Return to list

View alignment of MAF (12-files) vs LASTZ top hits (20-flies)

View all possible LASTZ hits (20-flies)

dme-mir-4972

chr2L:3636966-3637073 -

Known_mirbase

[View on miRBase] [View on UCSC Genome Browser {Cornell Mirror}]

intron


Legend:

   mature strand at position 3636992-3637013
   star strand at position 3637030-3637049
   mutations
   read mismatches

20-way Fast Statistical Aligner (FSA) re-alignment

Visually pleasing best hits from LASTZ and MAF


Species Coordinate Source Confidence Alignment
dm3 chr2L:3636951-3637088 - 1 CACTTGCATGGCATAAATCAAAAGCGCCGTAGGCCT-CCA------CCTCG---------------------------GCTTTACAGATATATATA----------------TATAT-ATCGTGTATAT-----------------------ATCTGTG-------------------------------CGATCGGGATTGA-------GACTGAGG-TTGGTCC---------GAG-----------------------------------T-ACTTTTGTGGCCA--TTTACACC
droSim1 chr2L:3596396-3596533 - LASTZ 4 CACTTGCATGGCATAAATCAAAAGCGCCGTAGGCCT-CCA------ACTCG---------------------------GCTTTATATATATGTATA----------------TATAT-CGTGTATATAT-----------------------ATCTGAG-------------------------------AGATCGGGATTGA-------GACTGAGG-TTGGTCC---------GAG-----------------------------------T-ACTTTTGTGGCCA--TTTACACC
droSec1 super_5:1737908-1738045 - LASTZ 4 CACTTGCATGGCATAAATCAAAAGCGCCGTAGGCCT-CCA------CCTCG---------------------------GCTTTATATATATGTATA----------------TATAT-CGTGTATATAT-----------------------ATCTGAG-------------------------------AGATCGGGATTGA-------GACTGAGG-TTGGTCC---------GAG-----------------------------------T-ACTTTTGTGGCCA--TTTACACC
droYak2 chr2L:3630931-3631061 - LASTZ 5 CACTTGCATGGCATAAATCAAAAGCGCCGTAGGCCT-CCA------ACTCG---------------------------ACTATATATGTATATA----------------TATATAT--------ATAT-----------------------ATCTGTG-------------------------------AGATCGGGATTGA-------GACTGAGG-TTGGTCT---------CAG-----------------------------------T-ACTTTTGTGGCCA--TTTACACC
droEre2 scaffold_4929:3675838-3675960 - LASTZ 5 CACTTGCATGGCATAAATCAAAAGCGCCGTAGGCCT-CCA------CCTCA---------------------------GCTATATATATATGT--------------------------------GTGT-----------------------ATCTGTG-------------------------------GGATCGGGATTGA-------GACTGAGG-TTGGTCT---------TAG-----------------------------------T-ACTTTTGTGGCCA--TTTGCACC
droEug1 scf7180000409554:2446749-2446886 + LASTZ 5 CACTTGCATGGCATAAATCAAAAGCGCCGTGGGCCT-CCA------CCTAG---------------------------GCTGTATATGTGTGTGCC----AA--------TATATATATGC-----T--------------------AG---ATCTGTA-------------------------------AGATCGGGATTGA-------GACTGAGC-TTGGTCT---------TGG-----------------------------------T-GCTTTTGTGGCCA--TTTACACC
droBia1 scf7180000302408:1936903-1937038 - LASTZ 5 CACTTGCATGGCATAAATCAAAAGCGCCGTAGGCCT-CCA------ACTCG---------------------------GCTCCATACATATATACA----G------------------------ATAT-----------------------ATCTATG-------------------------------GGATCGGGATTGA-------AACCGAGG-CTGGTCAGCATTACTGCAG-----------------------------------T-ACTTTTGTGGCCA--TTTACACC
droTak1 scf7180000415399:625592-625728 - LASTZ 5 CACTTGCATGGCATAAATCAAAAGCGCCGTAGGCCT-CCA------ACTCT---------------------------GCTATATATATACA------------------TATATATGCGT-----T--------------------AA---ATCTATG-------------------------------GGATCGGGATTGA-------GACTGAGG-TTGGTCAGTACT----CCG-----------------------------------T-ACTTTTGTGGCCA--TTTACACC
droEle1 scf7180000490728:350554-350688 - LASTZ 5 CACTTGCATGGCATAAATCAAAAGCGCCGCAGGCCT-CCA------CTACG---------------------------ATATACCACATATATA----------------TATATATTCATG-------------------------AA---GTCTATG-------------------------------GGATCGGGATTGA-------GACTGAGGCTTGGTCT---------CAG-----------------------------------T-ACTTTTGTGGCCA--TTTACACC
