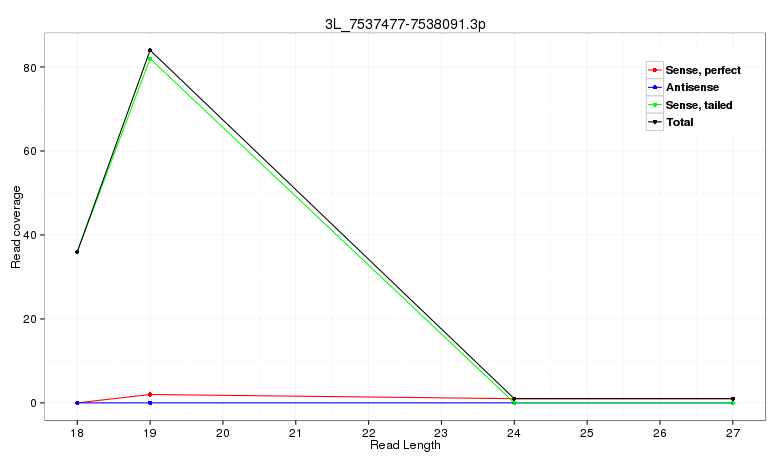
ID: 3L_7537477-7538091.3p
GENE: (3L:7537477-7538091.3p)
3L:7537478-7537728-


Display Libraries
(2)
BODY
(2)
EMBRYO
(2)
HEAD
(6)
TOTAL_RNA.ip

Sense strand
CACACAGCTCTAAAATACAATTAATTAAAAAAGCAATTCAGGGCGCACTTTCATAGCTATTAGTCACCAAATATTAAACTTTAAAATGTTTATTGTACACACCTCCATCTTTGGAGTGGACTTTAAGTAAACTTAAAATTAATTGCTAGCGTTTATTTTCATACCCAAGATCACTTAGTAATCCAGTTTTTCAATCTGCAGGCCGAGCGGCGGACCTCAAGTACGTGGAGAGTGCAGCCCGGATGATCGCC
.....................................................((((.((((((..((..(((.(((((........))))).)))......(((((....))))).))...(((((....))))).)))))).)))).......................................................................................................
..................................................51.................................................................................................150...................................................................................................
SizePerfect hitTotal NormPerfect NormM043: IP:total RNA female bodyV058: IP:total RNA headM056: IP:total RNA embryoV046: IP:total RNA embryoV120: IP:total RNA male bodyV052: IP:total RNA head
.................................................................................TAAAATGTTTATTGTGTTT.......................................................................................................................................................1981.000.0072.001.002.00-6.00-
..................................................................................AAAATGTTTATTGTGTTT.......................................................................................................................................................1832.000.002.0011.007.008.00-4.00
.................................................................................TAAAATGTTTATTGTGTT........................................................................................................................................................183.000.002.001.00----
................................................................................TTAAAATGTTTATTGTGTT........................................................................................................................................................191.000.001.00-----
..................................................................................AAAATGTTTATTGTGTTC.......................................................................................................................................................181.000.00--1.00---
......................................................................................................................................................................................................................CCTCAAGTACGTGGAGAGT..................1911.001.001.00-----
....................................................................................................................................................................................................................GACCTCAAGTACGTGGAGAGTGCAGCC............2711.001.001.00-----
...................................................................................................................................................................................................................GGACCTCAAGTACGTGGAGAGTGC................2411.001.00----1.00-
........................................................................................................................................................................................................................TCAAGTACGTGGAGAGTGC................1911.001.00---1.00--

Antisense strand
CACACAGCTCTAAAATACAATTAATTAAAAAAGCAATTCAGGGCGCACTTTCATAGCTATTAGTCACCAAATATTAAACTTTAAAATGTTTATTGTACACACCTCCATCTTTGGAGTGGACTTTAAGTAAACTTAAAATTAATTGCTAGCGTTTATTTTCATACCCAAGATCACTTAGTAATCCAGTTTTTCAATCTGCAGGCCGAGCGGCGGACCTCAAGTACGTGGAGAGTGCAGCCCGGATGATCGCC
.....................................................((((.((((((..((..(((.(((((........))))).)))......(((((....))))).))...(((((....))))).)))))).)))).......................................................................................................
..................................................51.................................................................................................150...................................................................................................
SizePerfect hitTotal NormPerfect NormM043: IP:total RNA female bodyV058: IP:total RNA headM056: IP:total RNA embryoV046: IP:total RNA embryoV120: IP:total RNA male bodyV052: IP:total RNA head
........................................................................................................................................................................................................gggcGGTCCGCCGCTCCGGG............................... 201.000.001.00-----
.........................................................................................................................................................................................................ggctGTCCGCCGCTTCGG................................ 181.000.001.00-----
.........................................................................................................................................................................................................gctGGTCCGCCGCTCTCG................................ 181.000.001.00-----