ID:

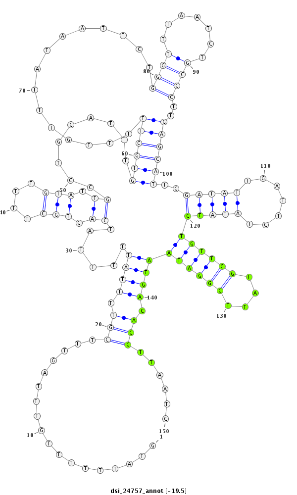
dsi_24757

Coordinate:

x:1867804-1867953 -

Confidence:

Candidate

Type:

Unknown

[View on UCSC Genome Browser {Cornell Mirror}]
Legend: mature star mismatch in alignment mismatch in read

Predicted structure

-19.5 -19.3 -19.2

Flybase annnotation

five_prime_UTR [x_1867989_1868470_-]; CDS [x_1867954_1867988_-]; exon [x_1867954_1868470_-]; intron [x_1865044_1867953_-]

No Repeatable elements found

Sense Strand Reads

##################################################--------------------------------------------------------------------------------------------------------------------------------------------------------------------------------------------------------
TTTTTATTTTGAATAATGGATCGTCGTGCATTGAAGTTTATGCAAAAAAGGTATTTTTTGTTTAGTTTCGTTTTATTTTTATCACTGCTTTTGTATTGCCTGCATTTGTGCTTTTTGTTTATAATTCTGGGTTTAATCTGCCCTTGAGCATTGGATATTGATTCTATATCTGTTCGTATTCGGATAATGACACGTTAATCATAATGCTCGTAAAAATGCAGCGAGTGGATATTCTGTGCTCTCTGTCATC
**************************************************..................(((.(((((.....((.(((....))).)).........((((((...............((((.......))))..)))))).((((((.......))))))(((((....)))))))))).)))......**************************************************
Read size # Mismatch Hit Count Total Norm Total SRR553487
NRT_0-2 hours eggs
SRR553485
Chicharo_3 day-old ovaries
SRR553488
RT_0-2 hours eggs
SRR902008
ovaries
SRR553486
Makindu_3 day-old ovaries
SRR618934
dsim w501 ovaries
M053
female body
GSM343915
embryo
M024
male body
GTTTTCTTTTGAATAATGGAT..................................................................................................................................................................................................................................... 21 2 2 14.00 28 27 0 1 0 0 0 0 0 0
.TTTTCTTTTGAATAATGGATC.................................................................................................................................................................................................................................... 21 1 1 9.00 9 7 1 1 0 0 0 0 0 0
....TCTTTTGAATAATGGATCATT................................................................................................................................................................................................................................. 21 3 11 4.09 45 29 9 7 0 0 0 0 0 0
GTTTTCTTTTGAATAATGGATC.................................................................................................................................................................................................................................... 22 2 1 2.00 2 2 0 0 0 0 0 0 0 0
GTTTTCTTTTGAATAATGGA...................................................................................................................................................................................................................................... 20 2 4 1.75 7 7 0 0 0 0 0 0 0 0
...........AATAATGGATCGTCGTGCATT.......................................................................................................................................................................................................................... 21 0 1 1.00 1 1 0 0 0 0 0 0 0 0
.......TTTGAATAATGGATCGTCGTGCATTGAAG...................................................................................................................................................................................................................... 29 0 1 1.00 1 0 0 0 0 1 0 0 0 0
..TTTATTTTGAATAATGGATCGTCGTGC............................................................................................................................................................................................................................. 27 0 1 1.00 1 1 0 0 0 0 0 0 0 0
........................................................................................................................................................................TCTGTTCGTATTCGGATAATGACACGTT...................................................... 28 0 1 1.00 1 0 1 0 0 0 0 0 0 0
.TTTTATTTTGAATAATGGATCGTCG................................................................................................................................................................................................................................ 25 0 1 1.00 1 0 0 0 1 0 0 0 0 0
.......TTTGAATAATGGATCGTCGTGCATTGA........................................................................................................................................................................................................................ 27 0 1 1.00 1 0 1 0 0 0 0 0 0 0
....TATTTTGAATAATGGATCGTCGTA.............................................................................................................................................................................................................................. 24 1 1 1.00 1 0 0 0 1 0 0 0 0 0
....TATTTTGAATAATGGATCGTCGTGC............................................................................................................................................................................................................................. 25 0 1 1.00 1 0 1 0 0 0 0 0 0 0
...TTCTTTTGAATAATGGATCA................................................................................................................................................................................................................................... 20 2 2 0.50 1 1 0 0 0 0 0 0 0 0
.......TTTGAATAATGGATC.................................................................................................................................................................................................................................... 15 0 2 0.50 1 0 0 1 0 0 0 0 0 0
..................................................................................................................................................................................................................TAACAATGAAGCGAGTGG...................... 18 2 8 0.50 4 0 0 0 0 0 0 4 0 0
....................................TTTATGCAGAAAAGGTAT.................................................................................................................................................................................................... 18 1 3 0.33 1 0 0 0 0 0 1 0 0 0
...TTCTTTTGAATAATGGATCATT................................................................................................................................................................................................................................. 22 3 4 0.25 1 1 0 0 0 0 0 0 0 0
.TTTTCTTTTGAATAATGG....................................................................................................................................................................................................................................... 18 1 5 0.20 1 0 0 1 0 0 0 0 0 0
.....CTTTTGAATAATGGAT..................................................................................................................................................................................................................................... 16 1 5 0.20 1 1 0 0 0 0 0 0 0 0
......................................................................................................................................................................................GATACAGAGACGTTAATCAT................................................ 20 3 5 0.20 1 0 0 0 0 0 0 0 1 0
..........................................................................................................................................................................TGTTCGTATCCGGGTAA............................................................... 17 2 7 0.14 1 0 0 0 0 1 0 0 0 0
...........................................................................................................................................GCCCTAGAGCATTGGACTTT........................................................................................... 20 3 9 0.11 1 0 0 0 1 0 0 0 0 0
..........................................................................ATTTTTTTCTCTGCTTCTGTA........................................................................................................................................................... 21 3 20 0.10 2 0 0 0 0 0 0 0 0 2
GTTTTCTTTTGAATAATGGATT.................................................................................................................................................................................................................................... 22 3 10 0.10 1 0 1 0 0 0 0 0 0 0
........................................................................................................................ATAATTCTGGTTATAATC................................................................................................................ 18 2 11 0.09 1 0 0 0 0 0 1 0 0 0
.....CTTTTGAATAATGGATCA................................................................................................................................................................................................................................... 18 2 12 0.08 1 1 0 0 0 0 0 0 0 0
..........................TGCAGTGAAGTTGATGTAAAA........................................................................................................................................................................................................... 21 3 13 0.08 1 0 0 1 0 0 0 0 0 0
...............................................................................................................................................................................GTATTCGGATAATGGAACAT....................................................... 20 3 13 0.08 1 0 0 0 0 0 1 0 0 0
........................................................................................................................................................................................................ATAAAGCTCGTAAAACTG................................ 18 2 14 0.07 1 0 0 0 0 0 1 0 0 0
....................TAGTCGTGCCTTGAAGTTTT.................................................................................................................................................................................................................. 20 3 14 0.07 1 0 0 0 0 0 1 0 0 0
.........TGAATAATGGATCAT.................................................................................................................................................................................................................................. 15 1 16 0.06 1 0 0 1 0 0 0 0 0 0
.......TTTGAATAATGGATCATT................................................................................................................................................................................................................................. 18 2 18 0.06 1 1 0 0 0 0 0 0 0 0
.................................................................................................................................................GAGCACTGGATTGTGATTC...................................................................................... 19 3 19 0.05 1 0 0 1 0 0 0 0 0 0
..................................................................................................................TTGGTTATAATTCTGGTT...................................................................................................................... 18 2 20 0.05 1 0 0 0 0 0 1 0 0 0
........TTGAATAATGGATCATT................................................................................................................................................................................................................................. 17 2 20 0.05 1 1 0 0 0 0 0 0 0 0

