dme-mir-3642

chr3L:11622605-11622680 +

Known_mirbase

[View on miRBase] [View on UCSC Genome Browser {Cornell Mirror}]

tailed_mirtron


Legend:

   mature strand at position 11622605-11622626
   star strand at position 11622648-11622669
   mutations
   read mismatches
   coordinate mismatch (possible incorrect ortholog)

12-way Fast Statistical Aligner re-alignment (From MAFs)

Species Coordinate Alignment
dm3 chr3L:11622590-11622695 + ATGGATGACGTCAAGGTGAGTGGGTCG-----------------CACGGAGCGTCA-------------------TTTGGAAT-------------------TC------------CCATGGC-------TG------ACGAA-------------------ACGTTCACTCTGCTCTTCTCGATTACAGGACATCATCAGTAAA
droSim1 chr3L:10995092-10995212 + ATGGATGACGTCAAGGTGAGTGAG-CG-----------------CACGGG-GGCCA-------------------TTTGGAAT-------------------TC------------CCCTGGC-------TG------AGAAAACGCTA--AGAACTTCATTACGCTCACTCTGTTATTCTCGATTACAGGACATCATCAGTAAA
droSec1 super_0:3809862-3809984 + ATGGATGACGTCAAGGTGAGTGAGGCG-----------------CACGGAGCGTCA-------------------TTTGGAAT-------------------TC------------CCCTGGC-------TG------AGAAAACGCTA--AGAACTTCATTACGCTCACTCTGTTCTTCTCGATTACAGGACATCATCAGTAAA
droYak2 chr3L:11651195-11651318 + ATGGATGACGTCAAGGTGAGTGCGGCG-----------------CACGAACCGCCA-------------------TTTGGAAT-------------------TC------------CCCTGGC-------TG------ACGAAACGCTAA-AGAACTTCATTACGCTCACTCTGCTCTTTTCAATTACAGGACATAATCAGTAAA
droEre2 scaffold_4784:11607138-11607238 + ATGGATGACGTCAAGGTGAGTGAGGCG-----------------CACGGACCGCCA-------------------TTTCGAAT-------------------TC------------CCCTGTC-------TG------------------------------ACGCTCACTCTGCTCTTTTCAATTACAGGACATAATCAGTAAA
droAna3 scaffold_13337:5894397-5894534 + ATGGACGACGTCAAGGTGAGTAAGAAGTGGTGGAGGGGGTGTTGCAG---------------------CAAAGTGC-TGGAAC-------------------TT------------AATAAGC-------TA------ATGAAACGCTAA-AGAACTTCATTACCCTTTCTTTGCTCTTTTCAATTACAGGACATAATCAGTAAA
dp4 chrXR_group6:10064193-10064317 - ATGGACGACGTGAAGGTGAGTGGGGCG--------------CTGCAC---------------------GTGCCCGCTTGAGAC-------------------TT------------GCTTGGC-------AA------TATCAACGCTAA-AGAACTTCATTACGCTCATTATGCTCTTCTCCATTGCAGGACATAATCAGTAAA
droPer1 super_61:344655-344779 - ATGGACGACGTGAAGGTGAGTGGGGCG--------------CTGCAC---------------------GTGTCCGCTTGAGAC-------------------TT------------GCTTGGC-------AA------TATCAACGCTAA-AGAACTTCATTACGCTCATTATGCTCTTCTCCGTTGCAGGACATAATCAGTAAA
droWil1 scaffold_180698:2114822-2114981 + ATGGACGACGTAAAGGTGAGTGTAACA----------------GCACTAg-tgt--------------gtgtacgcctgtgc-gtgtgtgtgtgtgtgtgtgcgtATATTT-----TCATGTA-------ATTATCCAACG-ACCGCTAATAGAATTTCCTTACACTTACTTTGCTCTTCTCACTTGCAGGACATAATCAGTAAA
droVir3 scaffold_13049:23825799-23825928 + ATGAATGATGTCAAGGTGAGTGCGCGG-----------------CGCGGCGGCTGC-----------------TTCTTAATAA-------------------TT--------GATG-------AATTGACAA------TCTTATCGTTAA-AGAATTTCCTTACTCTCTGTCTGCTCTTATCTCTTACAGGACATAATCAGTAAA
droMoj3 scaffold_6680:18448682-18448807 + ATGAACGACGTGAAGGTGAGTGAGCGG-----------------AATG---------------------------C-T-GAAC-------------------TGAATTTATTGATG-------AATTGACAA------TCTTATCGTTAA-AGAATTTCATTACACTCTCCTTGCTCTTCTCTCTTGCAGGACATAATCAGTAAA
droGri2 scaffold_15110:13832957-13833097 - ATGAGCGATGTAAAGGTGAGTTCGGAG------------------------CGTTATTCTAGTTGATTGTGTTTAATTTTTAT-------------------AT------------ATTTGGCAATTGTTAA------TCAATTCGTTAA-AGAATTTCCT--CACTCACTCTGCTCTTATCTCTTCCAGGACATAATCAGTAAA

