Return to list

View alignment of MAF (12-files) vs LASTZ top hits (20-flies)

View all possible LASTZ hits (20-flies)

dme-mir-1015

chr3R:20164954-20165017 +

Known_mirbase

[View on miRBase] [View on UCSC Genome Browser {Cornell Mirror}]

mirtron


Legend:

   mature strand at position 20164996-20165017
   star strand at position 20164954-20164975
   mutations
   read mismatches

Notes: The miRNA appears lost in dp4 - droGri2. The orthologs for these species look confident however they've accumulated too many substitutions to fold nicely.


20-way Fast Statistical Aligner (FSA) re-alignment

Visually pleasing best hits from LASTZ and MAF


Species Coordinate Source Confidence Alignment
dm3 chr3R:20164939-20165032 + 1 TCATGGGCTACGACGGTGAGTG----ATGCTCCAGTTAGCTTGGCTGAGTGAG-G--------A----TT------TAAGTCCTGGGAC-----ATCTCTCTTGCAGTCAAGATCCTGAAAG
droSim1 chr3R:19998542-19998635 + LASTZ 1 TCATGGGCTACGACGGTGAGTG----ATGCTCCAGTTAGCTTGGCTGAGTGAG-G--------A----TT------TAAGTCCTGGGAC-----ATCTCTCTTGCAGTCAAGATCCTAAAAG
droSec1 super_0:20503496-20503589 + LASTZ 1 TCATGGGCTACGACGGTGAGTG----ATGCTCCAGTTAGCTTGTCTGAGTGAG-A--------C----TT------TAAGTCCTGGGAC-----ATCTCTCTTGCAGTCAAGATCCTAAAAG
droYak2 chr3R:26340571-26340664 - LASTZ 1 TCATGGGCTACGACGGTGAGTG----ATGCTCCAGATAGCTTGACTGGGTGAG-G--------A----TT------TAAGTCCTGGGAC-----ATCTCTCTTGCAGTCAAGATCCTGAAAC
droEre2 scaffold_4820:7895693-7895786 - LASTZ 1 TCATGGGCTACGACGGTGAGTG----ATGCTCCAGATAGCTTGGCTGAGTGAG-G--------A----CT------TAAGTCCTGGGAC-----ATCTCTCTTGCAGTCAAAATCCTAAAAC
droEug1 scf7180000409798:215829-215922 - LASTZ 5 TAATGGGCTACAATGGTGAGTG----ATGCTCCAGATAGCTTCGCAAAGTAAG-G--------A----TA------TAAGTCCTGGGAC-----ATCTCTCTTGCAGTCAAGATCCTAAGAC
droBia1 scf7180000302136:526695-526788 + LASTZ 4 TCATGGGCTACGACGGTGAGTG----ATGCTCCAGATGGCTGGGCTAAGTGAG-G--------A----CT------TAAGTCCTGGGAC-----ATCTCTCTTGCAGTCAAGATCCTGAAGC
droTak1 scf7180000415769:2262017-2262110 - LASTZ 4 TCATGGGCTACGACGGTGAGTG----ATGCTCCAGCTGGCTTGGCAAAGCGTG-G--------A----TC------TAAGTCCTGGGAC-----ATCTCTCTTGCAGTCAAGATCCTCAAGC
