dme-mir-4957

chrX:15213986-15214070 -

Known_mirbase

[View on miRBase] [View on UCSC Genome Browser {Cornell Mirror}]

intergenic


Legend:

   mature strand at position 15214004-15214024
   star strand at position 15214034-15214054
   mutations
   read mismatches
   coordinate mismatch (possible incorrect ortholog)

12-way Fast Statistical Aligner re-alignment (From MAFs)

Species Coordinate Alignment
dm3 chrX:15213971-15214085 - CTTTTTTT----T-----------------------------------CTCTGCTCGTT-----------------------------------------------------------GTATTTTACGCACTCTGCTGGCAGCGCTGTCGGCGTCGCTGCCAGCTGCCAGCAGCGAGCGGTACACTTGCAACTATCCT-----GTGCACCCTAC--AATT
droSim1 chrX:11736931-11737042 - CTTTTTTTTTTTT-----------------------------------CTCTGCTCGTT-----------------------------------------------------------GCATTTTACGCACTCTGCTGGCAGCGACGCCGACAGCGCT-------GCCAGCAGCGAGCGGTACACTTGCAACTATCCT-----GCGCACCCTAC--AATT
droSec1 super_56:101687-101796 - CTTTTTTTTT--T-----------------------------------CTCTGCTCGTT-----------------------------------------------------------GCATTTTACGCACTCTGCTGGCAGCGACGCCGACAGCGGT-------GCCAGCAGCGAGCGGTACACTTGCAACTATCCT-----GCACACCCTAC--AATT
droYak2 chrX:9414156-9414284 - TTTTTT------T-----------------------------------CTCTGCTCGTTTTTCTCTCTTTTTCTTCTCGCCT------------------------------------GCATTTTACGCACTCTGCTAGCAGCGACGCCGACTGCGCT-------GCCAACAGCAAGCGGTACACTTGCAACTATTCT-----ATGCACCCTAC--AATT
droEre2 scaffold_4690:11807313-11807440 + TTTTTT------------------------------------------CTCCGCTCGTTTTTCTCTCCTTTTCTGCTCGCCT------------------------------------GCATTTTACGCACTCTGCTGGCAGCGACGCCGACTGCGCT-------GCAAACAGCGAGCGGTACACTTGCAACTATTCT-----GTGCACCCTAC--AATT
droAna3 scaffold_13117:1427273-1427394 - TTTTTCTT------------------------------CCCATGCAACCTGTGTCCATTGT---------------------------------------------------------ACGTTTTACGCACTCTCC--CCAGCAACACCGCCGCCGAT-------AGCGACTGCGACGAGTACGTTGGCAGCGGCACTTGACTCTTTTTGCGGC--AATT
dp4 chrXL_group1e:12152471-12152593 - CTTTGCTTTAGCTTTTTGCGTTTGCGTTTGCCCCGATTTCAATG-----------CAAT-----------------------------------------------------------GTGTTGTACGCACACGGGTT---TTTATCTCAGCTGTGGG-------ATGAACGGC--CCGAGACACTTGC--CGATGCG-----GCGACC--------CCA
droPer1 super_14:1456568-1456690 + CTTTGCTTTAGCTTTTTGCGTTTGCGTTTGCCCCGATTTCAATG-----------CAAT-----------------------------------------------------------GTGTTGTACGCACACGGGTT---TTTATCTCAGCTGTGGG-------ATGAACGGC--CCGAGACACTTGC--CGATGCG-----GCGACC--------CCA
droWil1 scaffold_181096:8883332-8883367 - CATTTTTT-CTTTTTTTGCTTTTTGG-----------------------------------------------------TGT------------------------------------GGATTTTG----------------------------------------------------------------------------------------------
droVir3 scaffold_12928:4095165-4095244 - CTCTTTA-----------------------------TTGCAATGCGAC-----T---ACGC---------------------ATGATTTAGGCGCAGGTTGGTCGACACTTGCATTGG-------------------------------------------------------------------TTGC--AAGTACT-----T------ATGC--ATTT
droMoj3 scaffold_6359:688963-689059 - CTCTTCA-----------------------------TTGCAATGCGAC-----T---ACGC---------------------ATGATTTAGGTGCAGGTCGGTCGAAACTTGCACTGG---------------------------------------------T--TGCAAGTA--CTTATGCATTT----------------TTGCATGCGAAAATTAA
droGri2 scaffold_14853:566008-566125 + CTCTTTTA----------------------------TTGCAATGAGAC-----TGCGACGC---------------------ATGATTTGGGCGCAGGTCTATCACCACTTGCACTGA------------------C--GACTGCTTTTGCTTTTGCTACTAC-TTTT---------------ACTTGC--CAGCGGA-----ACTT---ATGC--ATTT