20-way Fast Statistical Aligner re-alignment (Top LASTZ hits)

Species Coordinate Lastz Id Alignment
dm3 chr3L:11622590-11622695 + NA ATGGATGACGTCAAGGTGAGTGGGTCG--------------CA------CGGAGCGT-------------CA--TTTG-------------------------GAATT-------------CCCATGGCTGACGAA---------------------ACGTTCACTCTGCTCTTCTCGATTACAGGACATCATCAGTAAA
droSim1 chr3L:10995092-10995212 + 1 ATGGATGACGTCAAGGTGAGTGAG-CG--------------CA------CGG-GGGC-------------CA--TTTG-------------------------GAATT-------------CCCCTGGCTGAGAAAACGCT--A--AGAACTTCATTACGCTCACTCTGTTATTCTCGATTACAGGACATCATCAGTAAA
droSec1 super_0:3809862-3809984 + 1 ATGGATGACGTCAAGGTGAGTGAGGCG--------------CA------CGGAGCGT-------------CA--TTTG-------------------------GAATT-------------CCCCTGGCTGAGAAAACGCT--A--AGAACTTCATTACGCTCACTCTGTTCTTCTCGATTACAGGACATCATCAGTAAA
droYak2 chr3L:11651195-11651318 + 1 ATGGATGACGTCAAGGTGAGTGCGGCG--------------CA------CGAACCGC-------------CA--TTTG-------------------------GAATT-------------CCCCTGGCTGACGAAACGCT--AA-AGAACTTCATTACGCTCACTCTGCTCTTTTCAATTACAGGACATAATCAGTAAA
droEre2 scaffold_4784:11607138-11607238 + 2 ATGGATGACGTCAAGGTGAGTGAGGCG--------------CA------CGGACCGC-------------CA--TTTC-------------------------GAATT-------------CCCCTGTC--------------------------TGACGCTCACTCTGCTCTTTTCAATTACAGGACATAATCAGTAAA
droEug1 scf7180000409711:3494930-3495053 + 2 ATGGATGACGTCAAGGTGAGTGGGGCG--------------CA------CGGACCGC-------------CA--CTTG-------------------------GAATT-------------CCCATGGCTATCAAAACGCT--AA-AGAACTTCATAACGCTCACTCTGCTCTTTTCGATTACAGGACATAATCAGTAAA
droBia1 scf7180000302334:58069-58192 + 2 ATGGATGACGTCAAGGTGAGTGGGGCG--------------CA------CTGAGCGC-------------CA--TTCG-------------------------GAATT-------------CCCATGGCTATCGAAACGCT--AA-AGAACTTCATTACGCTCACTCTGCTCTTCTCGATTACAGGACATAATCAGTAAA
droTak1 scf7180000414445:587576-587697 - 2 ATGGATGACGTCAAGGTGAGTGGGGCG--------------CA------CGG--CGT-------------CA--CTCG-------------------------GAATT-------------CCCCTGGCTAGCGAAACGCT--AA-AGAACTTCATTACGCTCACTCTGCTCTTCTCGATTGCAGGACATAATCAGTAAA
droEle1 scf7180000490993:2183328-2183453 - 1 ATGGATGACGTCAAGGTGAGTGGGGCG--------------CA------CTGGGCGT-------------CA--TTCG-------------------------GAATT-------------CCCGTGGCAATCGAAACGCTATAA-AGAACTTCATTACGCTCACTCTGCTCTTCTCGATTACAGGACATAATCAGTAAA
droRho1 scf7180000777142:12217-12340 + 2 ATGGATGACGTCAAGGTGAGTGGGGCG--------------CA------CTGAGCGT-------------CA--TTTG-------------------------GAACT-------------CCCCTGTCAAACGAAACGCT--AA-AGAACTTCATTACGCTCATTATGCTCTTCTCGATTACAGGACATAATCAGTAAA