droRho1 scf7180000779523:343635-343767 - LASTZ 5 CACTTGCATGGCATAAATCAAAAGCGCCGTAGGCCT-CCA------CCACG--------------------------------ATATATATGTATA----GA--------TATATGTTCGTG-------------------------AA---ATCTATG-------------------------------GGATCGGGATTGA-------GTCTGGGG-TTGGTCA---------CAG-----------------------------------T-ACTTTTGTGGCCA--TTTACACC
droFic1 scf7180000453924:1625288-1625423 - LASTZ 5 CACTTGCATGGCATAAATCAAAAGCGCCGTAGGCCT-CCA------GCTCG----------------------------CTATATAC--------A----GA--------TATATATGCGTG-------------------------AA---GTCTATG-------------------------------GGATCGGGACTGAGAACTGGGACCGAGG-TTGGTCG---------CAG-----------------------------------T-ACTTTTGTGGCCA--TTTGCACC
droKik1 scf7180000302270:976219-976364 + LASTZ 5 CACTTGCATGGCATAAATCAAAAGCGCCGTAGGCCT-CCA------CCGCCGACA--CCGCCAGATATTAT----------GTATATATATATATATATATA--------TAT------------ATATACTTGACAG---------AA---ATCTATG-------------------------------GGATCGGGATCGA-------AACTGAGG-TTGG------------------------------------------------------------GTCCA-TTTTACAC-
droAna3 scaffold_12916:5691742-5691836 - LASTZ 0 CACTTGCAAGGCATAAATCAAAAGCGCCGTAGGCCT-CCG------CCACT---------------------------------------------------------------------------------------------------------------------------------------------ATGAGTCTGGA-------GTCTGGTG-ATGGTGG---------AGT-----------------------------------G-CCTTTTGTGGCCA--TTGGCACC
droBip1 scf7180000396568:1147600-1147682 + LASTZ 0 CACTTGCATGGCATAAATCAAAAGCGCCATAGGCCT-CCA------C----------------------------------------------------------------------------------------------------------------------------------------------------AGACTACA-------GGCCAGTG-TTGGTGT--------------------------------------------------CATTTGTGGCCA--TTTGCACC
dp4 chr4_group3:5095808-5095886 + LASTZ 0 CACTTGCGTGGCATAAATCACAAGCGCCGCAGGCCT-GAGACTTTG------GAGTT--------------TTTTGTGGCACAGTGTGTGTGTG------------------------------------------------------------------------------------------------------------------------------------------------------------------------------------------------------TGTGTG
droPer1 super_1:6587322-6587402 + LASTZ 0 CACTTGCGTGGCATAAATCACAAGCGCCGCAGGCCT-GAGACTTTG------GAGTT--------------TTTTGTGGCACAGTGTGTGTATG----------------T------------------------------------------------------------------------------------------------------------------------------------------------------------------------------------GTGTGTG
droWil1 scaffold_180708:9512363-9512488 + LASTZ 0 CACTTGCATGGCATAAATCAAAAGCGCCGTAGGCCTTCCA------CCTCT------------------------------ATATA-----GTATA------ATGTGTTC--------------CACATACTCGAC---------------------------------------------------------TTGGGA------GTTGAATTCGAAG-TTG-TCC---------ATG-----------------------------------T--CTTTTGTGGCCAATTTTACACC
droVir3 scaffold_12963:15108661-15108745 + LASTZ 0 CACTCGCGTGGCATAAATCAAATGCGTTGCAGGCCG-CCG------GCGCT--------------------CCACG-------TTG------------------------------------------CACTCGAC----------------------------------------------------------------------------------------TC---------CTC-----------------------------------T-A--CTTGCGGCTA--GCAGCTCC
droMoj3 scaffold_6500:18077427-18077576 + LASTZ 0 CACTTGTGTGGCATAAATCAAATGCGCAGCAGGCCG-CCA------GCTGA--CG--C-----------------------------------TGA------CCGTGTTG------------------CACTCGAGTCGAG------------------------T-----------------------------------------------TGAGT-GGAGTCAACTCG----CCGCAGCTTTTCATTCGCATATACCCAGCCAAGCCAAGTGGTCTTTGGGGCCA--TTTACACG
droGri2 scaffold_15126:4287105-4287265 - LASTZ 0 CACTTGCATGGCATAAATCAAATGCGCCGCGGGCCT-TTG------CTACG---------------------------------TGC---------------------CA--------------CATGCACTCGACTCTCGCCTCTCAACACGACTGACCGAACATTGGCTGGACAAGCCAAGCTGCAGCAGATCGGGGC-----ATTCC-----------ACTCC---------AAG-----------------------------------TGGTCTTTGAGGCCA--TTTGCACG

