTGGTAAGATCTACAAATGATGCCAGCAACAT------------------------------CTTCTATCTCAT-TGC-------------------------------------TGACATT--TCCCCCAGGTCTATTGACTATCG
droGri2 scaffold_15245:8299183-8299271 - GGTGGATTGGCTTTGGTAAGCTGTGAAATA--------------------AACT--------------------CTTTAATTTGAT-AACTAAGGGTTCAAAT---------------------------AACGAT--TTACAGGTTTATTAACCATTG

20-way Fast Statistical Aligner re-alignment (Top LASTZ hits)

Species Coordinate Lastz Id Alignment
dm3 chr2R:18113737-18113836 - NA GATGGATTGGTTTTGGTAAGTT------ATATAGAAG-------------GATATA--TATAATA-ATCGGAGGT-------------------------------------TAACGTATAATTATCC-----------TTTTAT--T---ACTGCGCAGGTCTTCTTACCATCG
droSim1 chr2R:16713489-16713586 - 7 GATGGATTGGTTTCGGTAACTT------ATATTAAAA-------------GATACA--TACGAGA-CTCGGAAGT-------------------------------GAGATA--------AATGGTCG-----------CTTTAT--T---ACTCTGCAGGTCTCCTTACCATCG
droSec1 super_9:1424074-1424171 - 7 GATGGATTGGTTTTGGTAAGAT------ATATGAAAA-------------GATACA--AACGAGA-CTCGGAAGT-------------------------------GAGCTA--------AATGGTCC-----------CTTTAT--T---ACTGTGCAGGTCTTCTTACCATCG
droYak2 chr2R:17860970-17861071 - 7 GATGGATTGGTTTTGGTAAGAT------CTATAGAAA-------------GATATATTTATGTTA-CTCAGAAGT-------------------------------------TAAGGTATAATTGCCA-----------TTTTGT--A---AATGTTCAGGTCTTCTTACCATCG
droEre2 scaffold_4845:12253086-12253177 - 9 GATGGATTGGTTTTGGTAAGAT------ATATA---------------------------TGTTA-CTCGGC---TTAATAATC----------------------AGGTTT--------AATTTTAC-----------TTTTAT--A---ACTGTGCAGGTCTTCTCACCATCG
droEug1 scf7180000409672:6008742-6008837 - 11 GATGGATTGGGTTCGGTAAGAT------GTTTACAGG-------------AAGA-----TATGTT-CTCAAACAA--------------A----AATACTATAGTT-----------------CGACC--------------ATA--T---ACCCCTCAGGTCTTCTTACCATAG
droBia1 scf7180000302143:2603202-2603295 + 1 GGTGGATTGGGTTTGGTAAGAC------ATATACAAG-------------AATA-----AAGTGT-CCCAGAAAG-----------------------------------------------------TAAAAAAATATTTTCCTATG---TTTGATAAGGTCTTCTCACCATTG
droTak1 scf7180000415243:306616-306705 - 11 GATGGATTGGGTTTGGTAAGAT------ATGGACAAG-------------AATT-----AAGTTT-GTCAGAAAA---------------------------------------ATGTA---GAGCCC-----------TTTTCT-------TTATTTAGGTCTCCTAACCATCG
droEle1 scf7180000491282:187924-188020 + 5 GATGGATTGGTTTTGGTAAGAC------TTGTACA-------TTTACTGGAAAA-------------------GT-----TTTCCCCGTT----TCT---GGGACT----------------------TATAAAACTG-----------T-TTGCCTTAGGTCTTCTCACCATCG