droFic1 scf7180000454113:3086558-3086682 - 2 ATGGATGACGTCAAGGTGAGTGCGGCG--------------CT------TGGAGCGC------------CAT--TATC-------------------------GGATT-------------CCATTGGCAATCAAAGCGCT--AA-AGAACTTCATAACGCTCGCTCTGCTCTTTTCGATTTCAGGACATAATCAGTAAA
droKik1 scf7180000302391:1217462-1217584 - 2 ATGGATGACGTCAAGGTGAGTTCGGCT----------------------TGAACTGG-----A------AT---TCTA-------------------------GAATT-------------GACCTGACAATGGCAACGCT--AA-AGAACTTCATTACGCTCTGTCTGCTCTTTTCGATTACAGGACATAATCAGTAAA
droAna3 scaffold_13337:5894397-5894534 + 2 ATGGACGACGTCAAGGTGAGTAAGAAGTGGTGGAGGGGGTGTT------GCAGCAAA------------GT---GCTG-------------------------GAACT-------------TAATAAGCTAATGAAACGCT--AA-AGAACTTCATTACCCTTTCTTTGCTCTTTTCAATTACAGGACATAATCAGTAAA
droBip1 scf7180000396371:1230115-1230235 + 2 ATGGACGACGTCAAGGTGAGTTAGAAGAG------------GT------GCTGGTGCACCAAA------GC---TCTG-------------------------GAACT-------------TACTCA-----------GCT--AA-TGAACTTCATTACACTCTCTTTGCTCTTTTCAATTACAGGACATAATCAGTAAA
dp4 chrXR_group6:10064193-10064317 - 1 ATGGACGACGTGAAGGTGAGTGGGGCG--------------CT------GCACGTGC------------CCG--CTTG-------------------------AGACT-------------TGCTTGGCAATATCAACGCT--AA-AGAACTTCATTACGCTCATTATGCTCTTCTCCATTGCAGGACATAATCAGTAAA
droPer1 super_61:344655-344779 - 1 ATGGACGACGTGAAGGTGAGTGGGGCG--------------CT------GCACGTGT------------CCG--CTTG-------------------------AGACT-------------TGCTTGGCAATATCAACGCT--AA-AGAACTTCATTACGCTCATTATGCTCTTCTCCGTTGCAGGACATAATCAGTAAA
droWil1 scaffold_180698:2114822-2114981 + 2 ATGGACGACGTAAAGGTGAGTGTAACA----------------------GCAC--TA----GTGTGTGTACG--CCTGTGCGTGTGTGTGTGTGTGTGTGCGTATATTTTCATG-------TAATTATCCAACG-ACCGCT--AATAGAATTTCCTTACACTTACTTTGCTCTTCTCACTTGCAGGACATAATCAGTAAA
droVir3 scaffold_13049:23825799-23825928 + 3 ATGAATGATGTCAAGGTGAGTGCGCGG--------------CG------CGGCGGCT-------------GCTTCTTA-------------------------ATAAT-TGAT--------GAATTGACAATCTTATCGTT--AA-AGAATTTCCTTACTCTCTGTCTGCTCTTATCTCTTACAGGACATAATCAGTAAA
droMoj3 scaffold_6680:18448682-18448807 + 3 ATGAACGACGTGAAGGTGAGTGAGCGG------------AATG------CTGAACTG-------------AA--TTTA-------------------------TTGAT-------------GAATTGACAATCTTATCGTT--AA-AGAATTTCATTACACTCTCCTTGCTCTTCTCTCTTGCAGGACATAATCAGTAAA
droGri2 scaffold_15110:13832957-13833097 - 1 ATGAGCGATGTAAAGGTGAGTTCGGAGCGT---------TATTCTAGTTGATTGTGT------------TTA---------------------------------ATTTTTATATATTTGGCAATTGTTAATCAATTCGTT--AA-AGAATTTCCT--CACTCACTCTGCTCTTATCTCTTCCAGGACATAATCAGTAAA

[View All Possible Orthologs]

