ID: X_9876976-9877860.3p
GENE: (X:9876976-9877860.3p)
X:9877610-9877860+


Display Libraries
(2)
BODY
(1)
HEAD
(3)
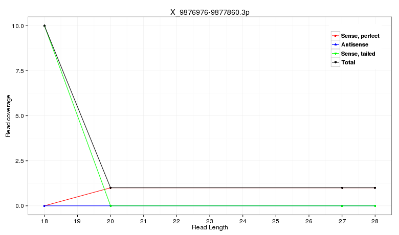
TOTAL_RNA.ip

Sense strand
AACTAGGATACAGACCTCTGCATGGGATTAGCTGATCATCAGCATCAAATAGCCAAGGATATAGATGGATACCATCCAAAGATGGAGTCATATATGTATACCCTATGTGGATAATGTCTTCATAAACACGATATAATGTTGAAGCTTCCCTTCCAAGTTAAGATTATGGCTGAATCCTTTTGTATATTCCTTCGTCCTTAGGGAATGCACACCACATATGCCTGGTGATCCTAGTGTCCTCGGCGGTGCCA


SizePerfect hitTotal NormPerfect NormM043: IP:total RNA female bodyV058: IP:total RNA headV120: IP:total RNA male body
..........................................................ATATAGATGGATACGAAT...............................................................................................................................................................................1810.000.009.001.00-
............................................................ATAGATGGATACCATCCAAAGATGGAGT...................................................................................................................................................................2811.001.00--1.00
.............ACCTCTGCATGGGATTAGCT..........................................................................................................................................................................................................................2011.001.001.00--

Antisense strand
AACTAGGATACAGACCTCTGCATGGGATTAGCTGATCATCAGCATCAAATAGCCAAGGATATAGATGGATACCATCCAAAGATGGAGTCATATATGTATACCCTATGTGGATAATGTCTTCATAAACACGATATAATGTTGAAGCTTCCCTTCCAAGTTAAGATTATGGCTGAATCCTTTTGTATATTCCTTCGTCCTTAGGGAATGCACACCACATATGCCTGGTGATCCTAGTGTCCTCGGCGGTGCCA


SizePerfect hitTotal NormPerfect NormM043: IP:total RNA female bodyV058: IP:total RNA headV120: IP:total RNA male body