droRho1 scf7180000779898:29354-29438 - 8 GATGGATTGGATTTGGTAAGAT------ATTTACTGG-------------TAAA-----GGGTTT-CTCAGATCA-----------------------------------------------------TGTAACACTG-----------C-CTGCTTCAGGTCTTCTCACCATCG
droFic1 scf7180000454066:2005007-2005107 - 8 GGTGGATTGGGTTTGGTAAGAT------ATACCATATTG--------CATTACATA--TAAGTAC-ATCAGAAGA-------------------------------------TATAATAT----TTTA-----------AATCAT--A---ATTTAATAGGTCTCCTTACCATTG
droKik1 scf7180000302471:1382481-1382572 + 1 GGTGGATTGGCTTTGGTAAGCT------CTTAAGTAA-------------AATATA--T---ACTCTTCAA-GGATTGA----------A-------------------------------------------AATGCTTTTCCT--A---TATAAATAGGCCTGCTCACCATTG
droAna3 scaffold_13266:2121470-2121555 - 11 GATGGATTGGCTTTGGTACGTA------GTCACCAAAGAACATT--------------TAT---T-TTCAA--GT-------------------------------------TATTA-------------T-GAAATA-----------T-CCCTTTTAGGCTTGTTGACCATTG
droBip1 scf7180000396384:456386-456471 + 1 GATGGATTGGCTTTGGTAAGTA------TTCCCCAAAGGACATT--------------TAATTG------AATCT---------------------TATTATA------------------------------AACTA-----------T-CTTTTTTAGGTCTGTTAACCATTG
dp4 chr3:15036317-15036415 + 4 GCTGGATGGGAATAGGTAAGCC------TTAACTTTGGG--------CAC-----CTTTACGTAG-CTC--------------------------CTTCTCTCGGT------TAT-----------CT--C-TGA-----ATATC--T---TCTGGATAGGGTTGCTAACAATTG
droPer1 super_4:4021493-4021585 - 11 GCTGGATAGGATTCGGTAAGAG------CAGCATTCCGA--------TGG-----ATTTCTATC-----------------------GAT----TCCATTACAGCT------TAT-----------CG--------------GCT--A---CTCCCCCAGGTCTCCTCACCATTG
droWil1 scaffold_180697:335215-335309 + 1 GTTGGATTGGCTTTGGTATGATTAAAGACTCATTAATATATATTGACTTGAAAT-------------------GG-----------------------------------------------TTGCAA-----------ATTTGT--GAT-TTCTGACAGGTCTTCTAACAATTG
droVir3 scaffold_10324:576498-576590 - 11 GCTGGATAGGATTTGGTGAGTG--AATGAGCGGAAATCT-------------------AAAGTA------------------------------GCTTCTCTTAT-----------------TCATCT-----------TTTTCT--T-TCTGCCAACAGGCCTACTAACTATTG
droMoj3 scaffold_6496:2396237-2396342 - 8 GTTGGATGGGTTTGGGTAAAT-------ATATATAAA--------------ATATA--TATAA---TAAAAAAAT-----TATGT----AAAGAACTTCTCAAATTAAAGTA--------AAT--------------C-----------C-CACTTCCAGGTCTGTTTACAATCG
droGri2 scaffold_15245:8292349-8292444 - 15 GCTGGATTGGATTTGGTAAATA------AAATAAACCGG--------CGA-----CT-TAAGTGT---T------------------AAT----CTCACAATA-------------------------AAAAACAT----AATTT--A---CCTTGCCAGGATATTTTACGGTTA