droEle1 scf7180000491008:477705-477804 + LASTZ 4 TCATGGGCTACGACGGTGAGTG----ATGCTCCAGAAAGCTTGGCCAAGTGAC-C--------A----CCCATACTTAAGCCCTGGGAC-----ATCTCTCTTGCAGTGAAGGTCCTGAAGC
droRho1 scf7180000779477:268222-268317 + LASTZ 4 TCATGGGATACGACGGTGAGTG----ATGCTCCAGATAGCTTGGCTAAGTGAG-G--------A----TTAA----TAAGCCCTGGGAC-----ATCTCTCTTGCAGTGAAGGTCCTGAAGC
droFic1 scf7180000453912:1339925-1340020 + LASTZ 5 TCATGGGCTACCAAGGTGAGTG----ATGCTCCAGATAACTTGGAAAAGTGGG-A--------ATACGGA------TAAGTCC--GGAC-----TTCTCTCTTGCAGTCAAGATTCTGAAAT
droKik1 scf7180000302387:55058-55154 + LASTZ 4 TGATGGGCTATGACGGTGAGTG----ATGCTCCAGATAGCTTAGTTTAAAAAAAG--------A----TTCA----AAAGTCCTGGGAC-----ATCTCTCTTGCAGTCAAGATCCTGAAGC
droAna3 scaffold_13088:204245-204339 + LASTZ 1 TCATGGGCTACGACAGTGAGTG----ATGCTCCAGATAGGTTGGCTTAGGAAGTC--------A----TT------AAAGCCCTGGGAT-----GTCTCTCTTGCAGTTAAGATCCTGAAAC
droBip1 scf7180000396413:258464-258558 + LASTZ 4 TCATGGGCTACGATAGTGAGTG----ATGCTCTAGATAGGTTAGCTGATGAAG-T--------C---TTT------CAAGCCCTAGGTC-----ATCTCTCTTGCAGTTAAAATCCTGAAAC
dp4 chr2:18646206-18646298 - LASTZ 5 TGATGGGCTACGATGGTAAGAG----CTAGCCA-CACAAATTA------TTAG-T--------A----TTTC----TATTTCTCAAAATATTT-CTTTCTTTTGCAGTCAAGATACTAAAGC
droPer1 super_3:1376406-1376498 - LASTZ 5 TGATGGGCTACGATGGTAAGAG----CTAGCCA-CACAAATTA------TTAG-T--------A----TTTC----TATTTCTCAAAATATTC-CTTTCTTTTGCAGTCAAGATCCTAAAGC
droWil1 scaffold_181108:4541725-4541808 - LASTZ 5 TAATGGGTTATGACAGTAAGTTA--GCTGGTAAAGTTGATTTCT------------------------TT------TAACTAATGT-GT-----ATATTTACTGTAGTAAGAATTTTAAAGC
droVir3 scaffold_13047:3497490-3497590 + LASTZ 5 TTGTGGGCTACGAAAGTAAGTA----T-TTACTTGATAACTCGTT------AA-ACCTAAAGTC----TGTT----AACCACTCTTATAACTATG-CATCTAAACAGTTAAGGTACTAAAGA
droMoj3 scaffold_6540:20508341-20508431 + LASTZ 5 TAATGGGCTACGATGGTAAATG-CTGATGTTCATGAATATTTATCCAAGTAAT-T--------T----------------CTTTACGTT-----GTCTTCTTAACAGTTAAGGTTTTGAAAA
droGri2 scaffold_14906:156637-156731 + LASTZ 5 TGGTGGGCTATGATAGTGAGTTG---ATTCTATTGT--AATAATC-AAATC-G-T--------T----TTTG----TTATTTTATAAAC---ATGCCATTTTAACAGTCAAGATACTCAAGA