Legend

0- The ortholog is absent. A better synthenic sequence candidate could not be found.
1- Reads w/ good pileup on mature and star strand & folds into hairpin structure.
2- Reads w/ good pileup on mature and star strand BUT does not fold into hairpin structure.
3- Sporadic reads & folds into a hairpin structure.
4- No reads but folds into a hairpin structure.
5- Ortholog is confident but miRNA appears absent (no reads and does not fold into a hairpin)

Re-alignment after removal of non-confident orthologs

Species Alignment
dm3 CACTTGCATGGCATAAATCAAAAGCGCCGTAGGCCTCCACCTCGGC---------------TT-TACAGATATATA--------TATATATATCGTG--T----ATA-TATCTGTGCGATCGGGATTGAG-------ACTGAGGTT-GGTCC---------GAGTACTTTTGTGGCCATT-TACACC
droSim1 CACTTGCATGGCATAAATCAAAAGCGCCGTAGGCCTCCAACTCGGC---------------TT-TATATATATGTA--------TATA--TATCGTGTAT----ATA-TATCTGAGAGATCGGGATTGAG-------ACTGAGGTT-GGTCC---------GAGTACTTTTGTGGCCATT-TACACC
droSec1 CACTTGCATGGCATAAATCAAAAGCGCCGTAGGCCTCCACCTCGGC---------------TT-TATATATATGTA--------TATA--TATCGTGTAT----ATA-TATCTGAGAGATCGGGATTGAG-------ACTGAGGTT-GGTCC---------GAGTACTTTTGTGGCCATT-TACACC
droYak2 CACTTGCATGGCATAAATCAAAAGCGCCGTAGGCCTCCAACTCGAC---------------TA-TATATGTATATA--------TATATAT-------------ATA-TATCTGTGAGATCGGGATTGAG-------ACTGAGGTT-GGTCT---------CAGTACTTTTGTGGCCATT-TACACC
droEre2 CACTTGCATGGCATAAATCAAAAGCGCCGTAGGCCTCCACCTCAGC---------------TA-TATATATATGTG-----------------------------TG-TATCTGTGGGATCGGGATTGAG-------ACTGAGGTT-GGTCT---------TAGTACTTTTGTGGCCATT-TGCACC
droEug1 CACTTGCATGGCATAAATCAAAAGCGCCGTGGGCCTCCACCTAGGC---------------TG-TATATGTGTGTG----CCAATATATAT-ATGC---------T-AGATCTGTAAGATCGGGATTGAG-------ACTGAGCTT-GGTCT---------TGGTGCTTTTGTGGCCATT-TACACC
droBia1 CACTTGCATGGCATAAATCAAAAGCGCCGTAGGCCTCCAACTCGGC---------------TC-CATACATATATA----CAGA---------------------TA-TATCTATGGGATCGGGATTGAA-------ACCGAGGCT-GGTCAGCATTACTGCAGTACTTTTGTGGCCATT-TACACC
droTak1 CACTTGCATGGCATAAATCAAAAGCGCCGTAGGCCTCCAACTCTGC---------------TA-TATATATACA----------TATATAT-GCGT---------T-AAATCTATGGGATCGGGATTGAG-------ACTGAGGTT-GGTCAGTACT----CCGTACTTTTGTGGCCATT-TACACC
droEle1 CACTTGCATGGCATAAATCAAAAGCGCCGCAGGCCTCCACTACGA----------------TATACCACATATATA--------TATATAT-TCATG----------AAGTCTATGGGATCGGGATTGAG-------ACTGAGGCTTGGTCT---------CAGTACTTTTGTGGCCATT-TACACC
droRho1 CACTTGCATGGCATAAATCAAAAGCGCCGTAGGCCTCCACCACGA----------------TA-----TATATGTA----TAGATATATGT-TCGTG----------AAATCTATGGGATCGGGATTGAG-------TCTGGGGTT-GGTCA---------CAGTACTTTTGTGGCCATT-TACACC
droFic1 CACTTGCATGGCATAAATCAAAAGCGCCGTAGGCCTCCAGCTCG-C---------------TA-TATA------------CAGATATATAT-GCGTG----------AAGTCTATGGGATCGGGACTGAGAACTGGGACCGAGGTT-GGTCG---------CAGTACTTTTGTGGCCATT-TGCACC
droKik1 CACTTGCATGGCATAAATCAAAAGCGCCGTAGGCCTCCACCGCCGACACCGCCAGATATTATG-TATATATATATATATATATATATATAT-ACTTG---ACAG---AAATCTATGGGATCGGGATCGAA-------ACTGAGGTT-GG------------------------GTCCATTTTACAC-

20-way Secondary Structure

dm3 droSim1 droSec1 droYak2 droEre2 droEug1 droBia1 droTak1 droEle1 droRho1 droFic1 droKik1 droAna3 droBip1 dp4 droPer1 droWil1 droVir3 droMoj3 droGri2
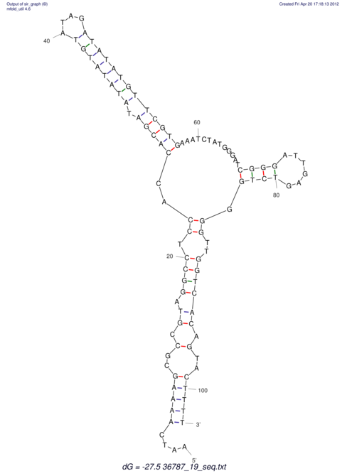
RNAfold Image
UNAFold Image