Anti-sense strand reads

AAAAATAAAACTTATTACCTAGCAGCACGTAACTTCAAATACGTTTTTTCCATAAAAAACAAATCAAAGCAAAATAAAAATAGTGACGAAAACATAACGGACGTAAACACGAAAAACAAATATTAAGACCCAAATTAGACGGGAACTCGTAACCTATAACTAAGATATAGACAAGCATAAGCCTATTACTGTGCAATTAGTATTACGAGCATTTTTACGTCGCTCACCTATAAGACACGAGAGACAGTAG
**************************************************..................(((.(((((.....((.(((....))).)).........((((((...............((((.......))))..)))))).((((((.......))))))(((((....)))))))))).)))......**************************************************
Read size # Mismatch Hit Count Total Norm Total SRR553487
NRT_0-2 hours eggs
SRR553485
Chicharo_3 day-old ovaries
SRR553488
RT_0-2 hours eggs
SRR553486
Makindu_3 day-old ovaries
....AGAAAACTTATTACCTAGTA.................................................................................................................................................................................................................................. 20 2 2 4.00 8 8 0 0 0
....AGAAAACTTATTACCTAGTAA................................................................................................................................................................................................................................. 21 3 11 2.64 29 20 8 1 0
...AAGAAAACTTATTACCTAGT................................................................................................................................................................................................................................... 20 2 2 2.50 5 5 0 0 0
...AAGAAAACTTATTACCTAGTA.................................................................................................................................................................................................................................. 21 2 2 2.50 5 4 0 1 0
..AAAGAAAACTTATTACCTAGT................................................................................................................................................................................................................................... 21 2 1 2.00 2 0 2 0 0
.AAAAGAAAACTTATTACCTAG.................................................................................................................................................................................................................................... 21 1 1 2.00 2 0 2 0 0
..AAAGAAAACTTATTACCTAGTA.................................................................................................................................................................................................................................. 22 2 1 1.00 1 1 0 0 0
....AGAAAACTTATTACCTAG.................................................................................................................................................................................................................................... 18 1 1 1.00 1 1 0 0 0
....AGAAAACTTATTACCTAGT................................................................................................................................................................................................................................... 19 2 2 0.50 1 1 0 0 0
.AAAAGAAAACTTATTACCTAT.................................................................................................................................................................................................................................... 21 2 3 0.33 1 0 1 0 0
..............................AACTTCAACTACGTCTTTTGCAT..................................................................................................................................................................................................... 23 3 4 0.25 1 1 0 0 0
....................................................................................................................................................................................................TTAGTATTGCCAGCAGTTT................................... 19 3 20 0.10 2 0 0 0 2
....TGAAAACTTATTACCTAG.................................................................................................................................................................................................................................... 18 2 12 0.08 1 0 1 0 0