Legend

0- The ortholog is absent. A better synthenic sequence candidate could not be found.
1- Reads w/ good pileup on mature and star strand & folds into hairpin structure.
2- Reads w/ good pileup on mature and star strand BUT does not fold into hairpin structure.
3- Sporadic reads & folds into a hairpin structure.
4- No reads but folds into a hairpin structure.
5- Ortholog is confident but miRNA appears absent (no reads and does not fold into a hairpin)

Re-alignment after removal of non-confident orthologs

Species Alignment
dm3 TCATGGGCTACGACGGTGAGTG----ATGCTCCAGTTAGCTTGGCTGAGTGAG-G--------A----TT------TAAGTCCTGGGAC-----ATCTCTCTTGCAGTCAAGATCCTGAAAG
droSim1 TCATGGGCTACGACGGTGAGTG----ATGCTCCAGTTAGCTTGGCTGAGTGAG-G--------A----TT------TAAGTCCTGGGAC-----ATCTCTCTTGCAGTCAAGATCCTAAAAG
droSec1 TCATGGGCTACGACGGTGAGTG----ATGCTCCAGTTAGCTTGTCTGAGTGAG-A--------C----TT------TAAGTCCTGGGAC-----ATCTCTCTTGCAGTCAAGATCCTAAAAG
droYak2 TCATGGGCTACGACGGTGAGTG----ATGCTCCAGATAGCTTGACTGGGTGAG-G--------A----TT------TAAGTCCTGGGAC-----ATCTCTCTTGCAGTCAAGATCCTGAAAC
droEre2 TCATGGGCTACGACGGTGAGTG----ATGCTCCAGATAGCTTGGCTGAGTGAG-G--------A----CT------TAAGTCCTGGGAC-----ATCTCTCTTGCAGTCAAAATCCTAAAAC
droEug1 TAATGGGCTACAATGGTGAGTG----ATGCTCCAGATAGCTTCGCAAAGTAAG-G--------A----TA------TAAGTCCTGGGAC-----ATCTCTCTTGCAGTCAAGATCCTAAGAC
droBia1 TCATGGGCTACGACGGTGAGTG----ATGCTCCAGATGGCTGGGCTAAGTGAG-G--------A----CT------TAAGTCCTGGGAC-----ATCTCTCTTGCAGTCAAGATCCTGAAGC
droTak1 TCATGGGCTACGACGGTGAGTG----ATGCTCCAGCTGGCTTGGCAAAGCGTG-G--------A----TC------TAAGTCCTGGGAC-----ATCTCTCTTGCAGTCAAGATCCTCAAGC
droEle1 TCATGGGCTACGACGGTGAGTG----ATGCTCCAGAAAGCTTGGCCAAGTGAC-C--------A----CCCATACTTAAGCCCTGGGAC-----ATCTCTCTTGCAGTGAAGGTCCTGAAGC
droRho1 TCATGGGATACGACGGTGAGTG----ATGCTCCAGATAGCTTGGCTAAGTGAG-G--------A----TTAA----TAAGCCCTGGGAC-----ATCTCTCTTGCAGTGAAGGTCCTGAAGC
droFic1 TCATGGGCTACCAAGGTGAGTG----ATGCTCCAGATAACTTGGAAAAGTGGG-A--------ATACGGA------TAAGTCC--GGAC-----TTCTCTCTTGCAGTCAAGATTCTGAAAT
droKik1 TGATGGGCTATGACGGTGAGTG----ATGCTCCAGATAGCTTAGTTTAAAAAAAG--------A----TTCA----AAAGTCCTGGGAC-----ATCTCTCTTGCAGTCAAGATCCTGAAGC
droAna3 TCATGGGCTACGACAGTGAGTG----ATGCTCCAGATAGGTTGGCTTAGGAAGTC--------A----TT------AAAGCCCTGGGAT-----GTCTCTCTTGCAGTTAAGATCCTGAAAC
droBip1 TCATGGGCTACGATAGTGAGTG----ATGCTCTAGATAGGTTAGCTGATGAAG-T--------C---TTT------CAAGCCCTAGGTC-----ATCTCTCTTGCAGTTAAAATCCTGAAAC
dp4 TGATGGGCTACGATGGTAAGAG----CTAGCCA-CACAAATTA------TTAG-T--------A----TTTC----TATTTCTCAAAATATTT-CTTTCTTTTGCAGTCAAGATACTAAAGC
droPer1 TGATGGGCTACGATGGTAAGAG----CTAGCCA-CACAAATTA------TTAG-T--------A----TTTC----TATTTCTCAAAATATTC-CTTTCTTTTGCAGTCAAGATCCTAAAGC
droWil1 TAATGGGTTATGACAGTAAGTTA--GCTGGTAAAGTTGATTTCT------------------------TT------TAACTAATGT-GT-----ATATTTACTGTAGTAAGAATTTTAAAGC
droVir3 TTGTGGGCTACGAAAGTAAGTA----T-TTACTTGATAACTCGTT------AA-ACCTAAAGTC----TGTT----AACCACTCTTATAACTATG-CATCTAAACAGTTAAGGTACTAAAGA
droMoj3 TAATGGGCTACGATGGTAAATG-CTGATGTTCATGAATATTTATCCAAGTAAT-T--------T----------------CTTTACGTT-----GTCTTCTTAACAGTTAAGGTTTTGAAAA
droGri2 TGGTGGGCTATGATAGTGAGTTG---ATTCTATTGT--AATAATC-AAATC-G-T--------T----TTTG----TTATTTTATAAAC---ATGCCATTTTAACAGTCAAGATACTCAAGA