Original 12-way multiz alignment with reads super-imposed

Species Alignment
dm3
ATGGATGACGTCAAGGTGAGTGGGTCG-----------------CACGGAGCGTCA-------------------TTTGGAAT-------------------TC------------CCATGGC-------TG------ACGAA-------------------ACGTTCACTCTGCTCTTCTCGATTACAGGACATCATCAGTAAASizeHit CountTotal Norm
droSim1
ATGGATGACGTCAAGGTGAGTGAG-CG-----------------CACGGG-GGCCA-------------------TTTGGAAT-------------------TC------------CCCTGGC-------TG------AGAAAACGCTA--AGAACTTCATTACGCTCACTCTGTTATTCTCGATTACAGGACATCATCAGTAAASizeHit CountTotal NormV044
Embryo
M023
Head
M024
Male body
M025
Embryo
......................................................................................................................CTGGC-------TG------AGCAACCGCTA--......................................................1812.000.002.000.000.00
...............................................................................................................................................ACGCTA--AGAACTTCATTACG........................................2012.000.002.000.000.00
droSec1
ATGGATGACGTCAAGGTGAGTGAGGCG-----------------CACGGAGCGTCA-------------------TTTGGAAT-------------------TC------------CCCTGGC-------TG------AGAAAACGCTA--AGAACTTCATTACGCTCACTCTGTTCTTCTCGATTACAGGACATCATCAGTAAASizeHit CountTotal NormV113
Male body
V114
Embryo
V115
Head
......GACAGCAAGGTGAGTGAGGC...................................................................................................................................................................................2012.000.002.000.00
...............GTGAGTGAGGCG-----------------CACGGAGCGT.......................................................................................................................................................2211.001.000.000.00
.TGGATGACGTCAAGGACA..........................................................................................................................................................................................1811.000.001.000.00
.........AGCAAGGTGAGTGAGGCG-----------------.................................................................................................................................................................1811.000.000.001.00
droYak2
ATGGATGACGTCAAGGTGAGTGCGGCG-----------------CACGAACCGCCA-------------------TTTGGAAT-------------------TC------------CCCTGGC-------TG------ACGAAACGCTAA-AGAACTTCATTACGCTCACTCTGCTCTTTTCAATTACAGGACATAATCAGTAAASizeHit CountTotal NormV046
Embryo
V052
Head
V120
Male body
V058
Head
M026
Head
....ATGACGTAAAGGTGAATGC......................................................................................................................................................................................1911.000.000.001.000.000.00
droEre2
ATGGATGACGTCAAGGTGAGTGAGGCG-----------------CACGGACCGCCA-------------------TTTCGAAT-------------------TC------------CCCTGTC-------TG------------------------------ACGCTCACTCTGCTCTTTTCAATTACAGGACATAATCAGTAAASizeHit CountTotal NormV040
Embryo
V060
Head
V047
Embryo
V108
Head
......................................................................................................................................................................................AATCACAGGACATCATCA.....1811.000.000.000.001.00
.......................................................................................................................................................................CACGCTGCTCTTTCCAAT....................1811.000.000.000.001.00
.......................................................................................................................................................................................ATTACxGGAAATAATCAGT...1811.000.000.000.001.00
droAna3
ATGGACGACGTCAAGGTGAGTAAGAAGTGGTGGAGGGGGTGTTGCAG---------------------CAAAGTGC-TGGAAC-------------------TT------------AATAAGC-------TA------ATGAAACGCTAA-AGAACTTCATTACCCTTTCTTTGCTCTTTTCAATTACAGGACATAATCAGTAAASizeHit CountTotal NormV105
Male body
V106
Head
V055
Unknown
V039
Embryo
.....................ATGAAGTGGAGGAGGGG.......................................................................................................................................................................1711.000.000.001.000.00
..........................GCGGTGGxGGGGGTGTTGC................................................................................................................................................................1811.000.001.000.000.00
.......ACGTAAAGGTGAxTAAGAA...................................................................................................................................................................................1811.000.000.001.000.00
..........................GGGGTGGAGGGGGGGT...................................................................................................................................................................1611.000.000.001.000.00
dp4
ATGGACGACGTGAAGGTGAGTGGGGCG--------------CTGCAC---------------------GTGCCCGCTTGAGAC-------------------TT------------GCTTGGC-------AA------TATCAACGCTAA-AGAACTTCATTACGCTCATTATGCTCTTCTCCATTGCAGGACATAATCAGTAAASizeHit CountTotal NormV112
Male body
V043
Embryo
V051
Head
M022
Male body
...........GAAGGTGAGTTGGGTG--------------CT..................................................................................................................................................................1813.001.000.000.002.00
...........GAAGGTGAGTTGGGTG--------------CTG.................................................................................................................................................................1913.003.000.000.000.00
.............AGGTGAGTTGGGTG--------------CTGC................................................................................................................................................................1812.002.000.000.000.00
...........GAAGGTGAGTTGGGTG--------------CTGC................................................................................................................................................................2011.001.000.000.000.00
............AAGGTGAGTTGGGTG--------------CTGC................................................................................................................................................................1911.001.000.000.000.00
..........................G--------------CTGCAC---------------------GTGCCCGCTTGAGAC-------------------T......................................................................................................2311.000.001.000.000.00
ATGGACGACGTGAAGGAC...........................................................................................................................................................................................1811.000.000.001.000.00
............AAGGTGAGTTGGGTG--------------CTG.................................................................................................................................................................1811.001.000.000.000.00