Re-alignment of all predicted orthologs

Species Coordinate ID Alignment
droSim2 x:1867754-1868003 - dsi_24757 TTTTTATTTTGAATAATGGATCGTCGTGCATTGAAGTTTATGCAAAAAAGGTATTTTT--TGTTT---AGTTT--------------------------CGTTTTAT---TTTTATCAC-------------T--------------------------------------------------------GCTTTTGTATTGCCTGCATTT------GTG----CTTTTTGTTTATAATT-CTGGG---------------------------------------T------TTA-ATCTGCCCTTGAGCATTGGA----------------------------------------------TATT---GATTCT------ATA--TCTGTTCGTATTCGGAT---AATGACACGTTAATCATAATGCTCGTAAAAATGCAGCG------------------------AGTGGATATTCTGT-GCTCTCT---GTCATC------------------------------------------
droSec2 scaffold_10:1813453-1813702 - TTTTTATTTTGAATAATGGATCGTCGTGCATTGAAGTTTATGCAAAAAAGGTATTTTT--TGTTT---AGTTT--------------------------CGTTTTAT---TTTTATCAC-------------T--------------------------------------------------------GCTTTTGTATTGCCTGCATTT------GTG----CTTTTTGTTTATAATT-CTGGG---------------------------------------A------TTA-ATCTGCTCTTGAGCATTGGA----------------------------------------------TATT---GATTCT------ATA--TCTGCTCGTATTCGGAT---AATGACAAGTTAATCATAATGCTCGTAAAAATGCAGCG------------------------AGTGGATATTCTGT-GCTCTCT---GTCATC------------------------------------------
dm3 chrX:2029852-2030099 - TTTTTATTTTGAATAATGGATCGTCGTGCATTGAAGTTTATGCAAAAAAGGTATTTTT--TGTTT---AGTTT--------------------------GGTTTTAT---TTTTATCAC-------------T--------------------------------------------------------GCTTTTGTACTGCCTGCACTT------GTG----CTTTTTGTTTACAATT-TTTGG---------------------------------------T------TTA-ATCTGCTCTTGAGCATTGGA----------------------------------------------TATT---GATTCT------ATA--TC-----GTATTCGGATAATAATGACACGTTAATCATAATGCTCGTAAAAATGCAGCG------------------------AGTGGATATTCTGT-GCTCTCT---GTCATC------------------------------------------
droEre2 scaffold_4644:1993071-1993317 - TT-TTATTTTGAATAATGGATCGTCGTGCATTGAAGTTTATGCAAAAAAGGTATTTTT--TGTTT---AGTTT--------------------------CGTTTTAT----TTTATCAC-------------TTT------------------------------------------------------GCTTTTGTACTGCCTGCACTT------GTG----CTTTTTGTTTATCATT-CTGGG---------------------------------------T------TTA-ATCTACTCTTGAGCATTGGA----------------------------------------------TATT---GATTCT------ATA--TCTCTTCGTATTTCG------ATGACACGTTAATTATAATGCTTGTAAAAATGCAGCG------------------------AGTGGATATTCTGT-GCTCTCT---GTCATT------------------------------------------
droYak3 X:6293974-6294223 + TT-TTATTTTGAATAATGGATCGTCGTGCATTGAAGTTTATGCAAAAAAGGTATTTTTTTTGTTT---AGTTT--------------------------CGTTTTAT---TTTTATCAC-------------TTT------------------------------------------------------GCTTTTGTACTGCCTGCACTT------GTG----CTTATTGTTTA---AT-CTGGG---------------------------------------T------TTA-ATCTGCTCTTAAGCATTGGA----------------------------------------------TATT---GTTTCT------ATA--TCTGTTCGTATTCGAAT---AATGACACGTTAATCATAATGCTCGTAAAAATGCAGCG------------------------AGTGGATATTCTGT-GCTCTCT---GTCATC------------------------------------------
droEug1 scf7180000409093:86851-87071 + TTTTTATTTTGAATAATGGATCGTCGTGCATTGAAGTTTATGCAAAAAAGGTATTTTT---ATTT---GGTTT--------------------------TGTTATATATTTTTTATTAC-------------TTA------------------------------------------------------CTATTTGTATTGCCTGTTGTT----------------------GTTT--------G---------------------------------------T------TTA--GTTGCTCTTGAATAT-------ATAGTTTG---------------------------------------------TGT------A--TATT-------GTCCGGAT---CGTGACACATTAGCCATCATTCTCGTGGAAGTGCAACG------------------------GG-CGATATTCTGT-GT--TCT---GTCATC------------------------------------------
droBia1 scf7180000301760:2001780-2002037 - TTTTTATTTTGAATAATGGATCGTCGTGCATTGAAGTTTATGCAAAAAAGGTATTTTT--CGTTT---GGTTT--------------------------TGTTTAAT---TTGTGTTACACTTCTCTACGCTTTT-G--------------------------------------------------------TTGTATTGCCTGCGAACGCACTCGTG----CTTTTTGTTATTTGTT-CTGGC--------T--------T--TCTTATTA-------------------T--AGATGCTCTTGAATAT-----------------------------------------------------T---TGTTGT------T--TATG-------GTACGGAT---CGTGAGACGATAGTCATCGTTCTCGTAAAACTGCAACC------------------------AG-AGATATTCTGT-GT--TCT---GTCATC------------------------------------------
droTak1 scf7180000415191:103302-103539 - TTTTTATTTTGAATAATGGATCGTCGTGCATTGAAGTTTATGCAAAAAAGGTATTTTT--CGTTT---GGTTT--------------------------CGTTTTAT----TTTATCAT-------------TTT-A--------------------------------------------------------TTGTATTGCTTGCAATTGCACTCGTG----CTTTTTGTTGTTTGTT-TGGGG---------------------------------------T------TTAAATATGCACTGAAGTAT-----------------------------------------------------T---AATTGT------T--TATT-------GTCCGGAT---CGTGAGACGTTAATCATTATTCTCGTAAAAATGCAGCG------------------------AG-AGATATTCTGT-GT--TCT---GTCATC------------------------------------------
droEle1 scf7180000491001:1563852-1564093 - TTTTTATTTTGAATAATGGATCGTCGTGCATTGAAGTTTATGCAAAAAAGGTATTTTT--CGTTT---GGTTT--------------------------AGTTTAAT----TATATCAC-------------TTTCCTTGTATTG-----GCTT-----------------------------------ACATGTGTTTTGCCTGCAATTGTATTCGTG----TTTTTTGTTTG---TT-TTCGG--------G------------------------------TCAAATTATA-AGTTGCTTTTGAGTAT-----------------------------------------------------G---GATTGA------T--TATT-------GCCCGTAC---GGTTACACGTTTATCAACATTGTAGCAAAATTGAAAA--------------------------------A------------TT---GTCCTC------------------------------------------
droRho1 scf7180000779506:86490-86745 - TTTTTATTTTGAATAATGGATCGTCGTGCATTAAAGTTTATGCAAAAAAGGTATTTTT--TGTTT---GGTTT--------------------------CGTTTAAT---TTTTATCAC-------------TTTCATTGTATTT------CTT-----------------------------------ACATGTGTTTTGCCTGCAATTGTCCCCTGA----CTTTGTATTT---GTT-GTGGG--------A------------------------------TCAAATTTTA-AGTTGCTTTTAAACAT-----------------------------------------------------T---GATTGT------T--TATT-------GCCTGGAT---CGTGACACGTTAAACCACATTGTAATAAAATTGCAGAG---------------------------AGATATTCCCT-GT--TCG---GTCATA------------------------------------------