20-way Secondary Structure

dm3 droSim1 droSec1 droYak2 droEre2 droEug1 droBia1 droTak1 droEle1 droRho1 droFic1 droKik1 droAna3 droBip1 dp4 droPer1 droWil1 droVir3 droMoj3 droGri2
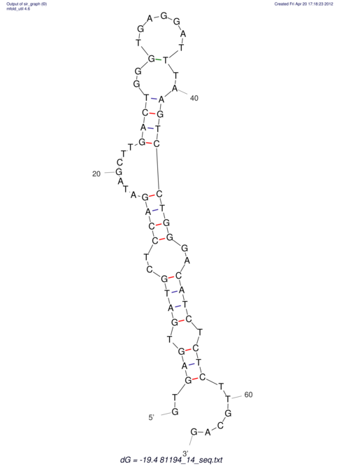
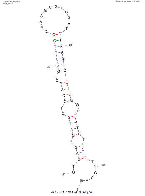
RNAfold Image
UNAFold Image

Small RNA-seq read pileup

Species Alignment
droSim1
TCATGGGCTACGACGGTGAGTG----ATGCTCCAGTTAGCTTGGCTGAGTGAG-G--------A----TT------TAAGTCCTGGGAC-----ATCTCTCTTGCAGTCAAGATCCTAAAAGSizeHit CountTotal NormV044
Embryo
M023
Head
M024
Male body
M025
Embryo
................................................................................TCCTGGGAC-----ATCTCTCTTGCAGT..............23134.001.000.0033.000.00
................................................................................TCCTGGGAC-----ATCTCTCTTGCAG...............22128.001.000.0025.002.00
................................................................................TCCTGGGAC-----ATCTCTCTTGCAGTT.............2415.000.000.005.000.00
................................................................................TCCTGGGAC-----ATCTCTCTTGC.................2014.000.000.004.000.00
................................................................................TCCTGGGAC-----ATCTCTCTTGCA................2112.000.000.001.001.00
................................................................................TCCTGGGAC-----ATCTCTCTTGCAGG..............2312.000.000.001.001.00
...............GTGAGTG----ATGCTCCAGTTAGCT.................................................................................2212.001.000.001.000.00
................................................................................TCCTGGGAC-----ATCTCTCTTGCAGTTT............2511.000.000.001.000.00
..................................................................................CTGGGAC-----ATCTCTCTTGCAGTT.............2211.000.000.001.000.00
................................................................................TCCTGGGAC-----ATCTCTCTTGCAA...............2211.000.000.001.000.00
.........................................TGGCTGAGTGAG-G--------A----TT------TAAG..........................................2011.000.000.001.000.00
................................................................................TCCTGGGAC-----ATCTCTCTTGCAC...............2211.000.000.001.000.00
................................................................................TCCTTGGAC-----ATCTCTCTTGCAG...............2211.000.000.000.001.00
................................................................................TCCTGGGAC-----ATCTCTCTTGCAGC..............2311.000.000.001.000.00
...............GTGAGTG----ATGCTCCCGTTAGCTTG...............................................................................2411.001.000.000.000.00
..............................................................................AGTCCTGGGAC-----ATCTCTCTTGC.................2211.001.000.000.000.00
................................................................................TCCTGGGAC-----ATCTCTCTTGAAA...............2211.000.000.001.000.00
droSec1
TCATGGGCTACGACGGTGAGTG----ATGCTCCAGTTAGCTTGTCTGAGTGAG-A--------C----TT------TAAGTCCTGGGAC-----ATCTCTCTTGCAGTCAAGATCCTAAAAGSizeHit CountTotal NormV113
Male body
V114
Embryo
V115
Head
................................................................................TCCTGGGAC-----ATCTCTCTTGCAGT..............23118.0018.000.000.00
................................................................................TCCTGGGAC-----ATCTCTCTTGCAG...............22111.0010.001.000.00
...............GTGAGTG----ATGCTCCAGTTAGCT.................................................................................22111.005.006.000.00