20-way Fast Statistical Aligner re-alignment (Top LASTZ hits)

Species Coordinate Lastz Id Alignment
dm3 chrX:15213971-15214085 - NA CTTTTTT-TTCT----CTG----CTCG--------------------------TTGTATTTTACGCACTCTGCTGGCAGCGCTGTCG------GCGTCGCTGCCAGCTGCCAGCAGC------------------------------------GAGCG--------------GT--ACACTTGCAACTA---------TCCTGTGCACCCT---ACAATT
droSim1 chrX:11736931-11737042 - 3 CTTTTTT-TTTTTTCTCTG----CTCG--------------------------TTGCATTTTACGCACTCTGCTGGCAGCGACGCCG------ACAGCGCTGCCAGCA-------GC------------------------------------GAGCG--------------GT--ACACTTGCAACTA---------TCCTGCGCACCCT---ACAATT
droSec1 super_56:101687-101796 - 1 CTTTTTT-TTTT--CTCTG----CTCG--------------------------TTGCATTTTACGCACTCTGCTGGCAGCGACGCCG------ACAGCGGTGCCAGCA-------GC------------------------------------GAGCG--------------GT--ACACTTGCAACTA---------TCCTGCACACCCT---ACAATT
droYak2 chrX:9414156-9414285 - 1 TTTTTTT-------CTCTG----CTCGTTTT---TCTCTCTTTTTCTTCTCGCCTGCATTTTACGCACTCTGCTAGCAGCGACGCCG------ACTGCGCTGCCAACA-------GC------------------------------------AAGCG--------------GT--ACACTTGCAACTA---------TTCTATGCACCCT---ACAATT
droEre2 scaffold_4690:11807313-11807440 + 1 TTTTTTC-T-------CCG----CTCGTTTT---TCTCTCCTTTTCTGCTCGCCTGCATTTTACGCACTCTGCTGGCAGCGACGCCG------ACTGCGCTGCAAACA-------GC------------------------------------GAGCG--------------GT--ACACTTGCAACTA---------TTCTGTGCACCCT---ACAATT
droEug1 scf7180000409533:350907-351023 - 2 TTTTTTC-TCT-----CTG----CTAGTTTTTTTT----------------GCTTGCATTTTACGCACTCTGCTGGCAGCGACGTCG------ACTGCGCTGCCAAGT-------GC------------------------------------AAGCG--------------GT--ACACTTGCAACTA---------TTCGTTGTACTCC----GAATT
droBia1 scf7180000299226:181007-181106 + 1 CTTCCCC-TCCC----CCG----CCCG------------------CCCCGCGGCAGCGTTTTACGCACTCTGCCGGCAGCGACGTCG------ACCGC-----------------------------------------------------------G--------------GT--ACACTTGCCACAA---------TTCCTTGTACCCC---CGAGAG
droTak1 scf7180000415381:822078-822183 - 5 TTTTTTT-------CTCAG----CC---------------------------CCTGCATTTTACGCACTCCGCTGGCAGCGACGTCG------ACTGCGCTGCCGACG-------TC------------------------------------AGGC-----------GGCGGT--ACACTTGCCACTA---------TTCTTTGTACCC------CCGT
droEle1 scf7180000491023:1386855-1386967 + 1 TTTTTTT-TTTT----TTGGGG-----TTTTTTTT----------------GCCTGCATTTTACGCACTCTGCTGGCAGCGACGTCG------ACTGCGACGCCGACT-------GC------------------------------------A-GCC--------------GT--ACACTTGCAACTA---------TTCGTTGTACCC------AATT
droRho1 scf7180000777097:282566-282669 + 1 TTTTTTT-TGCT---------TTTTC--------------------------GCTGCATTTTACGCACTCTGCTGGCAGCGACGTCG------ACTGCGACGGCGACT-------GC------------------------------------AGGCG--------------GT--ACACTTGCAACTA---------TTCTGTGTACCC------AATT