...........GAGGGTGAGTTGGGCG--------------CT..................................................................................................................................................................1811.001.000.000.000.00
droPer1
ATGGACGACGTGAAGGTGAGTGGGGCG--------------CTGCAC---------------------GTGTCCGCTTGAGAC-------------------TT------------GCTTGGC-------AA------TATCAACGCTAA-AGAACTTCATTACGCTCATTATGCTCTTCTCCGTTGCAGGACATAATCAGTAAASizeHit CountTotal NormV111
Male body
V042
Embryo
V050
Head
V057
Head
M021
Embryo
...........GAAGGTGAGTTGGGTG--------------CT..................................................................................................................................................................1819.009.000.000.000.000.00
...........GAAGGTGAGTTGGGTG--------------CTGC................................................................................................................................................................2012.002.000.000.000.000.00
...........GAGGGTGAGTTGGGCG--------------CT..................................................................................................................................................................1812.002.000.000.000.000.00
...........GAAGGTGAGTTGGGTG--------------CTG.................................................................................................................................................................1912.002.000.000.000.000.00
....................................................................................................................................................GA-AGAACTTCAATACGCT......................................1811.000.000.000.000.001.00
..........TGAAGGTGAGTTGGGTG--------------CTG.................................................................................................................................................................2011.001.000.000.000.000.00
....................................................................................................................................................GA-AGAACTTCATTACGCT......................................1811.000.000.000.000.001.00
...........GAAGGTGAGTTGGGCG--------------CTGC................................................................................................................................................................2011.000.000.000.001.000.00
....................................................................................................................................................GA-AGAACTTCACTACGCT......................................1811.000.000.000.000.001.00
............AAGGGGAGTGGGGGG--------------CTG.................................................................................................................................................................1811.000.000.000.001.000.00
droWil1
ATGGACGACGTAAAGGTGAGTGTAACA----------------GCACTAg-tgt--------------gtgtacgcctgtgc-gtgtgtgtgtgtgtgtgtgcgtATATTT-----TCATGTA-------ATTATCCAACG-ACCGCTAATAGAATTTCCTTACACTTACTTTGCTCTTCTCACTTGCAGGACATAATCAGTAAASizeHit CountTotal NormV117
Male body
V118
Embryo
V119
Head
M020
Head
............................................................................GTGTGC-GTCTGTGTGTGTGT............................................................................................................20112.730.002.640.000.09
............................................................................GTGTGC-GTCTGTGTGTGTGTGT..........................................................................................................2283.250.133.130.000.00
....................................................................................TGTGTGCGTCTGTGTGTG.......................................................................................................18161.190.000.940.250.00
...............................................................................TGT-GTGTGTGTGTGTGTG...........................................................................................................18380.390.000.160.240.00
....................................................................................TGTGTGTGTGTGTGTGTG.......................................................................................................18380.390.000.160.240.00
.................................................................................T-GTGTGTGTGTGTGTGTG.........................................................................................................18380.390.000.160.240.00
.............................................................................TGTGT-GTGTGTGTGTGTG.............................................................................................................18380.390.000.160.240.00
..............................................................................GTGT-GTGTGTGTGTGTGTGTGTG.......................................................................................................23160.940.000.190.750.00
......................................................................................TGTGTGTGTGTGTGTGTG.....................................................................................................18380.390.000.160.240.00
.............................................................................TGTGT-GTGTGTGTGTGTGTGTG.........................................................................................................22200.650.000.100.550.00
...............................................................................TGT-GTGTGTGTGTGTGTGTGTG.......................................................................................................22200.650.000.100.550.00
...................................................................................GTGTGCGTCTGTGTGTGTG.......................................................................................................19121.000.001.000.000.00
............................................................................GTGTGC-GTCTGTGTGTGTG.............................................................................................................19121.000.001.000.000.00
...............................................................................TGT-GTGTGTGTGTGTGTGTG.........................................................................................................20300.370.000.070.300.00
.................................................................................T-GTGTGTGTGTGTGTGTGTG.......................................................................................................20300.370.000.070.300.00
...............................................................................TGT-GTGTGTGTGTGTGTGTGT........................................................................................................21260.420.000.230.190.00