[View All Possible Orthologs]

Original 12-way multiz alignment with reads super-imposed

Species Alignment
dm3
GATGGATTGGTTTTGGTAAGTTATATAGAA--------------------GGATATA----TATAAT-AATCGG------------AGGT------------TAAC-------G-TATAATTATCCTTTTATTACT--GCGCAGGTCTTCTTACCATCGSizeHit CountTotal Norm
droSim1
GATGGATTGGTTTCGGTAACTTATATTAAA--------------------AGATACA----TACGAG-ACTCGG------------AAGT------------GA---------GAT-AAATGGTCGCTTTATTACT--CTGCAGGTCTCCTTACCATCGSizeHit CountTotal NormV044
Embryo
M023
Head
M024
Male body
M025
Embryo
.......................................................................................................A---------CAT-AAATGGTCGTTTTA............................1811.000.001.000.000.00
droSec1
GATGGATTGGTTTTGGTAAGATATATGAAA--------------------AGATACA----AACGAG-ACTCGG------------AAGT------------GA---------GCT-AAATGGTCCCTTTATTACT--GTGCAGGTCTTCTTACCATCGSizeHit CountTotal NormV113
Male body
V114
Embryo
V115
Head
...................GATATATGAAA--------------------AGAGATA----..................................................................................................18115.000.0015.000.00
..................AGATATATGAAA--------------------AGAGATA----..................................................................................................1914.000.004.000.00
...............GAGAGATATATGAAA--------------------AGA..........................................................................................................1814.000.004.000.00
.................GAGATATATGAAA--------------------AGAGA........................................................................................................1812.000.002.000.00
...................GATATATGAAA--------------------AGAGATA----A.................................................................................................1911.000.001.000.00
......TTGGTTTTGGTAAGATATATG....................................................................................................................................2111.001.000.000.00
...........................ACA--------------------AGATACA----AACGAG-AA.........................................................................................1811.000.001.000.00
...............ATAAGATATAxGAAA--------------------AGAT.........................................................................................................1811.000.000.001.00
..............GGAGAGATATATGAAA--------------------AG...........................................................................................................1811.000.000.001.00
...................GATATATGAAA--------------------AGAGATA----AA................................................................................................2011.000.001.000.00
...................GATATATGAAA--------------------AGACATA----..................................................................................................1811.000.001.000.00
GATxxTTTGGTTTTGGTAAG...........................................................................................................................................1811.000.000.001.00
droYak2
GATGGATTGGTTTTGGTAAGATCTATAGAA--------------------AGATATATTT--ATGTT-ACTCAG------------AAGT------------TAAG-------G-TATAATTGCCATTTTGTAAAT--GTTCAGGTCTTCTTACCATCGSizeHit CountTotal NormV046
Embryo
V052
Head
V120
Male body
V058
Head
M026
Head
.ATGGGCTGGTTTTGGTAAG...........................................................................................................................................1911.000.001.000.000.000.00
...GGATTGCTTTAGGTAAGAT.........................................................................................................................................1911.000.000.001.000.000.00
droEre2
GATGGATTGGTTTTGGTAAGATATAT------------------------------------ATGTT-ACTCGG------CTTAATAATC------------AG---------GTT-TAATTTTACTTTTATAACT--GTGCAGGTCTTCTCACCATCGSizeHit CountTotal NormV040
Embryo
V060
Head
V047
Embryo
V108
Head
..........................................................................................................................TTACTTTTATAACT--GTGTT................1911.001.000.000.000.00
..........................................................................................................................TTACTTGTATAACT--GTGG.................1811.000.000.000.001.00
...........................................................................................................................TACTTTTATAACT--GTGCT................1811.001.000.000.000.00
droAna3
GATGGATTGGCTTTGGTACGTAGTCACCAA-------------------AGAA---------------------CATTTATTTTCA-AGT------------TATT-------A-TGAAATA----------TC--CCTTTTAGGCTTGTTGACCATTGSizeHit CountTotal NormV105
Male body
V106
Head
V055
Unknown
V039
Embryo
dp4
GCTGGATAGGATTCGGTAAGAGCAG----------------CATTCCGATGGA----TTTTTA--T---------------------------CGATTCCATTACAGCTTATCG-GCT--------------AC--TCCCCCAGGTCTCCTCACCATTGSizeHit CountTotal NormV112
Male body
V043
Embryo
V051
Head
M022
Male body
...GGATxGGATTCAGTAAGAGC........................................................................................................................................1911.001.000.000.000.00
droPer1
GCTGGATAGGATTCGGTAAGAGCAG----------------CATTCCGATGGA----TTTCTA--T---------------------------CGATTCCATTACAGCTTATCG-GCT--------------AC--TCCCCCAGGTCTCCTCACCATTGSizeHit CountTotal NormV111
Male body
V042
Embryo
V050
Head
V057
Head
M021
Embryo
..................AGAGCAx----------------CATTCCGCTGGA----T.....................................................................................................1911.000.001.000.000.000.00
droWil1
GTTGGATTGGCTTTGGTATGATTAA-AG----------------ACTCATTAA----TATATA--TTGACTTGA-------------AA------------TGGTT----------------GCAAATTTGTGATTTCTGACAGGTCTTCTAACAATTGSizeHit CountTotal NormV117
Male body
V118
Embryo
V119
Head
M020
Head
..........................................................................................................................................TAACAGGTCTTCTAGCAA...1812.000.000.002.000.00
droVir3
GCTGGATAGGATTTGGTGAGTGA-ATGAGCGG---------AAATCTAAA---------------GTAGCTTCT--C----------------TTAT-----------------------TCATCTTTTTCTTTCTGCCAACAGGCCTACTAACTATTGSizeHit CountTotal NormV116
Male body
V053
Unknown
V047
Embryo
M027
Male body
M028
Head
droMoj3
GTTGGATAGGATTTGGTAAGATCTACAAATGATGCCAGCAACAT------------------------------CTTCTATCTCAT-TGC-------------------------------------TGACATT--TCCCCCAGGTCTATTGACTATCGSizeHit CountTotal NormV110
Male body
V056
Unknown
V049
Head
V041
Embryo
droGri2
GGTGGATTGGCTTTGGTAAGCTGTGAAATA--------------------AACT--------------------CTTTAATTTGAT-AACTAAGGGTTCAAAT---------------------------AACGAT--TTACAGGTTTATTAACCATTGSizeHit CountTotal NormV109
Male body