Small RNA-seq read pileup

Species Alignment
droSim1
CACTTGCATGGCATAAATCAAAAGCGCCGTAGGCCT-CCA------ACTCG---------------------------GCTTTATATATATGTATA----------------TATAT-CGTGTATATAT-----------------------ATCTGAG-------------------------------AGATCGGGATTGA-------GACTGAGG-TTGGTCC---------GAG-----------------------------------T-ACTTTTGTGGCCA--TTTACACCSizeHit CountTotal NormV044
Embryo
M023
Head
M024
Male body
M025
Embryo
...................................................................................................................................................................................................GGGACTGA-------GGCTGAGG-TTG............................................................................1912.001.000.000.001.00
droSec1
CACTTGCATGGCATAAATCAAAAGCGCCGTAGGCCT-CCA------CCTCG---------------------------GCTTTATATATATGTATA----------------TATAT-CGTGTATATAT-----------------------ATCTGAG-------------------------------AGATCGGGATTGA-------GACTGAGG-TTGGTCC---------GAG-----------------------------------T-ACTTTTGTGGCCA--TTTACACCSizeHit CountTotal NormV113
Male body
V114
Embryo
V115
Head
.............................................................................................ATA----------------TAGAT-CGTGTGTATA..........................................................................................................................................................................1811.000.001.000.00
............................................................................................................................................................GAG-------------------------------AGATCGGGAGCGA-------GA......................................................................................1811.000.001.000.00
droYak2
CACTTGCATGGCATAAATCAAAAGCGCCGTAGGCCT-CCA------ACTCG---------------------------ACTATATATGTATATA----------------TATATAT--------ATAT-----------------------ATCTGTG-------------------------------AGATCGGGATTGA-------GACTGAGG-TTGGTCT---------CAG-----------------------------------T-ACTTTTGTGGCCA--TTTACACCSizeHit CountTotal NormV046
Embryo
V052
Head
V120
Male body
V058
Head
M026
Head
....................................................................................TATGGAAATA----------------TATATAT--------ATAT-----------------------..................................................................................................................................................21130.080.000.000.080.000.00
........................................................................................................................................................ATCTGTG-------------------------------AGATCGGGATTGA-------GACT....................................................................................2411.000.000.000.000.001.00
.........................................................................................................................................................................................................................................................................................................T1830.330.000.000.000.330.00
.............................................................................................A----------------TATxCAT--------ATAT-----------------------ATCTGTG-------------------------------GGA.........................................................................................................2111.000.000.001.000.000.00
droEre2
CACTTGCATGGCATAAATCAAAAGCGCCGTAGGCCT-CCA------CCTCA---------------------------GCTATATATATATGT--------------------------------GTGT-----------------------ATCTGTG-------------------------------GGATCGGGATTGA-------GACTGAGG-TTGGTCT---------TAG-----------------------------------T-ACTTTTGTGGCCA--TTTGCACCSizeHit CountTotal NormV040
Embryo
V060
Head
V047
Embryo
V108
Head
................................................................................TATATATATATGT--------------------------------GAGT-----------------------GT................................................................................................................................................1930.670.000.000.000.67
.......................................................................................ATATGT--------------------------------GTGT-----------------------ATATGTG-------------------------------T...........................................................................................................1880.130.000.000.000.13
.............................................................................................................................GTxT-----------------------TGCTGTG-------------------------------GGATCGGGA...................................................................................................1911.000.000.000.001.00
........................................................................................TATGT--------------------------------GxGG-----------------------ATCTGTG-------------------------------GGA.........................................................................................................1811.001.000.000.000.00
................................................................................TATATATATATGT--------------------------------GGGT-----------------------GT................................................................................................................................................1920.500.000.000.000.50
droEug1
CACTTGCATGGCATAAATCAAAAGCGCCGTGGGCCT-CCA------CCTAG---------------------------GCTGTATATGTGTGTGCC----AA--------TATATATATGC-----T--------------------AG---ATCTGTA-------------------------------AGATCGGGATTGA-------GACTGAGC-TTGGTCT---------TGG-----------------------------------T-GCTTTTGTGGCCA--TTTACACCSizeHit CountTotal Norm
droBia1
CACTTGCATGGCATAAATCAAAAGCGCCGTAGGCCT-CCA------ACTCG---------------------------GCTCCATACATATATACA----G------------------------ATAT-----------------------ATCTATG-------------------------------GGATCGGGATTGA-------AACCGAGG-CTGGTCAGCATTACTGCAG-----------------------------------T-ACTTTTGTGGCCA--TTTACACCSizeHit CountTotal Norm
droTak1
CACTTGCATGGCATAAATCAAAAGCGCCGTAGGCCT-CCA------ACTCT---------------------------GCTATATATATACA------------------TATATATGCGT-----T--------------------AA---ATCTATG-------------------------------GGATCGGGATTGA-------GACTGAGG-TTGGTCAGTACT----CCG-----------------------------------T-ACTTTTGTGGCCA--TTTACACCSizeHit CountTotal Norm
droEle1
CACTTGCATGGCATAAATCAAAAGCGCCGCAGGCCT-CCA------CTACG---------------------------ATATACCACATATATA----------------TATATATTCATG-------------------------AA---GTCTATG-------------------------------GGATCGGGATTGA-------GACTGAGGCTTGGTCT---------CAG-----------------------------------T-ACTTTTGTGGCCA--TTTACACCSizeHit CountTotal Norm
droRho1
CACTTGCATGGCATAAATCAAAAGCGCCGTAGGCCT-CCA------CCACG--------------------------------ATATATATGTATA----GA--------TATATGTTCGTG-------------------------AA---ATCTATG-------------------------------GGATCGGGATTGA-------GTCTGGGG-TTGGTCA---------CAG-----------------------------------T-ACTTTTGTGGCCA--TTTACACCSizeHit CountTotal Norm
droFic1
CACTTGCATGGCATAAATCAAAAGCGCCGTAGGCCT-CCA------GCTCG----------------------------CTATATAC--------A----GA--------TATATATGCGTG-------------------------AA---GTCTATG-------------------------------GGATCGGGACTGAGAACTGGGACCGAGG-TTGGTCG---------CAG-----------------------------------T-ACTTTTGTGGCCA--TTTGCACCSizeHit CountTotal Norm
droKik1
CACTTGCATGGCATAAATCAAAAGCGCCGTAGGCCT-CCA------CCGCCGACA--CCGCCAGATATTAT----------GTATATATATATATATATATA--------TAT------------ATATACTTGACAG---------AA---ATCTATG-------------------------------GGATCGGGATCGA-------AACTGAGG-TTGG------------------------------------------------------------GTCCA-TTTTACAC-SizeHit CountTotal Norm
droAna3
CACTTGCAAGGCATAAATCAAAAGCGCCGTAGGCCT-CCG------CCACT---------------------------------------------------------------------------------------------------------------------------------------------ATGAGTCTGGA-------GTCTGGTG-ATGGTGG---------AGT-----------------------------------G-CCTTTTGTGGCCA--TTGGCACCSizeHit CountTotal NormV105
