ID:dsi_10139 |
Coordinate:3l:16306416-16306601 + |
Confidence:Candidate |
Type:Unknown |
[View on UCSC Genome Browser {Cornell Mirror}] |
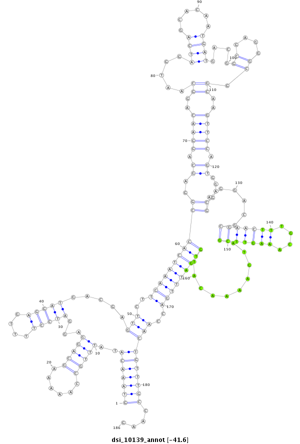
| Legend: | mature | star | mismatch in read |
![]() |
![]() |
![]() |
![]() |
| -41.7 | -41.6 | -41.6 |
![]() |
![]() |
![]() |
exon [3l_16305497_16306415_+]; CDS [3l_16305497_16306415_+]; CDS [3l_16306602_16306988_+]; exon [3l_16306602_16306988_+]; intron [3l_16306416_16306601_+]
No Repeatable elements found
| ##################################################------------------------------------------------------------------------------------------------------------------------------------------------------------------------------------------################################################## GAACCAGCAAGCTGCAGCAGCGCCAGGAGCTGATCAAGAAATCCGAGTCGGTAAACATATTTGCCAAAAAGCAGGAGGATCCTTTTGAGGATGACGAGTTCTTCAAATCACCGGAGCAGGAACAGGCAATGGATCAGCACAATGATGACGGCGAGGGCGGCAAGTTCCAGTGGAGCGAGGACGCGAACTTTGCAAAGTTCGATGAAAACATGTGATTTGACCAACTGTTTGCCAAGGCATCGGGGCAGCGACCGGATCCGGACATCGATAACCACAACTATGCGGA **************************************************(((((((..(((((......)))))...(((((....))))).....(((..(((((((((((..((.(((((..((.....((((......))))....((....)).))..))))).))....))....(((((((((....))))))).)).......)))))))))..))))))))))....************************************************** |
Read size | # Mismatch | Hit Count | Total Norm | Total | M025 embryo |
SRR618934 dsim w501 ovaries |
SRR553488 RT_0-2 hours eggs |
SRR553486 Makindu_3 day-old ovaries |
M024 male body |
GSM343915 embryo |
SRR553485 Chicharo_3 day-old ovaries |
M053 female body |
SRR553487 NRT_0-2 hours eggs |
SRR902009 testis |
|---|---|---|---|---|---|---|---|---|---|---|---|---|---|---|---|
| ..................................................................................................................................................................................................................................................................CGGACATCGATAACCACAAC........ | 20 | 0 | 1 | 1.00 | 1 | 1 | 0 | 0 | 0 | 0 | 0 | 0 | 0 | 0 | 0 |
| .........................................................................................................................................................................................................................................................GACCGGATCCGGACATCG................... | 18 | 0 | 1 | 1.00 | 1 | 1 | 0 | 0 | 0 | 0 | 0 | 0 | 0 | 0 | 0 |
| GAACCAGCAAGCTGCAGCAGCGCCAGGA.................................................................................................................................................................................................................................................................. | 28 | 0 | 1 | 1.00 | 1 | 0 | 0 | 0 | 1 | 0 | 0 | 0 | 0 | 0 | 0 |
| ...............................GATCAAGAAATCCGAGTCGGTAAAC...................................................................................................................................................................................................................................... | 25 | 0 | 1 | 1.00 | 1 | 0 | 0 | 0 | 0 | 1 | 0 | 0 | 0 | 0 | 0 |
| ...........CTGCAGCAGCGCCAGGAGCT............................................................................................................................................................................................................................................................... | 20 | 0 | 1 | 1.00 | 1 | 0 | 0 | 0 | 0 | 0 | 1 | 0 | 0 | 0 | 0 |
| ............................................................................................................................................................................................TTTGCAAAGTTCGATGAAAACATGTGA....................................................................... | 27 | 0 | 1 | 1.00 | 1 | 0 | 0 | 1 | 0 | 0 | 0 | 0 | 0 | 0 | 0 |
| .....................GCCAGGAGCTGATCAAGAAATCCGA................................................................................................................................................................................................................................................ | 25 | 0 | 1 | 1.00 | 1 | 0 | 1 | 0 | 0 | 0 | 0 | 0 | 0 | 0 | 0 |
| .......................................................................................................................................................................................................................................CCTAGGCATCGGGGC........................................ | 15 | 1 | 3 | 0.67 | 2 | 0 | 0 | 0 | 0 | 0 | 0 | 2 | 0 | 0 | 0 |
| ...............................GATCAAGAAATCCGCGTCTGC.......................................................................................................................................................................................................................................... | 21 | 3 | 3 | 0.33 | 1 | 0 | 0 | 0 | 0 | 0 | 0 | 0 | 1 | 0 | 0 |
| ..................................................................................................................................................................................................................................................GCGCCGCGACCGGCTCCGG......................... | 19 | 3 | 20 | 0.20 | 4 | 0 | 0 | 0 | 0 | 0 | 0 | 0 | 0 | 4 | 0 |
| ..........................................................................GAGGATCCATTTGAGG.................................................................................................................................................................................................... | 16 | 1 | 6 | 0.17 | 1 | 0 | 0 | 1 | 0 | 0 | 0 | 0 | 0 | 0 | 0 |
| ................................ATCAAGAAATCCGCGTCTGC.......................................................................................................................................................................................................................................... | 20 | 3 | 7 | 0.14 | 1 | 0 | 0 | 0 | 0 | 0 | 0 | 0 | 1 | 0 | 0 |
