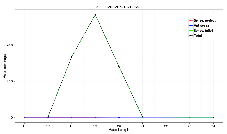
ID: 3L_10200265-10200620
GENE: (3L:10200265-10200620)
3L:10200266-10200620-


Display Libraries
(2)
BODY
(2)
EMBRYO
(2)
HEAD
(6)
TOTAL_RNA.ip

Sense strand
ACTTGGATGTGCGCATGAAGGCCGTTCTGCTGGGCGCCACATTCCTCATAGTAAGTGTGCTCTTTTCAGCTAAGATTTATTGTAGTTATTCATCCTTGGCCTCTGCCAATCAGTTATATAGTGTTAATTTTTATCGGTTCAAGCTGTTAACGCGTCTGCAGCGCAGATTTCGTTGGTGCTGAGGTAATGTTGACCCTCAGGCCCATGAAAACCTTCAGCTTAGTTTGAGTAGGCTAGTGCAGCACTAAGTCCTTCAATCGTATATGTTACCCACACTAAATGTATGCTTTCTATTTGCCCCACAGGATGCCATGTTCTTTGAAAAAGCCGGTAACCGAGAGACCGATGGGCCCGG


SizePerfect hitTotal NormPerfect NormV120: IP:total RNA male bodyM043: IP:total RNA female bodyM056: IP:total RNA embryoV046: IP:total RNA embryoV058: IP:total RNA headV052: IP:total RNA head
...........................................................................................................................................................................................................................................AGTGCAGCACTAAGTGGGT.....................................................................................................19523.000.00260.0079.0061.0051.0051.0021.00
............................................................................................................................................................................................................................................GTGCAGCACTAAGTGGGT.....................................................................................................18285.000.0012.00100.0042.0054.0049.0028.00
..........................................................................................................................................................................................................................................TAGTGCAGCACTAAGTGGGT.....................................................................................................20274.000.00166.0024.0041.0016.0015.0012.00
...........................................................................................................................................................................................................................................AGTGCAGCACTAAGTGGG......................................................................................................1829.000.00-12.0015.001.001.00-
...........................................................................................................................................................................................................................................AGTGCAGCACTAAGTGGGC.....................................................................................................1918.000.001.00-17.00---
..........................................................................................................................................................................................................................................TAGTGCAGCACTAAGTGGG......................................................................................................1918.000.005.004.001.005.001.002.00
..........................................................................................................................................................................................................................................TAGTGCAGCACTAAGTGG.......................................................................................................189.000.00-5.003.00-1.00-
............................................................................................................................................................................................................................................GTGCAGCACTAAGTGGGC.....................................................................................................187.000.00--7.00---
...........................................................................................................................................................................................................................................AGTGCAGCACTAAGTGGGG.....................................................................................................195.000.00-1.00-2.001.001.00
..........................................................................................................................................................................................................................................TAGTGCAGCACTAAGTGGGC.....................................................................................................204.000.00--4.00---
.............................................................................................................................................................................................................................................TGCAGCACTAAGTGGGT.....................................................................................................172.000.00----2.00-
...........................................................................................................................................................................GTTGGTGCTGAGGTAATC......................................................................................................................................................................181.000.00-1.00----
............................................................................................................................................................................................................................................GTGCAGCACTAAGTGGTT.....................................................................................................181.000.00----1.00-
............................................................................................................................................................................................................................................GTGCAGCACTAAGTGGG......................................................................................................171.000.00----1.00-
............................................................................................................................................................................................................................................................................................................................CTTTGAAAAAGCCGGTAACC...................2011.001.00-1.00----
..............................................................................................................................................................................................................................................GCAGCACTAAGTGGGT.....................................................................................................161.000.00----1.00-
...........................................................................................................................................................................................................................................AGTGCAGCACTAAGTGGC......................................................................................................181.000.00-1.00----
...........................................................................................................................................................................................................................................AGTGCAGCACTAAGTCACTT....................................................................................................201.000.00--1.00---
...........................................................................................................................................................................GTTGGTGCTGAGGTAATCC.....................................................................................................................................................................191.000.00-1.00----
........................................................................................................................................................................................................................................................................................................................TGTTCTTTGAAAAAGCCGGTA......................2111.001.00--1.00---
...........................................................................................................................................................................................................................................AGTGCAGCACTAAGTGGAT.....................................................................................................191.000.001.00-----
..........................................................................................................................................................................................................................................TAGTGCAGCACTAAGTAGGT.....................................................................................................201.000.00-----1.00
......................CGTTCTGCTGGGCGCCACATT........................................................................................................................................................................................................................................................................................................................2111.001.00-----1.00
............GCATGAAGGCCGTTCTGCTGGGC................................................................................................................................................................................................................................................................................................................................2311.001.00--1.00---
.............................................................................................................................................................................................................................................................................................................................TTTGAAAAAGCCGGCGGC....................181.000.00--1.00---
...........................................................................................................................................................................................................................................AGTGCAGCACTAAGTGGTG.....................................................................................................191.000.00-----1.00
...........................................................................................................................................................................................................................................AGTGCAGCACTAAGTAGGT.....................................................................................................191.000.00-----1.00
..........................................................................................................................................................................................................................................TAGTGCAGCACTAAGTGGGA.....................................................................................................201.000.001.00-----
..........................................................................................................................................................................................................................................TAGTGCAGCACTAAGTGGGG.....................................................................................................201.000.001.00-----
..........................................................................................................................................................................................................................................TAGTGCAGCACTAAGTTG.......................................................................................................181.000.00-----1.00
...........................................................................................................................................................................................................................................AGTGCAGCACTAAGTCGGT.....................................................................................................191.000.001.00-----
.......................GTTCTGCTGGGCGCCACATTCCTC....................................................................................................................................................................................................................................................................................................................2411.001.00-1.00----
..........................................................................................................................................................................................................................................TAGTGCAGCACTAAGTCGGTG....................................................................................................211.000.00---1.00--

Antisense strand
ACTTGGATGTGCGCATGAAGGCCGTTCTGCTGGGCGCCACATTCCTCATAGTAAGTGTGCTCTTTTCAGCTAAGATTTATTGTAGTTATTCATCCTTGGCCTCTGCCAATCAGTTATATAGTGTTAATTTTTATCGGTTCAAGCTGTTAACGCGTCTGCAGCGCAGATTTCGTTGGTGCTGAGGTAATGTTGACCCTCAGGCCCATGAAAACCTTCAGCTTAGTTTGAGTAGGCTAGTGCAGCACTAAGTCCTTCAATCGTATATGTTACCCACACTAAATGTATGCTTTCTATTTGCCCCACAGGATGCCATGTTCTTTGAAAAAGCCGGTAACCGAGAGACCGATGGGCCCGG


SizePerfect hitTotal NormPerfect NormV120: IP:total RNA male bodyM043: IP:total RNA female bodyM056: IP:total RNA embryoV046: IP:total RNA embryoV058: IP:total RNA headV052: IP:total RNA head
....................................................................................................................................................................................................................................................................................................................tcTTTTCAAAGAACATGCT............................ 191.000.00--1.00---