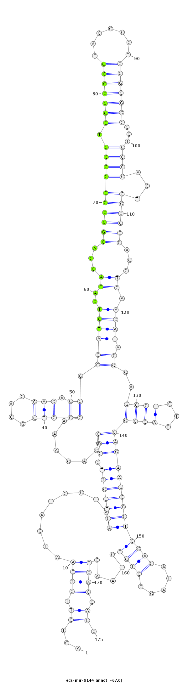
ID:

eca-mir-9144

Coordinate:

chr15:11794771-11794915 -

Confidence:

Known

Class:

Unknown

Genomic Locale:

intergenic

[View on miRBase]

[View on UCSC Genome Browser {Cornell Mirror}]
Legend: mature star mismatch in read

Predicted structure

-67.0 -67.0 -67.0 -67.0

Sense Strand Reads

AGAAGCCTGAGCTGCCTATGGTGGATGAGACCACTACTCTTCTCAATGATCGTAACTCCTTGCTGCACAAAGCCTCGCACGAGAGCGCCATCTGACAGGAGGGCCCGGGGTCCCCCGCCAGCCCTGCGGGGGCCTCCCCAGTGGGCCCACGTGAAGATAGGGAGCCTCTTAGGCCAGAAGGGGTGCAGATAGCCTGTCTAACTGAGCAGCCAGATGGCCTCCAGCCTGTGGGGGACCCGGCCTCA

***********************************................((...((((..((((((.....((.((..((((((.((((((..((...((((((((((.(((((((.......)))))))...))))...))))))...)).)))).))..)).))))..)).)).....))))))..))...........))...))***********************************
Read size # Mismatch Hit Count Total Norm Total SRR871532

testes
.............................................................................................................................................................................................TAGCCTGTCTAACTGAGCAGCCAGATGGCC.......................... 30 0 1 2.00 2 2
..............................................TGATCGTAACTCCTTGCTGCACAAAGCCT.......................................................................................................................................................................... 29 0 1 2.00 2 2
...........................................................TTGCTGCACAAAGCCTCGCACGAGAA................................................................................................................................................................ 26 1 1 1.00 1 1
..........................................................................................TCTGACAGGAGGGCCCGGGGTCCCCCGCCT............................................................................................................................. 30 1 1 1.00 1 1
..................................TACTCTTCTCAATGATCGTAACTCCTTGC...................................................................................................................................................................................... 29 0 1 1.00 1 1
................................................................................................................................................................................................CCTGTCTAACTGAGCAGCCAGATGGCCTCCATT.................... 33 2 1 1.00 1 1
..................................TACTCTTCTCAATGATCGTAACTCCTTGCTGC................................................................................................................................................................................... 32 0 1 1.00 1 1
..........................................TCAATGATCGTAACTCCTTGCTGCAC................................................................................................................................................................................. 26 0 1 1.00 1 1
.........................................................................................................................................................................................CAGATAGCCTGTCTAACTGAGCAGCC.................................. 26 0 1 1.00 1 1
........................................TCTCAATGATCGTAACTCCTTGCT..................................................................................................................................................................................... 24 0 1 1.00 1 1
.........................................................................................................................................................................................CAGATAGCCTGTCTAACTGAGCAGCT.................................. 26 1 1 1.00 1 1
..........................................................................................TCTGACAGGAGGGCCCGGGGTCCCCCGC............................................................................................................................... 28 0 1 1.00 1 1
..........................................................................TCGCACGAGAGCGCCATCTGACAGGAGAA.............................................................................................................................................. 29 2 1 1.00 1 1
..........................................................................TCGCACGAGAGCGCCATCTGACAGGAGT............................................................................................................................................... 28 1 1 1.00 1 1
............................................AATGATCGTAACTCCTTGCTGCACAAAGCCT.......................................................................................................................................................................... 31 0 1 1.00 1 1
.......................................TTCTCAATGATCGTAACTCCTTGCTGCAC................................................................................................................................................................................. 29 0 1 1.00 1 1
.........................................................................CTCGCACGAGAGCGCCATCTGACAGGAGGT.............................................................................................................................................. 30 1 1 1.00 1 1

Anti-sense strand reads

TCTTCGGACTCGACGGATACCACCTACTCTGGTGATGAGAAGAGTTACTAGCATTGAGGAACGACGTGTTTCGGAGCGTGCTCTCGCGGTAGACTGTCCTCCCGGGCCCCAGGGGGCGGTCGGGACGCCCCCGGAGGGGTCACCCGGGTGCACTTCTATCCCTCGGAGAATCCGGTCTTCCCCACGTCTATCGGACAGATTGACTCGTCGGTCTACCGGAGGTCGGACACCCCCTGGGCCGGAGT

***********************************................((...((((..((((((.....((.((..((((((.((((((..((...((((((((((.(((((((.......)))))))...))))...))))))...)).)))).))..)).))))..)).)).....))))))..))...........))...))***********************************
Read size # Mismatch Hit Count Total Norm Total

Generated: 09/01/2015 at 11:42 AM