droFic1 scf7180000454072:3150869-3151121 - TTTTTATTTTAAATAATGGATCGTCGTGCATTGAAGTTTATGCAAAAAAGGTATTTTT--TGTTT---GGTTT--------------------------CGTTTAAT---TTATGTTTTT----TTTG---TTTT-TTTGTATTG------CTG-----------------------------------ACATGTGTTTTGCCTGCAATTGCACTCGCG----ATTTTTGTG---------------------------------------------------------------TTCTCTTGTTGGGTCATGAA----------------------------------------------TATC---GATTGT------T--TATT-------TCCCGGAC---CGAGACACTTTAATCAGTATTATCATAAAACTGCAGTG------------------------GA-AAATATTCTCT-GT--TCTGGTGGCTTC------------------------------------------
droKik1 scf7180000302696:589371-589667 - TTTTTATTTTGAATAATGGATCGTCGTGCATTGAAGTTTATGCAAAAAAGGTATTTTT--AGTTT---GGTTT--------------------------CGTTT--------TTAACAT-------------TTACAATTTGTTTCTTATGCTTACTTGTTTGTGTGTGTGTGTGTGTTTATTTTTACTGCTGCTGTTATGCATGCACTTGCACTTGTGGCTACTTTTTA-----------CG-TTGG----TT--------TTCTCTTTTTCTTT-ACAAGTT-----------------------------------------ATTATTATTATTA-TTTGTATTACTT----------------------T------T--TATT-------TATGGGAT---CAAGACA------------TTATGGTAAACTTGCGCTC---------------------TCAAG-AAATATTCTGT-----TAT---GTTGTC------------------------------------------
droAna3 scaffold_13117:5183331-5183610 + TTTTTATTTTAAATAATGGATCGTCGTGCATTGAAGTTTATGCAAAAAAGGTATTATT--T-TTT---AGTTTAAT-TTTAATTTTTTT-----------------------------T-------------T--------------------------------------------------------ATTTTTGCTTTGCTTGG----------------------------------------------CT--------T--AGTTTTTAATT-AAAAATAT------TTT--C-------TAAATTTTGTATATTTAAGTTATGTTTATAAATATTTTGTATTAAATAATTAATAA-AATA---AATTGT------T--AATT-------GCCTGGAT---CGTGGCATGTTAATGATCATTAAAA----------GAGGGTTCCCAGCACTTTGCAAAAAAAAA-AAAAAATATATGAT--TCT---GTC---------------------------------------------
droBip1 scf7180000396734:35543-35773 - TTTTTATTTTAAATAATGGATCGTCGTGCATTGAAGTTTATGCAAAAAAGGTATTTTT--T-TTT---GT------TA-------------------------------------------------------------------------------------------------------------------TTTA-----------------------------------------TTTTGCTTTG----CT--------T--AGTTTTTAATTTATAAAAA-----------------------------------------AATAT---ATATATTTTGTATTAATTAATTTATAAATAAAATTTGTTGTTTTTTTT--AATG-------GCCTGGAT---CGTGGCATGTTAATCATCATTAA---------GCGGAGGGTTCCCAGCACTTTGC------AAG-AAATAT----G-GT--TCT---GTC---------------------------------------------
dp5 XL_group3a:1840263-1840392 - TTTTTATTTTGTATAATGGATCGTCGTGCATTGAAGTTTATGCAGAAAAGGTATTATT--T-TTC---GT------TT-------------------------------------------------------------------------------------------------------------------TTTC-----------------------------------------TTTTG-TTAG----CT--------T--TCTTTTTATTT-CCAAATA-----------------------------------------AATGAAATTATTA-T----------------------------------TTTTTT------------------------------------------------------------------------------------------------------------CTATCGTTTT------------------------------------------
droPer2 scaffold_11:2845557-2845729 + TTTTTATTTTGTATAATGGATCGTCGTGCATTGAAGTTTATGCAGAAAAGGTATTATT--T-TTC---GT------TT-------------------------------------------------------------------------------------------------------------------TTTC-----------------------------------------TTTTG-TTAG----CT--------T--TCTTTTTATTT-CCAAATA-----------------------------------------AATGAAATTATTA-TA---------------------------------TTTTTT------------------------------------------------------------------------------------------------------------TTATCGTTTTCCGCAGCTGCAGCTGCATATGTGTACATATCTTTATTTGTAA
droWil2 scf2_1100000004909:11893161-11893301 - TTTTTAATTTAAATAATGGATCGTCGTGCATTCAAGTTTATGCAAAAAAGGTATTATTTTCGTTC---GTTTT-------CATTT-T------------CGTTTTAG----TTAATT-------TTTGGGATTTT-G--------------------------------------------TTGTCGCTGCTT-------G-CTGCACTTACACTTTTG----CTTTTTGCT--------------------------------------------------------------------------------------------------------------------------------------------------------------------------------------------------------------------------------------------------------------------------------------------------------------------
droVir3 scaffold_12928:4754062-4754157 - TTTTTATTTTGAATAATGGATCGTCGTGCATTGAAGTTTATGCAAAAAAGGTATTTTG--TGTTTTTTGGTTTT-------------------------TGTT--------------T-----------------------------------------------------------------------------GTTTTC------------------------------------------TTTCGTTATC--------------------------------------------------------------------------------------------------------------------------------------------------------------------------------------------------------------------------------------------------TTT------------------------------------------
droMoj3 scaffold_6308:140807-140918 - TTTTTATTTTGAATAATGGATCGTCGTGCATTGAAGTTTATGCAAAAAAGGTATTTTG--TGTTTCTTGATT--------------TTT-----------------------------T-------------T--------------------------------------------------------GTTTTTGTTTTG------------------------------------------TTTCG----CTTTTAATTTT--AGTTTTTAA--------------------------------------------------------------------------------------------------------------------------------------------------------------------------------------------------------------------------------------------------------------------------
droGri2 scaffold_14853:1630537-1630655 - TTTTTATTTTGAATAATGGATCGTCGTGCATTGAAGTTTATGCAAAAAAGGTATTATTTTTTTTC---GT------TTTTCATTTTTCGTTATTAGTTTTGTTTTA----------------------------------------------------------------------------------------------------------------------------------------------------------------GTTTTTAA---------------------TATCGCATTTGTAT---------------------------------------------------------------------------------------------------------------------------------------------------------------------------------------------------------------------------------------