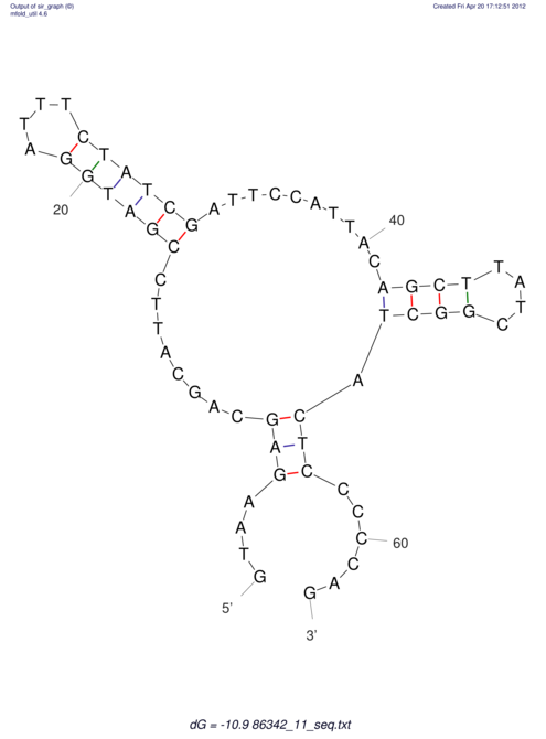
12-way Secondary Structure

dm3 droSim1 droSec1 droYak2 droEre2 droAna3 dp4 droPer1 droWil1 droVir3 droMoj3 droGri2
RNAfold Image
UNAFold Image

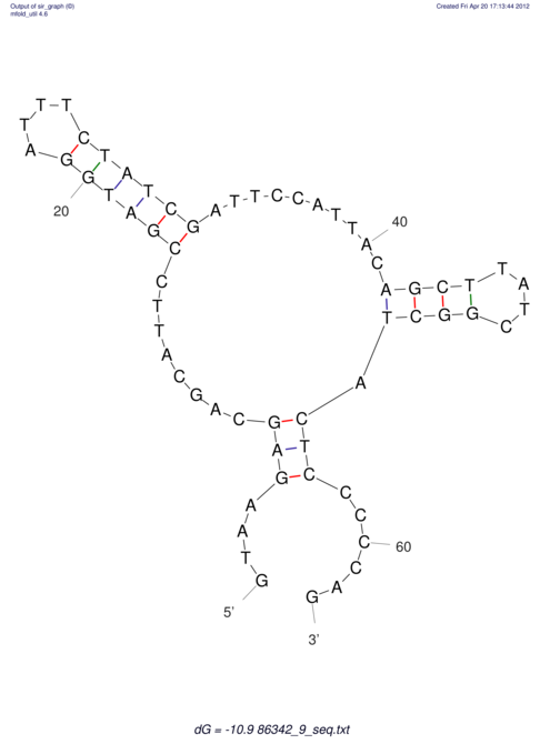
20-way Secondary Structure

dm3 droSim1 droSec1 droYak2 droEre2 droEug1 droBia1 droTak1 droEle1 droRho1 droFic1 droKik1 droAna3 droBip1 dp4 droPer1 droWil1 droVir3 droMoj3 droGri2
RNAfold Image
UNAFold Image

Generated: 04/20/2012 at 05:14:34 EDT