droFic1 scf7180000454038:448768-448871 - 1 TTTTTTG-TTGC----T----TTT----------T----------------GCCTGCATTTTACGCACACTGCTGGCAGCGACGTCG------ACTGCGACGCCGACC-------GC------------------------------------GAGT---------------GT--ACACTTTCAACTA---------TTTCATGTACCCC---ACA---
droKik1 scf7180000302816:65604-65724 - 2 CTTTTGC-TTTG--CTATG----CCTGTGG-CTCTGC-----CCGCAATTTGTCCGTGCCGTACGCAC--TGCGGGCAGAGACGCCG------ACTGCGTAGCA------------------------------------------------------------------------CCACTTGCAACTGGGTTATTTCTT--TTGTATT-G---TCTTTT
droAna3 scaffold_13117:1427273-1427395 - 1 ATTTTTC-TTCC----C-A---TG----------CAACCTGTGTCCAT----TGTACGTTTTACGCACTCTCC--CCAGCAACACCG------CCGCCGATAGCGACT-------GC------------------------------------GACGAGTACGTTGGCAGCGG----CACTTGACTCT--------------TTTT--GCG---GCAATT
droBip1 scf7180000396425:686944-687063 + 1 GCATTCA-ACCT----GTG----TCCA--------------------T----TTTACGTTTTACGCACTCAGCC--CAGCAACAACGCCGTCGAGTGC------GACT-------GC------------------------------------GACGAGTACGCTGGCAGCGG----CACTTGACTCTT-------TTTGC--GGCAATTT---TCGACA
dp4 chrXL_group1e:12152468-12152588 - 3 CTTTAGC-TTTT-----TGCGT-----TTGCGTTTGCCCCGATTTCAATGCA-ATGTGTTGTACGCACACGGGTT---TTTATCTCA------GCTGTGGGATGAACG-------GC--------------------------------------CCG--------------AG--ACACTTGC--CGA---------TGCGGCGACCCC------AGGC
droPer1 super_14:1456573-1456693 + 1 CTTTAGC-TTTT-----TGCGT-----TTGCGTTTGCCCCGATTTCAATGCA-ATGTGTTGTACGCACACGGGTT---TTTATCTCA------GCTGTGGGATGAACG-------GC--------------------------------------CCG--------------AG--ACACTTGC--CGA---------TGCGGCGACCCC------AGGC
droWil1 Unknown NA ----------------------------------------------------------------------------------------------------------------------------------------------------------------------------------------------------------------------------
droVir3 scaffold_12928:4095173-4095244 - 5 CTCTTTA-TTGC----A----ATG----------C----------------GAC-------TACGCATG-------------------------------------AT-------TT------------------------------------A-GGCGCAGGTTGGT----CG--ACACTTGCATTGG---------TTGCAAGT----------ACTT
droMoj3 scaffold_6680:3750941-3751063 - 7 TTTGTTT-TTGT----TTT----CTTT--T----------------TGTAGCCTAGGAATTTACC---TCTTGTGGCATATCAGCTG---TTGGCTTTGGTTGCAAAC-------AC------------------------------------ACGTT-------GACT---TTTCACACACAGAATTC---------TGT--TGAAATGTTTAACACTT
droGri2 scaffold_14853:566008-566117 + 1 CTCTTTTATTGC----A----ATG----------A----------GACTGCG-ACGCAT----------------------------------------------GAT-------TTGGGCGCAGGTCTATCACCACTTGCACTGACGACTGCTTTTG--------------CT--TTTGCTACTACTT---------TTACTTGCCAGCG---GAACTT

[View All Possible Orthologs]