Re-alignment of all predicted orthologs with sRNA reads

Species Read alignment
droSim2
TTTTTATTTTGAATAATGGATCGTCGTGCATTGAAGTTTATGCAAAAAAGGTATTTTT--TGTTT---AGTTT--------------------------CGTTTTAT---TTTTATCAC-------------T--------------------------------------------------------GCTTTTGTATTGCCTGCATTT------GTG----CTTTTTGTTTATAATT-CTGGG---------------------------------------T------TTA-ATCTGCCCTTGAGCATTGGA----------------------------------------------TATT---GATTCT------ATA--TCTGTTCGTATTCGGAT---AATGACACGTTAATCATAATGCTCGTAAAAATGCAGCG------------------------AGTGGATATTCTGT-GCTCTCT---GTCATC------------------------------------------SizeHit CountTotal NormTotalM023
Head
M024
Male-body
M025
Embryo
M053
Female-body
O001
Testis
O002
Head
SRR553485
Ovary
SRR553486
Ovary
SRR553487
Ovary
SRR553488
Ovary
SRR618934
Ovary
V044
Embryo
SRR902008
Ovary
SRR902009
Testis
SRR1275487
Male larvae
SRR1275485
Male prepupae
SRR1275483
Male prepupae
...........AATAATGGATCGTCGTGCATT............................................................................................................................................................................................................................................................................................................................................................................................................................................................................................................................2111.00100000000100000000
.......TTTGAATAATGGATCGTCGTGCATTGAAG........................................................................................................................................................................................................................................................................................................................................................................................................................................................................................................................2911.00100000001000000000
..TTTATTTTGAATAATGGATCGTCGTGC...............................................................................................................................................................................................................................................................................................................................................................................................................................................................................................................................2711.00100000000100000000
.................................................................................................................................................................................................................................................................................................................................................................................................TCTGTTCGTATTCGGAT---AATGACACGTT............................................................................................................................2811.00100000010000000000
.TTTTATTTTGAATAATGGATCGTCG..................................................................................................................................................................................................................................................................................................................................................................................................................................................................................................................................2511.00100000000000010000
.......TTTGAATAATGGATCGTCGTGCATTGA..........................................................................................................................................................................................................................................................................................................................................................................................................................................................................................................................2711.00100000010000000000
....TATTTTGAATAATGGATCGTCGTA................................................................................................................................................................................................................................................................................................................................................................................................................................................................................................................................2411.00100000000000010000
....TATTTTGAATAATGGATCGTCGTGC...............................................................................................................................................................................................................................................................................................................................................................................................................................................................................................................................2511.00100000010000000000
.......TTTGAATAATGGATC......................................................................................................................................................................................................................................................................................................................................................................................................................................................................................................................................1520.50100000000010000000
droSec2
TTTTTATTTTGAATAATGGATCGTCGTGCATTGAAGTTTATGCAAAAAAGGTATTTTT--TGTTT---AGTTT--------------------------CGTTTTAT---TTTTATCAC-------------T--------------------------------------------------------GCTTTTGTATTGCCTGCATTT------GTG----CTTTTTGTTTATAATT-CTGGG---------------------------------------A------TTA-ATCTGCTCTTGAGCATTGGA----------------------------------------------TATT---GATTCT------ATA--TCTGCTCGTATTCGGAT---AATGACAAGTTAATCATAATGCTCGTAAAAATGCAGCG------------------------AGTGGATATTCTGT-GCTCTCT---GTCATC------------------------------------------SizeHit CountTotal NormTotalM054
Female-body
V113
Male-body
V114
Embryo
V115
Head
No Reads
dm3
TTTTTATTTTGAATAATGGATCGTCGTGCATTGAAGTTTATGCAAAAAAGGTATTTTT--TGTTT---AGTTT--------------------------GGTTTTAT---TTTTATCAC-------------T--------------------------------------------------------GCTTTTGTACTGCCTGCACTT------GTG----CTTTTTGTTTACAATT-TTTGG---------------------------------------T------TTA-ATCTGCTCTTGAGCATTGGA----------------------------------------------TATT---GATTCT------ATA--TC-----GTATTCGGATAATAATGACACGTTAATCATAATGCTCGTAAAAATGCAGCG------------------------AGTGGATATTCTGT-GCTCTCT---GTCATC------------------------------------------SizeHit CountTotal NormTotalGSM154618
Ovary
GSM154620
Ovary
GSM154621
Ovary
GSM154622
Ovary
GSM180328
Head
GSM180329
Mixed-body
GSM180330
Embryo
GSM180331
Embryo
GSM180332
Embryo
GSM180333
Embryo
GSM180334
Larvae
GSM180335
Disc
GSM180336
Pupae
GSM180337
S2
GSM231091
Ovary
GSM239041
Head
GSM239050
Head
GSM239051
S2
GSM239052
S2
GSM246084
Head
GSM266765
S2
GSM280082
Ovary
GSM280083
Ovary
GSM280084
Ovary
GSM280085
Testis
GSM280086
Ovary
GSM280087
S2-NP
GSM280088
S2-NP
GSM312995
Head
GSM313160
Head
GSM313161
Head
GSM313162
Head
GSM313163
Head
GSM313164
Head
GSM313165
Head
GSM343287
Embryo
GSM379050
Ovary
GSM379051
Ovary
GSM379052
Ovary
GSM379053
Ovary
GSM379054
Ovary
GSM379055
Ovary
GSM379056
Ovary
GSM379057
Ovary
GSM379058
Ovary
GSM379059
Ovary
GSM379060
Ovary
GSM379061
Ovary
GSM379062
Ovary
GSM379063
Ovary
GSM379064
Ovary
GSM379065
Ovary
GSM379066
Ovary
GSM379067
Ovary
GSM424739
S2
GSM424740
S2
GSM424741
S2
GSM467729
Female-body
GSM467730
Female-body
GSM467731
Female-body
M002
CS
M003
Male-body
M004
Male-body
M005
ML-DmD32
M006
ML-DmD32
M029
OSC
M030
OSC
M031
OSC
M032
S2-R+
M033
S2-R+
M034
S2-R+
M035
S2-R+
M036
S2-R+
M037
S2-R+
M038
S2-R+
M039
S2-R+
M048
S2-R+
OSS2
OSS
OSS6
OSS
OSS7
OSS
OSS8
OSS
S1
Head
S10
Embryo
S11
Embryo
S12
Embryo
S13
Embryo
S14
Embryo
S15
S2-GMR
S16
Kc
S17
Larvae
S18
Larvae
S19
Pupae
S2
Head
S20
Pupae
S21
Disc
S22
Head
S23
Female-body
S24
Male-body
S25
Larvae
S26
Larvae
S27
Pupae
S28
Pupae
S29
Head
S3
Male-body
S30
S2-GMR
S31
S2
S32
S2
S33
Kc
S34
Kc
S35
Kc
S4
Female-body
S5
Disc
S6
Embryo
S7
Embryo
S8
S2
S9
Embryo
SRR001337
Head
SRR001338
Head
SRR001339
Head
SRR001340
Head
SRR001341
Head
SRR001342
Head
SRR001343
Head
SRR001344
Head
SRR001345
Head
SRR001346
Head
SRR001347
Head
SRR001348
Head
SRR001349
Head
SRR001664
Head
SRR010951
Ovary
SRR010952
Ovary
SRR010953
Ovary
SRR010954
Ovary
SRR010955
Ovary
SRR010956
Ovary
SRR010957
Ovary
SRR010958
Ovary
SRR010959
Ovary
SRR010960
Ovary
SRR014268
Embryo
SRR014269
Embryo
SRR014270
Embryo
SRR014271
Embryo
SRR014272
Embryo
SRR014273
Ovary
SRR014274
Ovary
SRR014275
Ovary
SRR014276
Ovary
SRR014277
Ovary
SRR014278
Ovary
SRR014279
Ovary
SRR014280
Ovary
SRR014281
Ovary
SRR014282
Ovary
SRR023197
S2
SRR023399
S2
SRR023400
S2
SRR023402
S2
SRR023407
S2
SRR029028
S2
SRR029029
S2
SRR029030
S2
SRR029031
S2
SRR029032
S2
SRR029033
S2
SRR029608
Head
SRR029633
Head
SRR030145
gb3
SRR031692
Head
SRR031693
Head
SRR031694
Head
SRR031696
Head
SRR031697
Head
SRR031698
Head
SRR031699
Head
SRR031700
Head
SRR031701
Head
SRR031702
Head
SRR031703
Head
SRR031704
Head
SRR032092
S2
SRR032093
S2
SRR032094
S2
SRR032095
S2-NP
SRR032096
S2-NP
SRR032152
Head
SRR060643
Testis
SRR060644
Ovary
SRR060645
Testis
SRR060646
Ovary
SRR060647
Ovary
SRR060648
Ovary
SRR060649
Ovary
SRR060650
Testis
SRR060651
Ovary
SRR060652
Testis
SRR060653
Ovary
SRR065151
Ovary
SRR065152
Ovary
SRR065153
Ovary
SRR065154
Ovary
SRR065155
Ovary
SRR065800
Ovary
SRR065801
Ovary
SRR065802
Ovary
SRR065803
Ovary
SRR065804
Ovary
SRR065805
Ovary
SRR065806
Ovary
SRR065807
Ovary
SRR097865
S2-NP
SRR097866
S2-NP
SRR097867
S2-NP
SRR298536
Ovary
SRR298537
Ovary
SRR298711
Ovary
SRR298712
Ovary
SRR317110
Ovary
SRR317111
Ovary
SRR317112
Ovary
SRR317113
Ovary
SRR317114
Ovary
SRR317115
Ovary
SRR317116
Ovary
SRR317117
Ovary
SRR341115
S2
SRR341116
S2
SRR341117
S2
SRR341118
S2
SRR351332
Mixed-body
SRR351333
Mixed-body
T004
OSC
T005
CME-L1
V001
Embryo
V002
Embryo
V003
S2
V006
Female-body
V007
Head
V008
S2
V009
CME-L1
V010
ML-DmD20-C5
V011
Sg4
V012
Male-body
V013
Head
V014
DTT
V015
DreRFHV
V018
Kc167
V019
GM2
V020
S2-R+
V021
ML-DmD21
V022
ML-DmD32
V023
Head
V024
Kc167
V025
S2-R+
V026
1182-2H
V027
ML-DmD21
V028
CME-W1-Cl.8+
V029
ML-DmD9
V030
ML-DmD8
V031
GM2
V032
S1
V033
CME-W1-Cl.8+
V034
ML-DmD16-C3
V035
ML-DmD32
V036
ML-DmD20-C5
V037
S2
V038
S2
V063
Ovary
V0632
Ovary
V064
Ovary
V0642
Ovary
V065
Ovary
V0652
Ovary
V066
Ovary
V0662
Ovary
V067
S2-NP
V073
mbn2
V074
S3
V075
ML-DmBG1-C1
V076
ML-DmBG3-C2
V077
Head
V078
Head
V079
Head
V080
Head
V081
Embryo
V082
Embryo
V083
Male-body
V084
Female-body
V085
CME-W2
V086
Female-body
V088
Ovary
V0882
Ovary
V089
Ovary
V0892
Ovary
V090
Male-body
V091
fGS/OSS
V092
Male-body
V093
Male-body
V094
S2-R+
V095
S2-R+
V096
Ovary
V097
Ovary
V098
Ovary
V125
ML-DmD9
V126
CME-L1
V127
G2
V128
S3
V129
ML-DmBG1-C1
V130
ML-DmBG3-C2
V131
ML-DmD16-C3
V132