...............GTGAGTG----ATGCTCCAGTTAGCTTG...............................................................................2418.007.001.000.00
................................................................................TCCTGGGAC-----ATCTCTCTTGCAGA..............2316.006.000.000.00
................................................................................TCCTGGGAC-----ATCTCTCTTGCA................2113.001.001.001.00
...............GTGAGTG----ATGCTCCAGTTAGCTT................................................................................2313.003.000.000.00
..............................................................................AGTCCTGGGAC-----ATCTCTCTTGC.................2212.000.002.000.00
...............GTGAGTG----ATGCTCCAGTTAGC..................................................................................2112.002.000.000.00
................................................................................TCCTGGGAC-----ATCTCTCTTACAGA..............2311.001.000.000.00
................................................................................TCCTGGGAC-----ATCTCTCTTACAGT..............2311.001.000.000.00
............................................................................TAAGTxCTGGGAC-----AACTCTCT....................2011.000.000.001.00
droYak2
TCATGGGCTACGACGGTGAGTG----ATGCTCCAGATAGCTTGACTGGGTGAG-G--------A----TT------TAAGTCCTGGGAC-----ATCTCTCTTGCAGTCAAGATCCTGAAACSizeHit CountTotal NormV046
Embryo
V052
Head
V120
Male body
V058
Head
M026
Head
...............GTGAGTG----ATGCTCCAGATAGCTTG...............................................................................2417.000.001.006.000.000.00
...............GTGAGTG----ATGCTCCAGATAGCTT................................................................................2316.000.001.005.000.000.00
...............GTGAGTG----ATGCTCCAGATAGCT.................................................................................2214.000.001.003.000.000.00
...............GTGAGTG----ATGCTCCAGATAGCTTGT..............................................................................2513.001.000.002.000.000.00
...............GTGAGTG----ATGCTCCAGATAG...................................................................................2011.000.000.001.000.000.00
................................................................................TCCTGGGAC-----ATCTCTCTTGCAGT..............2311.000.000.000.001.000.00
................................................................................TCCTGGGAC-----ATCTCTCTTGCATT..............2311.000.000.000.000.001.00
..........................................GACTGGGTGAG-G--------A----TT------TGC...........................................1811.000.000.000.001.000.00
...............GTGAGTG----ATGCTCCAGATAGCTTGTT.............................................................................2611.000.000.001.000.000.00
droEre2
TCATGGGCTACGACGGTGAGTG----ATGCTCCAGATAGCTTGGCTGAGTGAG-G--------A----CT------TAAGTCCTGGGAC-----ATCTCTCTTGCAGTCAAAATCCTAAAACSizeHit CountTotal NormV040
Embryo
V060
Head
V047
Embryo
V108
Head
...............GTGAGTG----ATGCTCCAGATAGCT.................................................................................2217.000.000.000.007.00
...............GTGAGTG----ATGCTCCAGATAGCTT................................................................................2314.000.000.000.004.00
................................................................................TCCTGGGAC-----ATCTCTCTTGCAGT..............2313.000.000.000.003.00