Original 12-way multiz alignment with reads super-imposed

Species Alignment
dm3
CTTTTTTT----T-----------------------------------CTCTGCTCGTT-----------------------------------------------------------GTATTTTACGCACTCTGCTGGCAGCGCTGTCGGCGTCGCTGCCAGCTGCCAGCAGCGAGCGGTACACTTGCAACTATCCT-----GTGCACCCTAC--AATTSizeHit CountTotal Norm
droSim1
CTTTTTTTTTTTT-----------------------------------CTCTGCTCGTT-----------------------------------------------------------GCATTTTACGCACTCTGCTGGCAGCGACGCCGACAGCGCT-------GCCAGCAGCGAGCGGTACACTTGCAACTATCCT-----GCGCACCCTAC--AATTSizeHit CountTotal NormV044
Embryo
M023
Head
M024
Male body
M025
Embryo
.........................................................................................................................TTTTACGCACTCTGCTGGCAGCG............................................................................2311.000.001.000.000.00
..........................................................................................................................................................CGCT-------GCCAGCAGCGAGCGGTAC.....................................2211.000.000.000.001.00
...........................................................................................................................................................................AGCGAGCGGTACACGGGC...............................1811.000.001.000.000.00
.................................................TCTGCGCGTT-----------------------------------------------------------GCATTTTACGCA..........................................................................................2211.001.000.000.000.00
...........................................................................................................................TTACGCACTCTGCTGGCA...............................................................................1811.000.001.000.000.00
............................................................................................................................TACGCACTCTGCTGGCAGCG............................................................................2011.000.001.000.000.00
..........................................................................................................................TTTAAGCACTCTGATGGC................................................................................1811.000.000.001.000.00
............................................................................................................................TACGCACTCTGCTGGCAGCGA...........................................................................2111.000.001.000.000.00
.................................................................................................................................................................................CGGTACACTTGCAACTATCCT-----.................2111.000.000.001.000.00
.TTTTTTTTTTTT-----------------------------------CTGTGATC....................................................................................................................................................................2011.000.000.000.001.00
...........................................................................................................................TTACGCACTCTGCTGGCAGCG............................................................................2111.000.000.001.000.00
.........................................................................................................................................GGCAGCGACGTCGACTGC.................................................................1811.000.000.000.001.00
............................................................................................................................TACGCACTCTGCTGGCAGCGACG.........................................................................2311.000.001.000.000.00
droSec1
CTTTTTTTTT--T-----------------------------------CTCTGCTCGTT-----------------------------------------------------------GCATTTTACGCACTCTGCTGGCAGCGACGCCGACAGCGGT-------GCCAGCAGCGAGCGGTACACTTGCAACTATCCT-----GCACACCCTAC--AATTSizeHit CountTotal NormV113
Male body
V114
Embryo
V115
Head
............................................................................................................................................................GT-------GCCAGCAGCxCGCGGTA......................................1814.001.002.001.00
..........................................................................................................................................GCAGCGACGCCGACAGCGGT-------G......................................................2112.000.000.002.00
..........................................................................................................................................GCAGCGACGTCGACAGCGGT-------GCCG...................................................2411.001.000.000.00
............................................................................................................................TACGCACTCTGCTGGCAGAGACGCCGACA...................................................................2911.001.000.000.00
............................................................................................................................................................GT-------GCCAGCAGCxAGCGGTA......................................1811.000.001.000.00
........................................................................................................................................TGGCAGCGACGCCGACAGCGG...............................................................2111.000.000.001.00