.............................................................................TGTGC-GTATATGTGTGTGTGT..........................................................................................................21111.002.009.000.000.00
.............................................................................TGTGT-GTGTGTGTGTGTGTGT..........................................................................................................21260.420.000.230.190.00
....................................................................................TGTGTGTGTGTGTGTGTGTG.....................................................................................................20300.370.000.070.300.00
....................................................................................TGTGTGTGTGTGTGTGTGTGT....................................................................................................21260.420.000.230.190.00
.............................................................................TGTGT-GTGTGTGTGTGTGTG...........................................................................................................20300.370.000.070.300.00
.........................................................................................GTGTTTGTGTGTGCGTGT..................................................................................................18210.480.100.330.050.00
...............................................................................TGT-GTATGTGTGTGTGTGTGTG.......................................................................................................22240.420.000.000.420.00
............................................................................GTGTGC-GTCTGTGTGTGTGTG...........................................................................................................2181.250.001.250.000.00
.............................................................................TGTGT-ATGTGTGTGTGTGTGTG.........................................................................................................22240.420.000.000.420.00
...................................................................................GTGTTTGTGTGTGCGTGT........................................................................................................18210.480.100.330.050.00
.............................................................................TGTGT-GTGTGTGTGTGTGTGTGTG.......................................................................................................24120.830.000.000.830.00
.....................................................................................GTGTGTGTGTGTGTGTGT......................................................................................................18410.220.070.070.070.00
............................................................................GTGTGC-GTGTGTGTGTGT..............................................................................................................18430.210.000.190.020.00
..............................................................................GTGT-GCGTGTGTGTGTGT............................................................................................................18430.210.000.190.020.00
................................................................................GT-GTGTGTGTGTGTGTGT..........................................................................................................18410.220.070.070.070.00
...................................................................................GTGTGCGTGTGTGTGTGT........................................................................................................18430.210.000.190.020.00
.......................................................................................GTGTGTGTGTGTGTGTGT....................................................................................................18410.220.070.070.070.00
................................................................................GT-GTGCGTGTGTGTGTGT..........................................................................................................18430.210.000.190.020.00
.......................................................................................GTGTGCGTGTGTGTGTGT....................................................................................................18430.210.000.190.020.00
....................................................................................TATGTGTGTGTGTGTGTGTG.....................................................................................................20380.240.000.000.240.00
.....................................................................................GTGTGCGTGTGTGTGTGT......................................................................................................18430.210.000.190.020.00
...............................................................................TAT-GTGTGTGTGTGTGTGTG.........................................................................................................20380.240.000.000.240.00
.............................................................................TATGT-GTGTGTGTGTGTGTG...........................................................................................................20380.240.000.000.240.00
.................................................................................T-ATGTGTGTGTGTGTGTGTG.......................................................................................................20380.240.000.000.240.00
..............................................................................GTGT-GTGTGTGTGTGTGT............................................................................................................18410.220.070.070.070.00
...................................................................................GTGTGTGTGTGTGTGTGT........................................................................................................18410.220.070.070.070.00
.................................................................................T-GTGTATGTGTGTGTGTGTG.......................................................................................................20330.240.000.030.210.00
............................................................................GTGTGC-GTCTGTGTGTGT..............................................................................................................18150.530.000.530.000.00
.............................................................................TGTGT-ATGTGTGTGTGTGTG...........................................................................................................20330.240.000.030.210.00
...............................................................................TGT-GTATGTGTGTGTGTGTG.........................................................................................................20330.240.000.030.210.00
...................................................................................GTGTGCGTCTGTGTGTGT........................................................................................................18150.530.000.530.000.00