ML-DmD32
V133
Sg4
V134
ML-DmD8
V135
CME-W2
V136
Male-body
V137
Head
V138
Male-body
V139
Female-body
V140
Female-body
V141
Female-body
V142
Female-body
V144
OSC
V145
S2
V146
S1
V147
1182-2H
V148
mbn2
GSM1528798
follicle cells
....................................................................................................................................................................................................................................................................................................................................................................................................................................................TGCAGCG------------------------AGTGGATATTCTGT-GCTC......................................................2513.0030000000000000000000000000000000000000001000000000000000000000000000000000000010000000000000000000000000000000000000000000000000000000000000000000000000000000000000000000000000000000000000000000000000000000000000000000000000000000000000000000000000000000000000000000000000000000000000000000000000000000000000000000000000000100000
..........GAATAATGGATCGTCGTGCATTGAAGT.......................................................................................................................................................................................................................................................................................................................................................................................................................................................................................................................2711.0010000000000000000000000000000000000000000000000000000000000000000000000000000000000000000000000000000000000000000000000000000000000000000000000000000000000000000000000000000000000000000000000000000000000000000000000000000000000000000000000000000000000000000000000000000000000000000000000000000000000000000000000000001000000000000
.............................................................................................................................................................................................................................................................................................................................................................................................................................................GTAAAAATGCAGCG------------------------AGTGGA...................................................................2011.0010000000000000000000000000000000000000000000000000000000000000000000000000000000000000000000000000010000000000000000000000000000000000000000000000000000000000000000000000000000000000000000000000000000000000000000000000000000000000000000000000000000000000000000000000000000000000000000000000000000000000000000000000000000000000000
.............TAATGGATCGTCGTGCATTGA..........................................................................................................................................................................................................................................................................................................................................................................................................................................................................................................................2111.0010000000000000000000000000000000000000000000000000000000000000000000000000000000000000000000000000000000000000000000000000000000000000000000000000000000000000000000000000000000000000000000000000000000000000000000000000000000000000000000000000000000000000000000000000000000000100000000000000000000000000000000000000000000000000000
............................................................................................................................................................................................................................................ATT-TTTGG---------------------------------------T------TTA-ATCTGCTCTTGAGC.......................................................................................................................................................................................................................................2611.0010000000000000000000000000000000000000000000000000000000000000000000000000000000000000000000000000000000000000000000000000000000000000000000000000000000000000000000000000000000000000000000000000000000000000000000000000000000010000000000000000000000000000000000000000000000000000000000000000000000000000000000000000000000000000000
................................................................................................................................................................................................................................................................................................................TGAGCATTGGA----------------------------------------------TATT---GAT.........................................................................................................................................................................1811.0010000000000000000000000000000000000000000000000000000000000000000000000000000000000000000000000000000000000000000000000000000000000000000000000000000000000000000000000000000000000000000000000000000000000000000000000000000000000000000000000000000000000000000000000010000000000000000000000000000000000000000000000000000000000000000
........TTGAATAATGGATCGTCGTGC...............................................................................................................................................................................................................................................................................................................................................................................................................................................................................................................................2111.0010000000000000000000000000000000000000000000000000000000000000000000000000000000000000000000000000000000000000000000000000000000000000000100000000000000000000000000000000000000000000000000000000000000000000000000000000000000000000000000000000000000000000000000000000000000000000000000000000000000000000000000000000000000000000000
...............................................................................................................................................................................................................................................................................................................................................................................................................................................AAAAATGCAGCG------------------------AGTGGATATTCTGT-..........................................................2611.0010000000000000000000000000000000000000000000000000000000000000000000000000000000000000000000000000000000000000000000000000000000000000000000000000000000000000000000000000000000000000000000000000000000000000000000000000000000000000000000000000000000000000000000000000000000000000000000000000000000000000000000000000000000000100000
....................................................................................................................................................................................................................................TGTTTACAATT-TTTGG---------------------------------------T------TTA-A....................................................................................................................................................................................................................................................2111.0010000000000000000000000000000000000000000000000000000000000000000000000000000000000000000000000000000000000000000000000000000000000000000000000000000000000000000000000000000000000000000000000000000000000000000000000000000000000000000000001000000000000000000000000000000000000000000000000000000000000000000000000000000000000000000
..................................................................................................................................................................................................................................................................................................................AGCATTGGA----------------------------------------------TATT---GATTCT------ATA--...........................................................................................................................................................2211.0010000000000000000000000000000000000000000000000000000000000000000000000000000000000000000000000000000000000000000000000000000000000000000000000000000000000000000000000000000000000000000000000000000000000000000000000000000000000100000000000000000000000000000000000000000000000000000000000000000000000000000000000000000000000000000
....................TCGTCGTGCATTGAAGTT......................................................................................................................................................................................................................................................................................................................................................................................................................................................................................................................1811.0010000000000000000000000000000000000000000000000000000000000000000000000000000000000000000100000000000000000000000000000000000000000000000000000000000000000000000000000000000000000000000000000000000000000000000000000000000000000000000000000000000000000000000000000000000000000000000000000000000000000000000000000000000000000000000
..............................................................................................................................................................................................................................................................................................................................................................................................................................................TAAAAATGCAGCG------------------------AGTGGAT..................................................................2011.0010000000000000000000000000000000000000000000000000000000000000000000000000000000000000000000000000000000000000000000000000000000000000000000000000000000000000000000000000000000000000000000000000000000000000000000000000000000000000000000000000000000000000000000000000000000000000000000000000000000000000000000000000000000000100000
...............................TGAAGTTTATGCAAAAAAG..........................................................................................................................................................................................................................................................................................................................................................................................................................................................................................................1911.0010000000000000000000000000000000000000000000000000000000000000000000000000000000000000000000000000000000000000000000000000000000000000000000000000000000000000000000000000000000000000000000000000000000000000000000000000000000000000000000000000000000000000000000000000000000000000000100000000000000000000000000000000000000000000000