...............GTGAGTG----ATGCTCCAGATAGCTTG...............................................................................2412.000.000.000.002.00
................................................................................TCCTGGGAC-----ATCTCTCTTGCAG...............2211.000.000.000.001.00
................................................................................TCCTGGGAC-----ATCTCTCTTG..................1911.000.000.000.001.00
................................................................................TCCTGGGAC-----ATCCCTCTTGCAGT..............2311.000.000.000.001.00
.........................................TGGCTGAGTGAG-G--------A----CT------TAAG..........................................2011.000.000.000.001.00
................................................................................TCCTTGGAC-----ATCTCTCTTGCAG...............2211.000.000.000.001.00
................................................................................TCCTGGGAC-----ATCTCTCTTGCAGC..............2311.000.000.000.001.00
..............................................................................AGTCCTGGGAC-----ATCTCTCTTGC.................2211.000.000.000.001.00
...............GTGAGTG----ATGCCCCAGATAGCT.................................................................................2211.000.000.000.001.00
...............GTGAGTG----ATGCTCCAGATATCT.................................................................................2211.000.000.000.001.00
................................................................................TCCTGGGAC-----ATCTCTCTTGC.................2011.000.000.000.001.00
droEug1
TAATGGGCTACAATGGTGAGTG----ATGCTCCAGATAGCTTCGCAAAGTAAG-G--------A----TA------TAAGTCCTGGGAC-----ATCTCTCTTGCAGTCAAGATCCTAAGACSizeHit CountTotal Norm
droBia1
TCATGGGCTACGACGGTGAGTG----ATGCTCCAGATGGCTGGGCTAAGTGAG-G--------A----CT------TAAGTCCTGGGAC-----ATCTCTCTTGCAGTCAAGATCCTGAAGCSizeHit CountTotal Norm
droTak1
TCATGGGCTACGACGGTGAGTG----ATGCTCCAGCTGGCTTGGCAAAGCGTG-G--------A----TC------TAAGTCCTGGGAC-----ATCTCTCTTGCAGTCAAGATCCTCAAGCSizeHit CountTotal Norm
droEle1
TCATGGGCTACGACGGTGAGTG----ATGCTCCAGAAAGCTTGGCCAAGTGAC-C--------A----CCCATACTTAAGCCCTGGGAC-----ATCTCTCTTGCAGTGAAGGTCCTGAAGCSizeHit CountTotal Norm
droRho1
TCATGGGATACGACGGTGAGTG----ATGCTCCAGATAGCTTGGCTAAGTGAG-G--------A----TTAA----TAAGCCCTGGGAC-----ATCTCTCTTGCAGTGAAGGTCCTGAAGCSizeHit CountTotal Norm
droFic1
TCATGGGCTACCAAGGTGAGTG----ATGCTCCAGATAACTTGGAAAAGTGGG-A--------ATACGGA------TAAGTCC--GGAC-----TTCTCTCTTGCAGTCAAGATTCTGAAATSizeHit CountTotal Norm
droKik1
TGATGGGCTATGACGGTGAGTG----ATGCTCCAGATAGCTTAGTTTAAAAAAAG--------A----TTCA----AAAGTCCTGGGAC-----ATCTCTCTTGCAGTCAAGATCCTGAAGCSizeHit CountTotal Norm
droAna3
TCATGGGCTACGACAGTGAGTG----ATGCTCCAGATAGGTTGGCTTAGGAAGTC--------A----TT------AAAGCCCTGGGAT-----GTCTCTCTTGCAGTTAAGATCCTGAAACSizeHit CountTotal NormV105
Male body
V106
Head
V055
Unknown
V039
Embryo
...............GTGAGTG----ATGCTCCAGATAGGT.................................................................................2212.001.001.000.000.00
...............GTGAGTG----ATGCTCCAGATAGGTTGGCT............................................................................2711.001.000.000.000.00
...............GTGAGTG----ATGCTCCAGATAGGTTGGC.............................................................................2611.001.000.000.000.00
................................................................................CCCTGGGAT-----GTCTCTCTTGCA................2111.000.001.000.000.00
droBip1
TCATGGGCTACGATAGTGAGTG----ATGCTCTAGATAGGTTAGCTGATGAAG-T--------C---TTT------CAAGCCCTAGGTC-----ATCTCTCTTGCAGTTAAAATCCTGAAACSizeHit CountTotal Norm
dp4