....................................................................................TGTCTGTGTGTGTGTGTGC......................................................................................................19180.440.000.390.060.00
.............................................................................TGTGT-GTGTGTGTGTGTGTGTGTGC......................................................................................................25130.620.000.000.620.00
....................................................................................TGTGTATGTGTGTGTGTGTG.....................................................................................................20330.240.000.030.210.00
..............................................................................GTGT-GTGTGTGTGTGTGTGTGTGC......................................................................................................24160.440.000.060.380.00
.............................................................................TGTGC-GTATATGTGTGTGTG...........................................................................................................2017.000.007.000.000.00
................................................................................GT-GTGTGTGTGTGTGTGTGTG.......................................................................................................21250.280.000.040.240.00
.............................................................................TGTGT-GTGTGTGTGTGTGTGTGTGCG.....................................................................................................2690.780.000.000.780.00
...................................................................................GTGTGTGTGTGTGTGTGTGTG.....................................................................................................21250.280.000.040.240.00
..............................................................................GTGT-GTGTGTGTGTGTGTGTG.........................................................................................................21250.280.000.040.240.00
..............................................................................GTGC-GTGTGTGTGTGTGT............................................................................................................18150.400.070.330.000.00
....................................................................................TGTGTATGTGTGTGTGTGTGT....................................................................................................21290.210.000.070.140.00
.............................................................................TGTGC-GTATATGTGTGTGTGTG.........................................................................................................2216.000.006.000.000.00
...................................................................................GTGCGTGTGTGTGTGTGT........................................................................................................18150.400.070.330.000.00
.............................................................................TGTGT-ATGTGTGTGTGTGTGT..........................................................................................................21290.210.000.070.140.00
.............................................................................TGTGT-GTGTGTGTGTGTGTGTGTGCA.....................................................................................................2670.860.000.000.860.00
...............................................................................TGT-GTATGTGTGTGTGTGTGT........................................................................................................21290.210.000.070.140.00
...................................................................................ATATGTGTGTGTGTGTGTG.......................................................................................................19220.230.140.000.090.00
................................................................................AT-GTGTGTGTGTGTGTGTGTGC......................................................................................................22140.360.000.070.290.00
...............................................................................TAT-GTGTGTGTGTGTGTG...........................................................................................................18490.100.000.020.080.00
.................................................................................T-ATGTGTGTGTGTGTGTG.........................................................................................................18490.100.000.020.080.00
...............................................................................TGT-GTGTGTGTGTGTGTGT..........................................................................................................19350.140.030.060.060.00
........................................................................................................................................CATCG-ACCGCTAATGGAA..................................................1815.000.005.000.000.00
.................................................................................T-GTGTGTGTGTGTGTGTGT........................................................................................................19350.140.030.060.060.00
......................................................................................TGTGTGTGTGTGTGTGTGT....................................................................................................19350.140.030.060.060.00
....................................................................................TGTGTGTGTGTGTGTGTGT......................................................................................................19350.140.030.060.060.00
.............................................................................TGTGT-GTGTGTGTGTGTGT............................................................................................................19350.140.030.060.060.00
.............................................................................TATGT-GTGTGTGTGTGTG.............................................................................................................18490.100.000.020.080.00
......................................................................................TATGTGTGTGTGTGTGTG.....................................................................................................18490.100.000.020.080.00
....................................................................................TATGTGTGTGTGTGTGTG.......................................................................................................18490.100.000.020.080.00
...................................................................................ATGTGTGTGTGTGTGTGTG.......................................................................................................19150.330.000.130.200.00