Male body
V106
Head
V055
Unknown
V039
Embryo
.....................................................................................................................................................................................................GCTGGA-------CTCTGGTG-ATGGT..........................................................................1913.001.002.000.000.00
.............................................................................................................................................................................................................................GGTGG---------AGA-----------------------------------G-CCTTTTTTG..............1812.000.002.000.000.00
.........................................................................................................................................................................................................GA-------GTCTGGTG-ATGGGGC---------...............................................................1711.000.000.001.000.00
.......................................................................................................................................................................................................................GAG-CTGGTGG---------AGT-----------------------------------G-CCT....................1711.000.000.001.000.00
....................................................................................................................................................................................................................CTGGTx-ATGGTGG---------ACT-----------------------------------G-C......................1711.000.000.001.000.00
droBip1
CACTTGCATGGCATAAATCAAAAGCGCCATAGGCCT-CCA------C----------------------------------------------------------------------------------------------------------------------------------------------------AGACTACA-------GGCCAGTG-TTGGTGT--------------------------------------------------CATTTGTGGCCA--TTTGCACCSizeHit CountTotal Norm
dp4
CACTTGCGTGGCATAAATCACAAGCGCCGCAGGCCT-GAGACTTTG------GAGTT--------------TTTTGTGGCACAGTGTGTGTGTG------------------------------------------------------------------------------------------------------------------------------------------------------------------------------------------------------TGTGTGSizeHit CountTotal NormV112
Male body
V043
Embryo
V051
Head
M022
Male body
...............................................................................CACAGTGTGCGTGTA------------------------------------------------------------------------------------------------------------------------------------------------------------------------------------------------------TGTG..191133.00123.000.0010.000.00
................................................................................ACAGTGTGCGTGTA------------------------------------------------------------------------------------------------------------------------------------------------------------------------------------------------------TGTG..18125.0017.000.007.001.00
................................................................................ACAGTGTGCGTGTA------------------------------------------------------------------------------------------------------------------------------------------------------------------------------------------------------TGTGT.1913.003.000.000.000.00
.................................................................................TAATGTGTGTGTG------------------------------------------------------------------------------------------------------------------------------------------------------------------------------------------------------TGTGTG19110.180.180.000.000.00
..............................................................................GCACAGTGTGCGTGTA------------------------------------------------------------------------------------------------------------------------------------------------------------------------------------------------------TGTG..2012.001.000.001.000.00
...............................................................................CACAGTGTGCGTGTA------------------------------------------------------------------------------------------------------------------------------------------------------------------------------------------------------TGT...1811.001.000.000.000.00
..................................................................................AGTGTGTGTGTG------------------------------------------------------------------------------------------------------------------------------------------------------------------------------------------------------TGTGCT18100.100.000.000.100.00
.................................................................................CTGTGTGTGTGTG------------------------------------------------------------------------------------------------------------------------------------------------------------------------------------------------------TGTTTG19500.020.000.000.020.00
................................................................................ACAGTGTGCGTGTG------------------------------------------------------------------------------------------------------------------------------------------------------------------------------------------------------TGTGCG2011.001.000.000.000.00
....................................................................................TGTGTGTGTG------------------------------------------------------------------------------------------------------------------------------------------------------------------------------------------------------TGTGTG19380.030.000.000.030.00
..............................................................................TCACAGTGTGCGTGTG------------------------------------------------------------------------------------------------------------------------------------------------------------------------------------------------------TGTG..2011.001.000.000.000.00
..................................................................................AGTGTGTGxGTG------------------------------------------------------------------------------------------------------------------------------------------------------------------------------------------------------TGTGGG1820.500.500.000.000.00
............................................................................TGTCAxAGTGTGTGTGTG------------------------------------------------------------------------------------------------------------------------------------------------------------------------------------------------------TG....1950.200.000.200.000.00
..................................................................................TGTGTGTGGGTG------------------------------------------------------------------------------------------------------------------------------------------------------------------------------------------------------TGTGTG19460.020.020.000.000.00
.....................................................................................GTGTGTGTG------------------------------------------------------------------------------------------------------------------------------------------------------------------------------------------------------TGTGTG18500.020.000.000.020.00
...............................................................................CTAAGTGTGTGTGTG------------------------------------------------------------------------------------------------------------------------------------------------------------------------------------------------------TGT...18120.080.000.000.080.00
...................................................................................GTGGGTGTGTG------------------------------------------------------------------------------------------------------------------------------------------------------------------------------------------------------GGTGTG1840.250.250.000.000.00