TGATGGGCTACGATGGTAAGAG----CTAGCCA-CACAAATTA------TTAG-T--------A----TTTC----TATTTCTCAAAATATTT-CTTTCTTTTGCAGTCAAGATACTAAAGCSizeHit CountTotal NormV112
Male body
V043
Embryo
V051
Head
M022
Male body
droPer1
TGATGGGCTACGATGGTAAGAG----CTAGCCA-CACAAATTA------TTAG-T--------A----TTTC----TATTTCTCAAAATATTC-CTTTCTTTTGCAGTCAAGATCCTAAAGCSizeHit CountTotal NormV111
Male body
V042
Embryo
V050
Head
V057
Head
M021
Embryo
droWil1
TAATGGGTTATGACAGTAAGTTA--GCTGGTAAAGTTGATTTCT------------------------TT------TAACTAATGT-GT-----ATATTTACTGTAGTAAGAATTTTAAAGCSizeHit CountTotal NormV117
Male body
V118
Embryo
V119
Head
M020
Head
..............................................................................................ATATTTACTGTAGGAATA..........181157.001.0066.003.0087.00
........................................................................................T-----ATATTTACTGTAGGAATA..........191149.007.0039.001.00102.00
........................................................................................T-----ATATTTACTGTAGGAAT...........18139.000.005.000.0034.00
.......................................................................................AT-----ATATTTACTGTAGGAA............1816.000.002.000.004.00
................................................................................................ATTTACTGTAGTAGGACT........1813.000.000.000.003.00
..............................................................................................ATATTTACTGTAGGAACA..........1812.000.001.000.001.00
........................................................................................T-----ATATTTACTGTAGGAAAAA.........2011.000.001.000.000.00
..............................................................................................ATATTTACTGTAGAAATA..........1811.000.000.000.001.00
...............................................................................................TATTTACTGTAGTAGGACT........1911.000.000.000.001.00
...............................................................................................TATTTACTGTAGGAAAAA.........1811.000.001.000.000.00
..............................................................................................ATATTTACTGTAGTAATA..........1811.000.001.000.000.00
...............................................................................................TATTTACTGTAGGAGGAA.........1811.000.001.000.000.00
........................................................................................T-----ATATTTACTGTAGTAATA..........1911.000.000.000.001.00
........................................................................................T-----ATATTTACTGTAGGAAA...........1811.000.001.000.000.00
.......................................................................................GA-----ATATTTACTGTAGGAA............1811.000.001.000.000.00
...............................................................................................TATTTACTGTAGTAGGAAT........1911.000.000.000.001.00
droVir3
TTGTGGGCTACGAAAGTAAGTA----T-TTACTTGATAACTCGTT------AA-ACCTAAAGTC----TGTT----AACCACTCTTATAACTATG-CATCTAAACAGTTAAGGTACTAAAGASizeHit CountTotal NormV116
Male body
V053
Unknown
V047
Embryo
M027
Male body
M028
Head
droMoj3
TAATGGGCTACGATGGTAAATG-CTGATGTTCATGAATATTTATCCAAGTAAT-T--------T----------------CTTTACGTT-----GTCTTCTTAACAGTTAAGGTTTTGAAAASizeHit CountTotal NormV110
Male body
V056
Unknown
V049
Head
V041
Embryo
droGri2
TGGTGGGCTATGATAGTGAGTTG---ATTCTATTGT--AATAATC-AAATC-G-T--------T----TTTG----TTATTTTATAAAC---ATGCCATTTTAACAGTCAAGATACTCAAGASizeHit CountTotal NormV109
Male body

Generated: 04/20/2012 at 05:18:52 EDT