| .........................................................................................................................................................................ATAGAGCGAGGACGCTAAC.................................................................................................. | 19 | 3 | 7 | 0.14 | 1 | 0 | 1 | 0 | 0 | 0 | 0 | 0 | 0 | 0 | 0 |
| ..................................................................................TTTTGACGGTGACCAGTTCT........................................................................................................................................................................................ | 20 | 3 | 8 | 0.13 | 1 | 0 | 0 | 0 | 0 | 0 | 0 | 0 | 0 | 0 | 1 |
| ........................................................................................................................................................................................................................................................CGACCGGTTTCGGAC....................... | 15 | 2 | 20 | 0.10 | 2 | 0 | 0 | 2 | 0 | 0 | 0 | 0 | 0 | 0 | 0 |
| ......................................................................................................................................................................................GCGAACTTTGAAAAGT........................................................................................ | 16 | 1 | 12 | 0.08 | 1 | 0 | 1 | 0 | 0 | 0 | 0 | 0 | 0 | 0 | 0 |
| ...........................................................................................................................................................GGCGTCAAGATACAGTGGA................................................................................................................ | 19 | 3 | 15 | 0.07 | 1 | 0 | 0 | 0 | 1 | 0 | 0 | 0 | 0 | 0 | 0 |
| ...........CTGCAGCAGCGACAGGA.................................................................................................................................................................................................................................................................. | 17 | 1 | 20 | 0.05 | 1 | 0 | 1 | 0 | 0 | 0 | 0 | 0 | 0 | 0 | 0 |
| ...............................................................................................................................................................................................GCATAGGTCGAGGAAAACA............................................................................ | 19 | 3 | 20 | 0.05 | 1 | 0 | 0 | 0 | 0 | 0 | 0 | 0 | 0 | 0 | 1 |
|
CTTGGTCGTTCGACGTCGTCGCGGTCCTCGACTAGTTCTTTAGGCTCAGCCATTTGTATAAACGGTTTTTCGTCCTCCTAGGAAAACTCCTACTGCTCAAGAAGTTTAGTGGCCTCGTCCTTGTCCGTTACCTAGTCGTGTTACTACTGCCGCTCCCGCCGTTCAAGGTCACCTCGCTCCTGCGCTTGAAACGTTTCAAGCTACTTTTGTACACTAAACTGGTTGACAAACGGTTCCGTAGCCCCGTCGCTGGCCTAGGCCTGTAGCTATTGGTGTTGATACGCCT
**************************************************(((((((..(((((......)))))...(((((....))))).....(((..(((((((((((..((.(((((..((.....((((......))))....((....)).))..))))).))....))....(((((((((....))))))).)).......)))))))))..))))))))))....************************************************** |
Read size | # Mismatch | Hit Count | Total Norm | Total | SRR618934 dsim w501 ovaries |
SRR553486 Makindu_3 day-old ovaries |
SRR553487 NRT_0-2 hours eggs |
SRR553488 RT_0-2 hours eggs |
|---|---|---|---|---|---|---|---|---|---|
| .........................................................................................................................TGGCCGTTACCTAGTCGAGT................................................................................................................................................. | 20 | 2 | 1 | 1.00 | 1 | 1 | 0 | 0 | 0 |
| ..............................................................................................................................................................................................................................TTGACCAACGGGACCGTAGCCCC......................................... | 23 | 3 | 6 | 0.17 | 1 | 1 | 0 | 0 | 0 |
| .............................................................................................................................................................................TCGCTCCTGAGCTTG.................................................................................................. | 15 | 1 | 18 | 0.11 | 2 | 0 | 2 | 0 | 0 |
| ...................................................................................................................................................................................................................................................CCGCCGCCGGCCTAGGCCCG....................... | 20 | 3 | 11 | 0.09 | 1 | 1 | 0 | 0 | 0 |
| .......................................................................................................................................................GCTTCTGCCGTTCAAGG...................................................................................................................... | 17 | 2 | 13 | 0.08 | 1 | 0 | 0 | 0 | 1 |
| ...............................................................................................CTCGAGAATTTTAGTGG.............................................................................................................................................................................. | 17 | 2 | 19 | 0.05 | 1 | 0 | 0 | 1 | 0 |
| ......................................................................................................AGTTTAGTGGCCTGGC........................................................................................................................................................................ | 16 | 2 | 20 | 0.05 | 1 | 0 | 0 | 1 | 0 |
Generated: 04/24/2015 at 04:08 AM