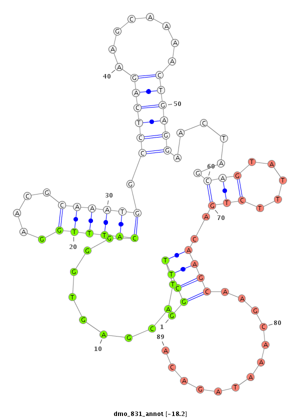
ID:

dmo_831

Coordinate:

scaffold_6482:1112837-1112987 -

Confidence:

Candidate

Type:

Unknown

[View on UCSC Genome Browser {Cornell Mirror}]
Legend: mature star mismatch in alignment mismatch in read

Predicted structure

-18.3 -18.2 -18.2 -18.2

Flybase annnotation

exon [dmoj_GLEANR_14835:2]; CDS [Dmoj\GI14355-cds]; intron [Dmoj\GI14355-in]

Repeatable elements

NameClassFamilyStrand
FW_DMLINEJockey-
mature
  1. scaffold_4872:4077-4098 +
  2. scaffold_6318:10728-10749 -
  3. scaffold_6357:7716-7737 +
  4. scaffold_6362:4139-4160 -
  5. scaffold_6473:14498077-14498098 +
  6. dmo_831  scaffold_6482:1112919-1112940 -
  7. scaffold_6668:3724-3745 +
star
  1. scaffold_4872:4138-4165 +
  2. scaffold_6318:10661-10688 -
  3. dmo_831  scaffold_6482:1112852-1112879 -
  4. scaffold_6668:3785-3812 +