................................................................................................................................................................................................................................................TTTGG---------------------------------------T------TTA-ATCTGCTCTTGAGCATT....................................................................................................................................................................................................................................2611.0010000000000000000000000000000000000000000000000000000000000000000000000000000001000000000000000000000000000000000000000000000000000000000000000000000000000000000000000000000000000000000000000000000000000000000000000000000000000000000000000000000000000000000000000000000000000000000000000000000000000000000000000000000000000000000
.........................................................................................................................................................................................................................................................................................................................................................................................................................ACACGTTAATCATAATGCT................................................................................................................1911.0010000000000000000000000000000000000000000000000000000000000000000000000000000000000000000000000000000000000000000000000000000000000000000000000000000000000000000000000000000000000000000000000000000000000000000000000000000000000000000000000000000000000000000000000000000000000000000000000100000000000000000000000000000000000000000
.................GGATCGTCGTGCATTGAAGTT......................................................................................................................................................................................................................................................................................................................................................................................................................................................................................................................2111.0010000000000000000000000000000000000000000000000000000000000000000000000000000000000000000000000000000000000000000000000000000000000000000000000000000000000000000000000000000000000000000000000000000000000000000000000000000000000000000000000000000000000000000000000000000000000000100000000000000000000000000000000000000000000000000
......TTTTGAATAATGGATCGTCGTGCAT.............................................................................................................................................................................................................................................................................................................................................................................................................................................................................................................................2511.0010000000000000000000000000000000000000000000000000000000000000000000000000000000000000000000000000000000000000000000000000000000000000000000000000000000000000000000000000000000000000000000010000000000000000000000000000000000000000000000000000000000000000000000000000000000000000000000000000000000000000000000000000000000000000000
..........GAATAATGGATCGTCGTGCA..............................................................................................................................................................................................................................................................................................................................................................................................................................................................................................................................2011.0010000000000000000000000000000000000000000000000000000000000000000000000000000000000000000000000000000000000000000000000000000000000000000000000000000000000000000000000000000000000000000000000000000000000000000000000000000000000000000000100000000000000000000000000000000000000000000000000000000000000000000000000000000000000000000
...............ATGGATCGTCGTGCATTGAAG........................................................................................................................................................................................................................................................................................................................................................................................................................................................................................................................2111.0010000000000000000000000000000000000000000000000000000000000000000000000000000000000000000000000000000000000000000000000000000000000000000000000000000000000000000000000000000000000000000000000000000000000100000000000000000000000000000000000000000000000000000000000000000000000000000000000000000000000000000000000000000000000000000
droEre2
TT-TTATTTTGAATAATGGATCGTCGTGCATTGAAGTTTATGCAAAAAAGGTATTTTT--TGTTT---AGTTT--------------------------CGTTTTAT----TTTATCAC-------------TTT------------------------------------------------------GCTTTTGTACTGCCTGCACTT------GTG----CTTTTTGTTTATCATT-CTGGG---------------------------------------T------TTA-ATCTACTCTTGAGCATTGGA----------------------------------------------TATT---GATTCT------ATA--TCTCTTCGTATTTCG------ATGACACGTTAATTATAATGCTTGTAAAAATGCAGCG------------------------AGTGGATATTCTGT-GCTCTCT---GTCATT------------------------------------------SizeHit CountTotal NormTotalM055
Female-body
M057
Embryo
V060
Head
V040
Embryo
V107
Male-body
V108
Head
GSM1528801
follicle cells
No Reads
droYak3
TT-TTATTTTGAATAATGGATCGTCGTGCATTGAAGTTTATGCAAAAAAGGTATTTTTTTTGTTT---AGTTT--------------------------CGTTTTAT---TTTTATCAC-------------TTT------------------------------------------------------GCTTTTGTACTGCCTGCACTT------GTG----CTTATTGTTTA---AT-CTGGG---------------------------------------T------TTA-ATCTGCTCTTAAGCATTGGA----------------------------------------------TATT---GTTTCT------ATA--TCTGTTCGTATTCGAAT---AATGACACGTTAATCATAATGCTCGTAAAAATGCAGCG------------------------AGTGGATATTCTGT-GCTCTCT---GTCATC------------------------------------------SizeHit CountTotal NormTotalM026
Head
M043
Female-body
M056
Embryo
V046
Embryo
V052
Head
V058
Head
V120
Male-body
SRR1275488
Male larvae
SRR1275486
Male prepupae
SRR1275484
Male prepupae
GSM1528802
follicle cells
........................................................................................................................................................................................................................................................................................................................................................................................................................GACACGTTAATCATAATGCTCGT.............................................................................................................2311.00100000010000
................................................................................................................TTATCAC-------------TTT------------------------------------------------------GCTTTTGTACTGCCT................................................................................................................................................................................................................................................................................................................................................2511.00101000000000
.............................ATTGAAGTTTATGCAAAAAA...........................................................................................................................................................................................................................................................................................................................................................................................................................................................................................................2011.00100000010000
droEug1
TTTTTATTTTGAATAATGGATCGTCGTGCATTGAAGTTTATGCAAAAAAGGTATTTTT---ATTT---GGTTT--------------------------TGTTATATATTTTTTATTAC-------------TTA------------------------------------------------------CTATTTGTATTGCCTGTTGTT----------------------GTTT--------G---------------------------------------T------TTA--GTTGCTCTTGAATAT-------ATAGTTTG---------------------------------------------TGT------A--TATT-------GTCCGGAT---CGTGACACATTAGCCATCATTCTCGTGGAAGTGCAACG------------------------GG-CGATATTCTGT-GT--TCT---GTCATC------------------------------------------SizeHit CountTotal NormTotal
No Reads
droBia1
TTTTTATTTTGAATAATGGATCGTCGTGCATTGAAGTTTATGCAAAAAAGGTATTTTT--CGTTT---GGTTT--------------------------TGTTTAAT---TTGTGTTACACTTCTCTACGCTTTT-G--------------------------------------------------------TTGTATTGCCTGCGAACGCACTCGTG----CTTTTTGTTATTTGTT-CTGGC--------T--------T--TCTTATTA-------------------T--AGATGCTCTTGAATAT-----------------------------------------------------T---TGTTGT------T--TATG-------GTACGGAT---CGTGAGACGATAGTCATCGTTCTCGTAAAACTGCAACC------------------------AG-AGATATTCTGT-GT--TCT---GTCATC------------------------------------------SizeHit CountTotal NormTotal
No Reads
droTak1
TTTTTATTTTGAATAATGGATCGTCGTGCATTGAAGTTTATGCAAAAAAGGTATTTTT--CGTTT---GGTTT--------------------------CGTTTTAT----TTTATCAT-------------TTT-A--------------------------------------------------------TTGTATTGCTTGCAATTGCACTCGTG----CTTTTTGTTGTTTGTT-TGGGG---------------------------------------T------TTAAATATGCACTGAAGTAT-----------------------------------------------------T---AATTGT------T--TATT-------GTCCGGAT---CGTGAGACGTTAATCATTATTCTCGTAAAAATGCAGCG------------------------AG-AGATATTCTGT-GT--TCT---GTCATC------------------------------------------SizeHit CountTotal NormTotal
No Reads
droEle1
TTTTTATTTTGAATAATGGATCGTCGTGCATTGAAGTTTATGCAAAAAAGGTATTTTT--CGTTT---GGTTT--------------------------AGTTTAAT----TATATCAC-------------TTTCCTTGTATTG-----GCTT-----------------------------------ACATGTGTTTTGCCTGCAATTGTATTCGTG----TTTTTTGTTTG---TT-TTCGG--------G------------------------------TCAAATTATA-AGTTGCTTTTGAGTAT-----------------------------------------------------G---GATTGA------T--TATT-------GCCCGTAC---GGTTACACGTTTATCAACATTGTAGCAAAATTGAAAA--------------------------------A------------TT---GTCCTC------------------------------------------SizeHit CountTotal NormTotal
No Reads
droRho1
TTTTTATTTTGAATAATGGATCGTCGTGCATTAAAGTTTATGCAAAAAAGGTATTTTT--TGTTT---GGTTT--------------------------CGTTTAAT---TTTTATCAC-------------TTTCATTGTATTT------CTT-----------------------------------ACATGTGTTTTGCCTGCAATTGTCCCCTGA----CTTTGTATTT---GTT-GTGGG--------A------------------------------TCAAATTTTA-AGTTGCTTTTAAACAT-----------------------------------------------------T---GATTGT------T--TATT-------GCCTGGAT---CGTGACACGTTAAACCACATTGTAATAAAATTGCAGAG---------------------------AGATATTCCCT-GT--TCG---GTCATA------------------------------------------SizeHit CountTotal NormTotal
No Reads
droFic1