.................................................................................TAGTGTGTGTGTG------------------------------------------------------------------------------------------------------------------------------------------------------------------------------------------------------TGTGT.1850.200.000.000.200.00
...............................................................................TACCGTGTGTGTGTG------------------------------------------------------------------------------------------------------------------------------------------------------------------------------------------------------TGTG..1940.250.250.000.000.00
..................................................................................AGTGTGTGTGTT------------------------------------------------------------------------------------------------------------------------------------------------------------------------------------------------------TGTGTG19440.020.020.000.000.00
.................................................................................TAATGTGTGTGTG------------------------------------------------------------------------------------------------------------------------------------------------------------------------------------------------------TGTGT.18120.080.080.000.000.00
....................................................................................TGAGTGTTTG------------------------------------------------------------------------------------------------------------------------------------------------------------------------------------------------------TGTGTG1820.500.000.000.500.00
...................................................................................GTGTGTGTGTA------------------------------------------------------------------------------------------------------------------------------------------------------------------------------------------------------TGTGTG19460.020.020.000.000.00
.................................................................................CAGTGTGCGTGTA------------------------------------------------------------------------------------------------------------------------------------------------------------------------------------------------------TGTGTG1911.001.000.000.000.00
...............................................................................CACAGTGTGCGTGTA------------------------------------------------------------------------------------------------------------------------------------------------------------------------------------------------------TGTGT.2011.001.000.000.000.00
...............................................................................ATCAGTGTGTGTGTG------------------------------------------------------------------------------------------------------------------------------------------------------------------------------------------------------TGTG..19110.090.000.090.000.00
....................................................................................TGTGTGTGTG------------------------------------------------------------------------------------------------------------------------------------------------------------------------------------------------------TGTGTG19140.070.000.070.000.00
..................................................................................AGTGTGCGTGTG------------------------------------------------------------------------------------------------------------------------------------------------------------------------------------------------------TGTGGG1870.140.000.000.140.00
................................................................................ACAGTGTGTGTGTA------------------------------------------------------------------------------------------------------------------------------------------------------------------------------------------------------TGTGCG2011.000.000.001.000.00
.....................................................................................ATGTGTGTG------------------------------------------------------------------------------------------------------------------------------------------------------------------------------------------------------TGTGTG1880.130.130.000.000.00
.....................................................................................GTGTGTGTG------------------------------------------------------------------------------------------------------------------------------------------------------------------------------------------------------TGTCTG1940.250.250.000.000.00
....................................................................................TGTGTATGTG------------------------------------------------------------------------------------------------------------------------------------------------------------------------------------------------------TGTGTG20580.020.020.000.000.00
..............................................................................TCACAGTGTGTGTGTA------------------------------------------------------------------------------------------------------------------------------------------------------------------------------------------------------TGTG..2011.001.000.000.000.00
....................................................................................TGTGTGTGTG------------------------------------------------------------------------------------------------------------------------------------------------------------------------------------------------------TGTGTG20340.030.030.000.000.00
droPer1
CACTTGCGTGGCATAAATCACAAGCGCCGCAGGCCT-GAGACTTTG------GAGTT--------------TTTTGTGGCACAGTGTGTGTATG----------------T------------------------------------------------------------------------------------------------------------------------------------------------------------------------------------GTGTGTGSizeHit CountTotal NormV111
Male body
V042
Embryo
V050
Head
V057
Head
M021
Embryo
...................................................................................GTATGTGTATG----------------T------------------------------------------------------------------------------------------------------------------------------------------------------------------------------------GTGTGT.18620.050.020.000.000.000.03
...................................................................................GTGTGTGTATG----------------T------------------------------------------------------------------------------------------------------------------------------------------------------------------------------------GTGTTTT2031.001.000.000.000.000.00
...................................................................................GTGTGTGTATG----------------T------------------------------------------------------------------------------------------------------------------------------------------------------------------------------------GTGTTTT1960.500.330.000.000.170.00
...................................................................................GTGTGTAGATG----------------T------------------------------------------------------------------------------------------------------------------------------------------------------------------------------------GTGTGT.1840.500.500.000.000.000.00
........................................................................GTTGTGGCACAGTGTATGT...............................................................................................................................................................................................................1912.002.000.000.000.000.00
............................................................................CGGCGCAGTGTGTGTATG----------------T------------------------------------------------------------------------------------------------------------------------------------------------------------------------------------G......2012.002.000.000.000.000.00
...............................................................................CGCAGTGTGTGTGTG----------------T------------------------------------------------------------------------------------------------------------------------------------------------------------------------------------GT.....1860.170.170.000.000.000.00