............................................................................................................................TACGCACTCTGCTGGCAGCGA...........................................................................2111.001.000.000.00
............................................................................................................................TACGCACTCTGCTGGCAGCGAC..........................................................................2211.000.001.000.00
.........................................................................................................................................GGCAGCGACGCCGACAGCGGT-------.......................................................2111.000.000.001.00
......................................................................................................................................................................CCAGGAGCGAGGGGTACA....................................1811.000.001.000.00
........................................................................................................................................TGGCAGCGACGCCGACAGCGT...............................................................2111.001.000.000.00
......................................................................................................................................................ACAGCAGT-------GCGAGCAGCG.............................................1811.000.000.001.00
droYak2
TTTTTT------T-----------------------------------CTCTGCTCGTTTTTCTCTCTTTTTCTTCTCGCCT------------------------------------GCATTTTACGCACTCTGCTAGCAGCGACGCCGACTGCGCT-------GCCAACAGCAAGCGGTACACTTGCAACTATTCT-----ATGCACCCTAC--AATTSizeHit CountTotal NormV046
Embryo
V052
Head
V120
Male body
V058
Head
M026
Head
........................................................................................................................................................................AACAGCxAGCGGAACACT..................................1711.000.000.000.001.000.00
droEre2
TTTTTT------------------------------------------CTCCGCTCGTTTTTCTCTCCTTTTCTGCTCGCCT------------------------------------GCATTTTACGCACTCTGCTGGCAGCGACGCCGACTGCGCT-------GCAAACAGCGAGCGGTACACTTGCAACTATTCT-----GTGCACCCTAC--AATTSizeHit CountTotal NormV040
Embryo
V060
Head
V047
Embryo
V108
Head
.......................................................................................................................................................................AAACAGCGAGCGGTACACTTG................................2111.000.001.000.000.00
.................................................TCCGTTTGTTTTTCTCTCCTTT.....................................................................................................................................................2211.001.000.000.000.00
...........................................................................................................................................CTGCGACGCCGGCTGCGCT-------.......................................................1911.000.000.000.001.00
...........................................................................................................................................................................AGCGAGCGGTACACGGGC...............................1811.000.000.000.001.00
droAna3
TTTTTCTT------------------------------CCCATGCAACCTGTGTCCATTGT---------------------------------------------------------ACGTTTTACGCACTCTCC--CCAGCAACACCGCCGCCGAT-------AGCGACTGCGACGAGTACGTTGGCAGCGGCACTTGACTCTTTTTGCGGC--AATTSizeHit CountTotal NormV105
Male body
V106
Head
V055
Unknown
V039
Embryo
......................................................................................................................................................................GCGGCGGCGACGAGTACG....................................1811.000.001.000.000.00
........................................................................................................................................................................GACTGCGACGCGTAGGTT..................................1811.000.000.001.000.00
dp4
CTTTGCTTTAGCTTTTTGCGTTTGCGTTTGCCCCGATTTCAATG-----------CAAT-----------------------------------------------------------GTGTTGTACGCACACGGGTT---TTTATCTCAGCTGTGGG-------ATGAACGGC--CCGAGACACTTGC--CGATGCG-----GCGACC--------CCASizeHit CountTotal NormV112
Male body
V043
Embryo
V051
Head
M022
Male body
......................TGCGTTTGCCCCGATTTCAAT.................................................................................................................................................................................2111.001.000.000.000.00
.................................................................................................................................................TGTCxGCTGTGGG-------ATGAAC.................................................1811.000.000.000.001.00
...........CTTTTTGCGTTTGCGTTTGCC............................................................................................................................................................................................2111.000.000.001.000.00
................................CCGATTTCAATG-----------CAAT-----------------------------------------------------------GTGTT.................................................................................................2111.001.000.000.000.00
.....................................................................................................................................................AGCTGTGGG-------ATGAACCGA--............................................1811.000.001.000.000.00
