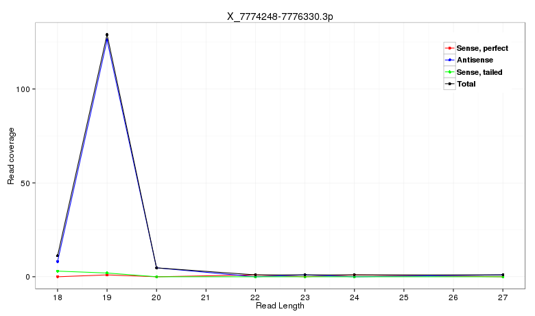
ID: X_7774248-7776330.3p
GENE: (X:7774248-7776330.3p)
X:7774249-7774499-


Display Libraries
(2)
BODY
(2)
EMBRYO
(2)
HEAD
(6)
TOTAL_RNA.ip

Sense strand
GAAAACTGAAATAACGAAAACAATCGCATTTTGTATGAACTTTTCGAACCGAAACCCACAACAACTATCAATCAATCAATCAATCAATCGAAACCATCGTGAATTTGTCAATTTTTGAAACACAAAACCAATATATATATATATATAAATAAAAATATCACCACCTCCATGTTTGTTGCCACCTCAATGCCTCACGTATAGAAAACCACCTCAGACACCAGCCGAGTAAGTCTATGTACAAAAAACAAATG
.......................................................................((((.....(((.....(((.....))).....))).......)))).............((((((....))))))........................................................................................................
.......................................................................72...............................................................................153................................................................................................
SizePerfect hitTotal NormPerfect NormV120: IP:total RNA male bodyM056: IP:total RNA embryoM026: IP:total RNA headM043: IP:total RNA female bodyV046: IP:total RNA embryoV058: IP:total RNA head
...................................................................................................................................TATATATATATATATAAC......................................................................................................183.000.00-1.00-2.00--
............................................................................CAATCAATCAATCGAAACCATCGT.......................................................................................................................................................2411.001.001.00-----
..................................................................................................................................................................................................................TCAGACACCAGCCGAGTAAGTC...................2211.001.00-1.00----
..................................................................................................................................ATATATATATATATATAAC......................................................................................................191.000.00---1.00--
...................................................................................................................................TATATATATATATATAACC.....................................................................................................191.000.00-1.00----
..............................................................................................................................................................................................................CACCTCAGACACCAGCCGA..........................1911.001.00----1.00-

Antisense strand
GAAAACTGAAATAACGAAAACAATCGCATTTTGTATGAACTTTTCGAACCGAAACCCACAACAACTATCAATCAATCAATCAATCAATCGAAACCATCGTGAATTTGTCAATTTTTGAAACACAAAACCAATATATATATATATATAAATAAAAATATCACCACCTCCATGTTTGTTGCCACCTCAATGCCTCACGTATAGAAAACCACCTCAGACACCAGCCGAGTAAGTCTATGTACAAAAAACAAATG
.......................................................................((((.....(((.....(((.....))).....))).......)))).............((((((....))))))........................................................................................................
.......................................................................72...............................................................................153................................................................................................
SizePerfect hitTotal NormPerfect NormV120: IP:total RNA male bodyM056: IP:total RNA embryoM026: IP:total RNA headM043: IP:total RNA female bodyV046: IP:total RNA embryoV058: IP:total RNA head
..................................................................GATTGATTGATTGATTGAT...................................................................................................................................................................... 190126.00126.0034.0032.0034.0016.0010.00-
................................................................aaacGATTGATTGATTGCAAA...................................................................................................................................................................... 219.000.007.00--1.001.00-
................................................................aaacGATTGATTGATTGATTGCAAA.................................................................................................................................................................. 258.000.008.00-----
......................................................................ATTGATTGATTGATTGAT................................................................................................................................................................... 1806.006.00--2.002.002.00-
................................................................acGATTGATTGATTGATCA........................................................................................................................................................................ 195.000.004.00---1.00-
................................................................acTTGATTGATTGATTGATCA...................................................................................................................................................................... 215.000.005.00-----
................................................................cGATTGATTGATTGATTGATAC..................................................................................................................................................................... 225.000.00-2.00-2.001.00-
..................................................................TGATTGATTGATTGATTGAT..................................................................................................................................................................... 2004.004.002.00-1.001.00--
................................................................aacGATTGATTGATTGATTGACAA................................................................................................................................................................... 244.000.002.00--1.001.00-
................................................................aaacATTGATTGATTGCAAA....................................................................................................................................................................... 203.000.003.00-----
................................................................cATTGATTGATTGATTGATAC...................................................................................................................................................................... 213.000.00-1.00-2.00--
................................................................cTTGATTGATTGATTGATAC....................................................................................................................................................................... 202.000.00-1.00-1.00--
.......................................................................GATTGATTGATTGATTGA.................................................................................................................................................................. 1802.002.00-2.00----
................................................................cGATTGATTGATTGATAC......................................................................................................................................................................... 182.000.00-2.00----
................................................................acTGATTGATTGATTGATTGATCA................................................................................................................................................................... 242.000.002.00-----
.................................................................accATTGATTGATTGATTGCCA.................................................................................................................................................................... 221.000.001.00-----
................................................................acATTGATTGATTGATTGATCA..................................................................................................................................................................... 221.000.001.00-----
................................................................aaacTTGATTGATTGATTGCAAA.................................................................................................................................................................... 231.000.00-----1.00
...................................................................................TGACAAATTCACGATGGTTTCGATTGA............................................................................................................................................. 2711.001.00---1.00--
................................................................aacTTGATTGATTGATTGACAA..................................................................................................................................................................... 221.000.001.00-----
................................................................aacGATTGATTGATTGACAA....................................................................................................................................................................... 201.000.001.00-----
................................................................aacATTGATTGATTGATTGACAA.................................................................................................................................................................... 231.000.001.00-----
................................................................cTGATTGATTGATTGATTGATAC.................................................................................................................................................................... 231.000.00---1.00--
................................................................aaacTTGATTGATTGCAAA........................................................................................................................................................................ 191.000.00-----1.00
................................................................aaacATTGATTGATTGATTGCAAA................................................................................................................................................................... 241.000.001.00-----
................................................................acGATTGATTGATTGATTGATCA.................................................................................................................................................................... 231.000.00----1.00-
....................................................................................................................................................................................TTCTATACGTGAGGCATTGAGGT................................................ 2311.001.00---1.00--
.................................................................aaATTGATTGATTGATTGAAA..................................................................................................................................................................... 211.000.00---1.00--
................................................................acTGATTGATTGATTGATCA....................................................................................................................................................................... 200.830.000.67--0.17--
.................................................................GATTGATTGATTGATTGATA...................................................................................................................................................................... 2040.750.750.50---0.25-
................................................................aaacTGATTGATTGATTGCAAA..................................................................................................................................................................... 220.330.000.33-----
................................................................cTGATTGATTGATTGATAC........................................................................................................................................................................ 190.330.00-0.33----
................................................................TGATTGATTGATTGATAG......................................................................................................................................................................... 1860.170.17----0.17-