..............................AGGACT-GAxACTTTG------GAGT..................................................................................................................................................................................................................................................1811.000.000.000.000.001.00
..................................................................................AGTGTGTGTTTG----------------G------------------------------------------------------------------------------------------------------------------------------------------------------------------------------------GTGTGTG2040.250.250.000.000.000.00
...................................................................................GTACGTGTATG----------------T------------------------------------------------------------------------------------------------------------------------------------------------------------------------------------GTGTGT.1880.130.000.130.000.000.00
...................................................................................GTGTGTGTATG----------------T------------------------------------------------------------------------------------------------------------------------------------------------------------------------------------xTGTGAG1840.250.250.000.000.000.00
................................................................................ACAGTGTGTGTTTG----------------T------------------------------------------------------------------------------------------------------------------------------------------------------------------------------------GTGT...1920.500.500.000.000.000.00
...................................................................................GTGTGTGTTTG----------------G------------------------------------------------------------------------------------------------------------------------------------------------------------------------------------GTGTGT.18470.020.020.000.000.000.00
...................................................................................GTGCGTGTATG----------------T------------------------------------------------------------------------------------------------------------------------------------------------------------------------------------GTGTGTG19460.020.020.000.000.000.00
...................................................................................GTATGTGTATG----------------T------------------------------------------------------------------------------------------------------------------------------------------------------------------------------------GTGTTT.1840.250.000.000.000.250.00
...................................................................................GTATGTGTATG----------------T------------------------------------------------------------------------------------------------------------------------------------------------------------------------------------GTATGTG1980.130.130.000.000.000.00
..................................................................................CGCGTGTGTATG----------------T------------------------------------------------------------------------------------------------------------------------------------------------------------------------------------GTGTGT.1990.110.000.000.110.000.00
....................................................................................TGTGTGTTTG----------------T------------------------------------------------------------------------------------------------------------------------------------------------------------------------------------GTGTGTG2160.170.170.000.000.000.00
......................................................................................TGTGTATG----------------T------------------------------------------------------------------------------------------------------------------------------------------------------------------------------------GTGTGTG1930.330.330.000.000.000.00
.................................................................................CTGTGTGTGTATG----------------T------------------------------------------------------------------------------------------------------------------------------------------------------------------------------------GTGTTT.2050.200.200.000.000.000.00
...................................................................................GTGTGTGTATG----------------T------------------------------------------------------------------------------------------------------------------------------------------------------------------------------------GTGTGTG20420.020.000.020.000.000.00
.....................................................................................GTGTGTATG----------------T------------------------------------------------------------------------------------------------------------------------------------------------------------------------------------GTGTGTG19490.020.020.000.000.000.00
......................................................................................TGTGTTTG----------------T------------------------------------------------------------------------------------------------------------------------------------------------------------------------------------GTGTGTG1970.140.140.000.000.000.00
..................................................................................AGTGTGTGTGTG----------------T------------------------------------------------------------------------------------------------------------------------------------------------------------------------------------GTGCGT.19510.020.000.020.000.000.00
................................................................................ACTGTGTGTGCATG----------------T------------------------------------------------------------------------------------------------------------------------------------------------------------------------------------GTGTG..2011.000.001.000.000.000.00
..................................................................................TGTGTGTGTGTG----------------T------------------------------------------------------------------------------------------------------------------------------------------------------------------------------------GTGTGTG22470.020.000.000.020.000.00
..................................................................................TGTGTGTGTATG----------------T------------------------------------------------------------------------------------------------------------------------------------------------------------------------------------GTATGT.19450.020.000.020.000.000.00
..............................AGGACT-GAxACTTTG------GAGTT--------------...................................................................................................................................................................................................................................1911.000.001.000.000.000.00
..................................................................................TGTGTGTGTACG----------------T------------------------------------------------------------------------------------------------------------------------------------------------------------------------------------GTGTGT.19400.030.000.000.030.000.00
....................................................................................GATGTGTATG----------------T------------------------------------------------------------------------------------------------------------------------------------------------------------------------------------GTGTGTG18110.090.090.000.000.000.00
..................................................................................AGTGTGTGTGTG----------------T------------------------------------------------------------------------------------------------------------------------------------------------------------------------------------ATGTGT.19460.020.020.000.000.000.00