..............................................................................................................................................TTATCTCAGCTGTGGG-------ATGA...................................................2011.000.001.000.000.00
droPer1
CTTTGCTTTAGCTTTTTGCGTTTGCGTTTGCCCCGATTTCAATG-----------CAAT-----------------------------------------------------------GTGTTGTACGCACACGGGTT---TTTATCTCAGCTGTGGG-------ATGAACGGC--CCGAGACACTTGC--CGATGCG-----GCGACC--------CCASizeHit CountTotal NormV111
Male body
V042
Embryo
V050
Head
V057
Head
M021
Embryo
.................................................................................................................................................TGTCxGCTGTGGG-------ATGAAC.................................................1813.002.000.000.000.001.00
.................................................................................................................................................TCTCxGCTGTGGG-------ATGAACC................................................1911.001.000.000.000.000.00
.....................................................................................................................................................AGCTGTGGG-------ATGAACGGC--C...........................................1911.000.000.000.001.000.00
...................................................................................................................................................TCAGCTGTGGG-------ATGAACGG...............................................1911.001.000.000.000.000.00
droWil1
CATTTTTT-CTTTTTTTGCTTTTTGG-----------------------------------------------------TGT------------------------------------GGATTTTG----------------------------------------------------------------------------------------------SizeHit CountTotal NormV117
Male body
V118
Embryo
V119
Head
M020
Head
....TTTT-CTTTTTTTGxTTTTGGG-----------------------------------------------------T............................................................................................................................................2111.000.001.000.000.00
.GTTTTTT-TTTTTTTTGCTTT......................................................................................................................................................................................................2080.130.000.130.000.00
....TTTT-GTTTTTTTGCTTTCTG...................................................................................................................................................................................................2011.001.000.000.000.00
.....TTT-TTTTTTTTGCTTTTTT...................................................................................................................................................................................................19420.020.000.020.000.00
..........TTTTTGTGATTTTTGG-----------------------------------------------------TGT------------------------------------......................................................................................................1911.000.001.000.000.00
.....TTA-TTTTTTTTGCTTTTTG...................................................................................................................................................................................................1911.000.001.000.000.00
droVir3
CTCTTTA-----------------------------TTGCAATGCGAC-----T---ACGC---------------------ATGATTTAGGCGCAGGTTGGTCGACACTTGCATTGG-------------------------------------------------------------------TTGC--AAGTACT-----T------ATGC--ATTTSizeHit CountTotal NormV116
Male body
V053
Unknown
V047
Embryo
M027
Male body
M028
Head
......................................................................................TTTAGGCGCAGGTTGGTCGAC.................................................................................................................2112.000.000.000.002.000.00
........................................................................................TGGGCGCAGGTTGGTCGACACT..............................................................................................................2211.001.000.000.000.000.00
droMoj3
CTCTTCA-----------------------------TTGCAATGCGAC-----T---ACGC---------------------ATGATTTAGGTGCAGGTCGGTCGAAACTTGCACTGG---------------------------------------------T--TGCAAGTA--CTTATGCATTT----------------TTGCATGCGAAAATTAASizeHit CountTotal NormV110
Male body
V056
Unknown
V049
Head
V041
Embryo
............................................................C---------------------ATGATTTGGGTGCGGGTCGG......................................................................................................................2111.001.000.000.000.00
CTCTTCA-----------------------------TTGTAATTCGA.............................................................................................................................................................................1811.001.000.000.000.00
droGri2
CTCTTTTA----------------------------TTGCAATGAGAC-----TGCGACGC---------------------ATGATTTGGGCGCAGGTCTATCACCACTTGCACTGA------------------C--GACTGCTTTTGCTTTTGCTACTAC-TTTT---------------ACTTGC--CAGCGGA-----ACTT---ATGC--ATTTSizeHit CountTotal NormV109
Male body

12-way Secondary Structure

dm3 droSim1 droSec1 droYak2 droEre2 droAna3 dp4 droPer1 droWil1 droVir3 droMoj3 droGri2
RNAfold Image
UNAFold Image

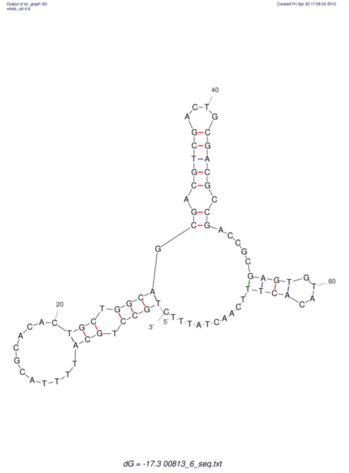
20-way Secondary Structure

dm3 droSim1 droSec1 droYak2 droEre2 droEug1 droBia1 droTak1 droEle1 droRho1 droFic1 droKik1 droAna3 droBip1 dp4 droPer1 droWil1 droVir3 droMoj3 droGri2
RNAfold Image None
UNAFold Image None

Generated: 04/20/2012 at 05:10:27 EDT