TTTTTATTTTAAATAATGGATCGTCGTGCATTGAAGTTTATGCAAAAAAGGTATTTTT--TGTTT---GGTTT--------------------------CGTTTAAT---TTATGTTTTT----TTTG---TTTT-TTTGTATTG------CTG-----------------------------------ACATGTGTTTTGCCTGCAATTGCACTCGCG----ATTTTTGTG---------------------------------------------------------------TTCTCTTGTTGGGTCATGAA----------------------------------------------TATC---GATTGT------T--TATT-------TCCCGGAC---CGAGACACTTTAATCAGTATTATCATAAAACTGCAGTG------------------------GA-AAATATTCTCT-GT--TCTGGTGGCTTC------------------------------------------SizeHit CountTotal NormTotal
No Reads
droKik1
TTTTTATTTTGAATAATGGATCGTCGTGCATTGAAGTTTATGCAAAAAAGGTATTTTT--AGTTT---GGTTT--------------------------CGTTT--------TTAACAT-------------TTACAATTTGTTTCTTATGCTTACTTGTTTGTGTGTGTGTGTGTGTTTATTTTTACTGCTGCTGTTATGCATGCACTTGCACTTGTGGCTACTTTTTA-----------CG-TTGG----TT--------TTCTCTTTTTCTTT-ACAAGTT-----------------------------------------ATTATTATTATTA-TTTGTATTACTT----------------------T------T--TATT-------TATGGGAT---CAAGACA------------TTATGGTAAACTTGCGCTC---------------------TCAAG-AAATATTCTGT-----TAT---GTTGTC------------------------------------------SizeHit CountTotal NormTotal
No Reads
droAna3
TTTTTATTTTAAATAATGGATCGTCGTGCATTGAAGTTTATGCAAAAAAGGTATTATT--T-TTT---AGTTTAAT-TTTAATTTTTTT-----------------------------T-------------T--------------------------------------------------------ATTTTTGCTTTGCTTGG----------------------------------------------CT--------T--AGTTTTTAATT-AAAAATAT------TTT--C-------TAAATTTTGTATATTTAAGTTATGTTTATAAATATTTTGTATTAAATAATTAATAA-AATA---AATTGT------T--AATT-------GCCTGGAT---CGTGGCATGTTAATGATCATTAAAA----------GAGGGTTCCCAGCACTTTGCAAAAAAAAA-AAAAAATATATGAT--TCT---GTC---------------------------------------------SizeHit CountTotal NormTotalM044
Female-body
M058
Embryo
V039
Embryo
V055
Head
V105
Male-body
V106
Head
No Reads
droBip1
TTTTTATTTTAAATAATGGATCGTCGTGCATTGAAGTTTATGCAAAAAAGGTATTTTT--T-TTT---GT------TA-------------------------------------------------------------------------------------------------------------------TTTA-----------------------------------------TTTTGCTTTG----CT--------T--AGTTTTTAATTTATAAAAA-----------------------------------------AATAT---ATATATTTTGTATTAATTAATTTATAAATAAAATTTGTTGTTTTTTTT--AATG-------GCCTGGAT---CGTGGCATGTTAATCATCATTAA---------GCGGAGGGTTCCCAGCACTTTGC------AAG-AAATAT----G-GT--TCT---GTC---------------------------------------------SizeHit CountTotal NormTotal
No Reads
dp5
TTTTTATTTTGTATAATGGATCGTCGTGCATTGAAGTTTATGCAGAAAAGGTATTATT--T-TTC---GT------TT-------------------------------------------------------------------------------------------------------------------TTTC-----------------------------------------TTTTG-TTAG----CT--------T--TCTTTTTATTT-CCAAATA-----------------------------------------AATGAAATTATTA-T----------------------------------TTTTTT------------------------------------------------------------------------------------------------------------CTATCGTTTT------------------------------------------SizeHit CountTotal NormTotalM022
Male-body
M040
Female-body
M059
Embryo
M062
Head
V043
Embryo
V051
Head
V112
Male-body
SRR902010
Ovary
SRR902011
Testis
SRR902012
CNS imaginal disc
..........................................................................................................................................................................................................................................................................................................................................AATTATTA-T----------------------------------TTTTTT------------------------------------------------------------------------------------------------------------CTATCG..............................................2111.0010100000000
droPer2
TTTTTATTTTGTATAATGGATCGTCGTGCATTGAAGTTTATGCAGAAAAGGTATTATT--T-TTC---GT------TT-------------------------------------------------------------------------------------------------------------------TTTC-----------------------------------------TTTTG-TTAG----CT--------T--TCTTTTTATTT-CCAAATA-----------------------------------------AATGAAATTATTA-TA---------------------------------TTTTTT------------------------------------------------------------------------------------------------------------TTATCGTTTTCCGCAGCTGCAGCTGCATATGTGTACATATCTTTATTTGTAASizeHit CountTotal NormTotalM021
Embryo
M042
Female-body
V042
Embryo
V050
Head
V057
Head
V111
Male-body
..............AATGGATCGTCGTGCATTGAA.........................................................................................................................................................................................................................................................................................................................................................................................................................................................................................................................2111.001100000
...............ATGGATCGTCGTGCATTGAA.........................................................................................................................................................................................................................................................................................................................................................................................................................................................................................................................2011.001000010
droWil2
TTTTTAATTTAAATAATGGATCGTCGTGCATTCAAGTTTATGCAAAAAAGGTATTATTTTCGTTC---GTTTT-------CATTT-T------------CGTTTTAG----TTAATT-------TTTGGGATTTT-G--------------------------------------------TTGTCGCTGCTT-------G-CTGCACTTACACTTTTG----CTTTTTGCT--------------------------------------------------------------------------------------------------------------------------------------------------------------------------------------------------------------------------------------------------------------------------------------------------------------------SizeHit CountTotal NormTotalM020
Head
M045
Female-body
V117
Male-body
V118
Embryo
V119
Head
No Reads
droVir3
TTTTTATTTTGAATAATGGATCGTCGTGCATTGAAGTTTATGCAAAAAAGGTATTTTG--TGTTTTTTGGTTTT-------------------------TGTT--------------T-----------------------------------------------------------------------------GTTTTC------------------------------------------TTTCGTTATC--------------------------------------------------------------------------------------------------------------------------------------------------------------------------------------------------------------------------------------------------TTT------------------------------------------SizeHit CountTotal NormTotalM027
Male-body
M028
Head
M047
Female-body
M061
Embryo
SRR060654
Ovary
SRR060655
Testis
SRR060656
Ovary
SRR060657
Testis
SRR060658
Ovary
SRR060659
Testis
SRR060660
Ovary
SRR060661
Embryo
SRR060662
Embryo
SRR060663
Embryo
SRR060664
Male-body
SRR060665
Female-body
SRR060666
Male-body
SRR060667
Female-body
SRR060668
Male-body
SRR060669
Female-body
SRR060670
Testis
SRR060671
Male-body
SRR060672
Female-body
SRR060673
Ovary
SRR060674
Ovary
SRR060675
Ovary
SRR060676
Ovary
SRR060677
Ovary
SRR060678
Testis
SRR060679
Testis
SRR060680
Testis
SRR060681
Testis
SRR060682
Embryo
SRR060683
Testis
SRR060684
Embryo
SRR060685
Embryo
SRR060686
Embryo
SRR060687
Embryo
SRR060688
Ovary
SRR060689
Testis
SRR1106712
embryo_0-2h
SRR1106713
embryo_0-2h
SRR1106714
embryo_2-4h
SRR1106715
embryo_4-6h
SRR1106716
embryo_4-6h
SRR1106717
embryo_6-8h
SRR1106718
embryo_6-8h
SRR1106719
embryo_8-10h
SRR1106720
embryo_8-10h
SRR1106721
embryo_10-12h
SRR1106722
embryo_10-12h
SRR1106723
embryo_12-14h
SRR1106724
embryo_12-14h
SRR1106725
embryo_14-16h
SRR1106726
embryo_14-16h
SRR1106727
larvae
SRR1106728
larvae
SRR1106729
mixed whole adult body
SRR1106730
embryo_16-30h
V047
Embryo
V053
Head
V116
Male-body
GSM1528803
follicle cells
.......................................................................TTT-------------------------TGTT--------------T-----------------------------------------------------------------------------GTTTTC------------------------------------------TTTC.....................................................................................................................................................................................................................................................................................................1841.004000000000000000000000000000000000000000000000000000000000000004
................................GAAGTTTATGCAAAAAAG..........................................................................................................................................................................................................................................................................................................................................................................................................................................................................................................1811.001000000100000000000000000000000000000000000000000000000000000000
.TTTTATTTTGAATAATGGATCGT....................................................................................................................................................................................................................................................................................................................................................................................................................................................................................................................................2311.001000000000000000000000000000000000000000000000000000000000000100
.......................................................................TTT-------------------------TGTT--------------T-----------------------------------------------------------------------------GTTTTC------------------------------------------TTTCG....................................................................................................................................................................................................................................................................................................1930.672000010100000000000000000000000000000000000000000000000000000000
droMoj3
TTTTTATTTTGAATAATGGATCGTCGTGCATTGAAGTTTATGCAAAAAAGGTATTTTG--TGTTTCTTGATT--------------TTT-----------------------------T-------------T--------------------------------------------------------GTTTTTGTTTTG------------------------------------------TTTCG----CTTTTAATTTT--AGTTTTTAA--------------------------------------------------------------------------------------------------------------------------------------------------------------------------------------------------------------------------------------------------------------------------SizeHit CountTotal NormTotalM046
Female-body
V041
Embryo
V049
Head
V056
Head
M060
Embryo
V110
Male-body
No Reads
droGri2
TTTTTATTTTGAATAATGGATCGTCGTGCATTGAAGTTTATGCAAAAAAGGTATTATTTTTTTTC---GT------TTTTCATTTTTCGTTATTAGTTTTGTTTTA----------------------------------------------------------------------------------------------------------------------------------------------------------------GTTTTTAA---------------------TATCGCATTTGTAT---------------------------------------------------------------------------------------------------------------------------------------------------------------------------------------------------------------------------------------SizeHit CountTotal NormTotalM041
Female-body
V109
Male-body
No Reads

Generated: 05/18/2015 at 04:03 PM