...................................................................................GTGTGTGACTG----------------T------------------------------------------------------------------------------------------------------------------------------------------------------------------------------------GTGTGT.18460.020.020.000.000.000.00
.................................................................................TAGTGTGTGTATG----------------T------------------------------------------------------------------------------------------------------------------------------------------------------------------------------------GTGTC..1920.500.500.000.000.000.00
.....................................................................................GTGTGTGTG----------------T------------------------------------------------------------------------------------------------------------------------------------------------------------------------------------GTGTGTG21360.030.030.000.000.000.00
...................................................................................ATGTGTGTATG----------------T------------------------------------------------------------------------------------------------------------------------------------------------------------------------------------GTGTGTG20470.020.020.000.000.000.00
.....................................................................................GTGTGTATG----------------T------------------------------------------------------------------------------------------------------------------------------------------------------------------------------------GTGAGTG1870.140.140.000.000.000.00
droWil1
CACTTGCATGGCATAAATCAAAAGCGCCGTAGGCCTTCCA------CCTCT------------------------------ATATA-----GTATA------ATGTGTTC--------------CACATACTCGAC---------------------------------------------------------TTGGGA------GTTGAATTCGAAG-TTG-TCC---------ATG-----------------------------------T--CTTTTGTGGCCAATTTTACACCSizeHit CountTotal NormV117
Male body
V118
Embryo
V119
Head
M020
Head
...............AATCACAAGCGACGTAGGCCT......................................................................................................................................................................................................................................................................211196.008.001.000.00187.00
..............AAATCACAAGCGACGTAGGCC.......................................................................................................................................................................................................................................................................21128.006.001.002.0019.00
..............AAATCACAAGCGACGTAGGCCT......................................................................................................................................................................................................................................................................22115.001.001.001.0012.00
................ATCACAAGCGACGTAGGCCT......................................................................................................................................................................................................................................................................20111.001.000.000.0010.00
..............AAATCACAAGCGACGTAGGC........................................................................................................................................................................................................................................................................2014.004.000.000.000.00
..............AAATCACAAGCGACGTAGG.........................................................................................................................................................................................................................................................................1914.003.000.001.000.00
...............AATCACAAGCGACGTAGGCC.......................................................................................................................................................................................................................................................................2012.001.000.000.001.00
.................TCACAAGCGACGTAGGCCT......................................................................................................................................................................................................................................................................1912.000.000.000.002.00
.................TCACAAGCGACGTAGGCC.......................................................................................................................................................................................................................................................................1812.000.000.000.002.00
..............................................................................................................................................................................................................TTGAATTCGAAG-CTG-TGC---------...............................................................1812.000.000.000.002.00
................ATCACAAGCGACGTAGGCC.......................................................................................................................................................................................................................................................................1911.000.000.000.001.00
...................................................................................................................................................................................................TGGA------GTTGAATTCCAAG-TT.............................................................................1911.000.001.000.000.00
...............AATCACAAGCGACGTAGGC........................................................................................................................................................................................................................................................................1911.000.000.001.000.00
.............................................................................................................................................................................................................GTTGAATTCGAAG-TTG-TCC---------ATG-----------------------------------T--......................2311.001.000.000.000.00
droVir3
CACTCGCGTGGCATAAATCAAATGCGTTGCAGGCCG-CCG------GCGCT--------------------CCACG-------TTG------------------------------------------CACTCGAC----------------------------------------------------------------------------------------TC---------CTC-----------------------------------T-A--CTTGCGGCTA--GCAGCTCCSizeHit CountTotal NormV116
Male body
V053
Unknown
V047
Embryo
M027
Male body
M028
Head
droMoj3
CACTTGTGTGGCATAAATCAAATGCGCAGCAGGCCG-CCA------GCTGA--CG--C-----------------------------------TGA------CCGTGTTG------------------CACTCGAGTCGAG------------------------T-----------------------------------------------TGAGT-GGAGTCAACTCG----CCGCAGCTTTTCATTCGCATATACCCAGCCAAGCCAAGTGGTCTTTGGGGCCA--TTTACACGSizeHit CountTotal NormV110
Male body
V056
Unknown
V049
Head
V041
Embryo
.........................................................................................................................................CGAG------------------------T-----------------------------------------------TGAGT-TGAGTCGACT.....................................................................2011.001.000.000.000.00
droGri2
CACTTGCATGGCATAAATCAAATGCGCCGCGGGCCT-TTG------CTACG---------------------------------TGC---------------------CA--------------CATGCACTCGACTCTCGCCTCTCAACACGACTGACCGAACATTGGCTGGACAAGCCAAGCTGCAGCAGATCGGGGC-----ATTCC-----------ACTCC---------AAG-----------------------------------TGGTCTTTGAGGCCA--TTTGCACGSizeHit CountTotal NormV109
Male body

Generated: 04/20/2012 at 05:18:17 EDT