...............................................................................TAT-GTGTGTGTGTGTGTGTGTG.......................................................................................................22260.190.000.040.150.00
...................................................................................ATGTGTGTGTGTGTGTGT........................................................................................................18180.280.170.110.000.00
.............................................................................TATGT-GTGTGTGTGTGTGTGTG.........................................................................................................22260.190.000.040.150.00
...............................................................................TGC-GTATATGTGTGTGTGTG.........................................................................................................2022.500.002.500.000.00
...............................................................................TGC-GTCTGTGTGTGTGTGT..........................................................................................................19170.290.000.290.000.00
.............................................................................TGTGT-ATGTGTGTGTGTG.............................................................................................................18410.100.000.000.100.00
...............................................................................TGT-ATGTGTGTGTGTGTGTG.........................................................................................................20350.110.000.090.030.00
.................................................................................T-GTATGTGTGTGTGTGTGTG.......................................................................................................20350.110.000.090.030.00
.............................................................................TGTGT-GTGTGTGTGTGTGTGC..........................................................................................................21310.130.000.030.100.00
............................................................................TTGTGT-GTGTGTGTGTGTGTGTGTGC......................................................................................................2660.670.000.000.670.00
...............................................................................TGT-GTATGTGTGTGTGTG...........................................................................................................18410.100.000.000.100.00
.....................................................................................GTGTGTGTGTGTGTGTGTGT....................................................................................................20300.130.100.030.000.00
................................................................................GT-GTGTGTGTGTGTGTGTGT........................................................................................................20300.130.100.030.000.00
......................................................................................TGTGTATGTGTGTGTGTG.....................................................................................................18410.100.000.000.100.00
.................................................................................T-GTGTGTGTGTGTGTGTGTGAG.....................................................................................................22230.170.000.040.130.00
...................................................................................GTGTGTGTGTGTGTGTGTGTGT....................................................................................................22210.190.050.050.100.00
..............................................................................GTGT-GTGTGTGTGTGTGTGTGT........................................................................................................22210.190.050.050.100.00
......................................................................................TGTATGTGTGTGTGTGTG.....................................................................................................18440.090.000.000.090.00
.............................................................................TGTAT-GTGTGTGTGTGTG.............................................................................................................18440.090.000.000.090.00
.................................................................................T-GTATGTGTGTGTGTGTG.........................................................................................................18440.090.000.000.090.00
.............................................................................TGTAT-GTGTGTGTGTGTGTG...........................................................................................................20350.110.000.090.030.00
...............................................................................TGT-ATGTGTGTGTGTGTG...........................................................................................................18440.090.000.000.090.00
....................................................................................TGTGTATGTGTGTGTGTG.......................................................................................................18410.100.000.000.100.00
.............................................................................TGTGT-GTGTGTGTGTGTGTGAG.........................................................................................................22230.170.000.040.130.00
droVir3
ATGAATGATGTCAAGGTGAGTGCGCGG-----------------CGCGGCGGCTGC-----------------TTCTTAATAA-------------------TT--------GATG-------AATTGACAA------TCTTATCGTTAA-AGAATTTCCTTACTCTCTGTCTGCTCTTATCTCTTACAGGACATAATCAGTAAASizeHit CountTotal NormV116
Male body
V053
Unknown
V047
Embryo
M027
Male body
M028
Head
..................................................................................A-------------------TT--------GATG-------AATTGACAA------ACTG...............................................................2011.000.000.000.001.000.00
droMoj3
ATGAACGACGTGAAGGTGAGTGAGCGG-----------------AATG---------------------------C-T-GAAC-------------------TGAATTTATTGATG-------AATTGACAA------TCTTATCGTTAA-AGAATTTCATTACACTCTCCTTGCTCTTCTCTCTTGCAGGACATAATCAGTAAASizeHit CountTotal NormV110
Male body
V056
Unknown
V049
Head
V041
Embryo
droGri2
ATGAGCGATGTAAAGGTGAGTTCGGAG------------------------CGTTATTCTAGTTGATTGTGTTTAATTTTTAT-------------------AT------------ATTTGGCAATTGTTAA------TCAATTCGTTAA-AGAATTTCCT--CACTCACTCTGCTCTTATCTCTTCCAGGACATAATCAGTAAASizeHit CountTotal NormV109
Male body

12-way Secondary Structure

dm3 droSim1 droSec1 droYak2 droEre2 droAna3 dp4 droPer1 droWil1 droVir3 droMoj3 droGri2
RNAfold Image
UNAFold Image

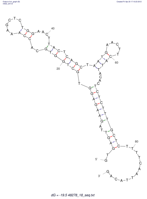
20-way Secondary Structure

dm3 droSim1 droSec1 droYak2 droEre2 droEug1 droBia1 droTak1 droEle1 droRho1 droFic1 droKik1 droAna3 droBip1 dp4 droPer1 droWil1 droVir3 droMoj3 droGri2
RNAfold Image
UNAFold Image

Generated: 04/20/2012 at 05:10:33 EDT