Sense Strand Reads

---------------------------------------------------------------------------------------------------------------------------------------------------------------------------------------------------------##################################################
CGGTCAGATCTCAAAAGGATGAATGAGATGTATGTTCAGCAGCAAACAATACTACAGAGCCTAATGGTTATTGTTTCGAATTTAACATCGAAATAATGGCTTTACGAGTGGGCATTTGGAACGCAAATGGCCTCAGAAGCAAAACTGAGGAACTAGCAGTATTTCTGACAAGCAAGCAAATAGACATAATGCTAATTGCAGAAACTCATGAATGCCCTCACGTCAAATTACTCGGATATGAGCACTATCAG
*************************************************************************************************...((.....((..((....((((.((...(((((((((........))))))..)))...)).))))......))..)).....))..*****************************************************************
Read size # Mismatch Hit Count Total Norm Total M046
female body
M060
embryo
V110
male body
V041
embryo
V056
head
......................................GCAGCAAACAATACTACAGAGCCT............................................................................................................................................................................................. 24 0 4 3.00 12 4 8 0 0 0
..........................................................................................................................................................................................................AACTCATGAATGCCCTCACGTCA.......................... 23 0 5 2.40 12 10 1 1 0 0
.................................................................................................GGCTTTACGAGTGGGCATTTGG.................................................................................................................................... 22 0 7 2.29 16 10 0 1 5 0
.........................................................................................................................................................................................................AAACTCATGAATGCCCTCACGTCA.......................... 24 0 5 1.60 8 7 1 0 0 0
.........................................................................................................................................................................................................AAACTCATGAATGCCCTCACGTC........................... 23 0 5 1.40 7 6 1 0 0 0
......................................GCAGCAAACAATACTACAGAGCC.............................................................................................................................................................................................. 23 0 4 1.25 5 1 4 0 0 0
..............................................................................................................................................................GTATTTCTGACAAGCAAGCAAATAGACA................................................................. 28 0 4 1.25 5 5 0 0 0 0
......................................GCAGCAAACAATACTACAGAGCCTAA........................................................................................................................................................................................... 26 0 4 1.25 5 3 2 0 0 0
..........................................................................................................................................................................................................AACTCATGAATGCCCTCACGTC........................... 22 0 5 1.20 6 4 1 1 0 0
...................................................................................................................TTGGAACGCAAATGGCCTCAGAAGC............................................................................................................... 25 0 5 1.00 5 3 2 0 0 0
......................................................................TTGTTTCGAATTTAACATCGAAATA............................................................................................................................................................ 25 0 3 1.00 3 3 0 0 0 0
..........................................................................................................................................................................................................AACTCATGAATGCCCTCACGTCAA......................... 24 0 5 0.80 4 2 2 0 0 0
.........................................................................................................................................................................................................AAACTCATGAATGCCCTCACGT............................ 22 0 5 0.80 4 4 0 0 0 0
......................................GCAGCAAACAATACTACAGAGCCTA............................................................................................................................................................................................ 25 0 4 0.75 3 3 0 0 0 0
..............................................................................................................................................................GTATTTCTGACAAGCAAGCAAATA..................................................................... 24 0 4 0.75 3 3 0 0 0 0
..............................................................................................................................................................GTATTTCTGACAAGCAAGCAAATAG.................................................................... 25 0 4 0.75 3 3 0 0 0 0
..........................................................................................................................................................................................................AACTCATGAATGCCCTCACGTCAAA........................ 25 0 5 0.60 3 3 0 0 0 0
..............................................................................................................................................................GTATTTCTGACAAGCAAGCAAATAGA................................................................... 26 0 4 0.50 2 2 0 0 0 0
......................................GCAGCAAACAATACTACAGAGCCC............................................................................................................................................................................................. 24 1 4 0.50 2 0 2 0 0 0
..............................................................................................................................................................GTATTTCTGACAAGCAAGCAAATAGAC.................................................................. 27 0 4 0.50 2 2 0 0 0 0
.................................................................................................GGCTTTACGAGTGGGCATTTGGA................................................................................................................................... 23 0 7 0.43 3 3 0 0 0 0
.................................................................................................GGCTTTACGAGTGGGCATTTG..................................................................................................................................... 21 0 7 0.43 3 3 0 0 0 0
.........................................................................................................................................................................................................AAACTCATGAATGCCCTCACGTCAA......................... 25 0 5 0.40 2 2 0 0 0 0
..........................................................................................................................................................................................................AACTCATGAATGCCCTCACGTCAAATTA..................... 28 0 5 0.40 2 2 0 0 0 0
.....................................................................................................................GGAACGCAAATGGCCTCAGAAGCA.............................................................................................................. 24 0 5 0.40 2 2 0 0 0 0
..........................................................................................................................................................................................................AACTCATGAATGCCCTCACGTCAAATT...................... 27 0 5 0.40 2 1 1 0 0 0
............................TGTATGTTCAGCAGCAAACAATAC....................................................................................................................................................................................................... 24 0 5 0.40 2 2 0 0 0 0
..............................................................................AATTTAACATCGAAATAATGGCTTT.................................................................................................................................................... 25 0 3 0.33 1 1 0 0 0 0
....................................................................................................................................................................CTGACAAGCAAGCAAATAGACAT................................................................ 23 0 3 0.33 1 1 0 0 0 0
..........................................................................................................................................................................AGAAAGCAAATAGACATAATGCT.......................................................... 23 1 3 0.33 1 0 1 0 0 0
.................................................................................................................................................................TTTCTGACAAGCAAGCATATAGACATA............................................................... 27 1 3 0.33 1 0 0 1 0 0
.............AAAGGATGAATGAGATGTATGTTCA..................................................................................................................................................................................................................... 25 0 6 0.33 2 1 0 1 0 0
..............................................................................................................................................................GTATTTCTGACAAGCAAGCAAATAGACAT................................................................ 29 0 3 0.33 1 1 0 0 0 0
.....................................................................ATTGTTTCGAATTTAACATCGAAATA............................................................................................................................................................ 26 0 3 0.33 1 1 0 0 0 0
......................................GCAGCAAACAATACTACAGAGCCTAAT.......................................................................................................................................................................................... 27 0 4 0.25 1 1 0 0 0 0
.......................................CAGCAAACAATACTACAGAGCCTAA........................................................................................................................................................................................... 25 0 4 0.25 1 0 1 0 0 0
......................................GCAGCAAACAATACTACAGAGCCA............................................................................................................................................................................................. 24 1 4 0.25 1 1 0 0 0 0
..................................TTCAGCAGCAAACAATACTACAGAGCC.............................................................................................................................................................................................. 27 0 4 0.25 1 0 1 0 0 0
.....................................AGCAGCAAACAATACTACAGAGCCTAATG......................................................................................................................................................................................... 29 0 4 0.25 1 1 0 0 0 0
..............................................................................................................................................................GGATTTCTGACAAGCAAGCAAATAGA................................................................... 26 1 4 0.25 1 0 1 0 0 0
......................................GCAGCAAACAATACTACAGAGCCTAATT......................................................................................................................................................................................... 28 1 4 0.25 1 1 0 0 0 0
.....................................CGCAGCAAACAATACTACAGAGCCC............................................................................................................................................................................................. 25 2 4 0.25 1 0 1 0 0 0
..............................................................................................................................................................GTATTTCTGACAAGCAAGCAAA....................................................................... 22 0 4 0.25 1 1 0 0 0 0
......................................GCAGCAAACAATACTACAGAGCCTAATC......................................................................................................................................................................................... 28 1 4 0.25 1 1 0 0 0 0
.................................................................................................................................................................TTTCTGACAAGCAAGCAAATAGACA................................................................. 25 0 4 0.25 1 1 0 0 0 0
......................................TCAGCAAACAATACTACAGAGCCC............................................................................................................................................................................................. 24 2 4 0.25 1 0 1 0 0 0
..................................................................................................................................................................TTCTGACAAGCAAGCAAATAGAC.................................................................. 23 0 4 0.25 1 0 1 0 0 0
..............................................................................................................................................................GTATTTCTGACAAGCAAGCAAAT...................................................................... 23 0 4 0.25 1 1 0 0 0 0
..............................................................................................................................................................GGATTTCTGACAAGCAAGCAAATAGAC.................................................................. 27 1 4 0.25 1 0 1 0 0 0
.....................................................................................................................GTAACGCAAATGGCCTCAGAAGC............................................................................................................... 23 1 5 0.20 1 0 1 0 0 0
.....................................................................................................................GGAACGCAAATGGCCTCAGAAG................................................................................................................ 22 0 5 0.20 1 1 0 0 0 0
............................TGTATGTTCAGCAGCAAACAATACTA..................................................................................................................................................................................................... 26 0 5 0.20 1 1 0 0 0 0
.........................................................................................................................................................................................................AAACTCATGAATCCCCTCACGTC........................... 23 1 5 0.20 1 1 0 0 0 0
...........................................................................................................................................................................................................ACTCATGAATGCCCTCACGTC........................... 21 0 5 0.20 1 1 0 0 0 0
.............................................................................................................................................................................................................TCATGAATGCCCTCACGTCAAATTACCCCC................ 30 3 5 0.20 1 0 0 1 0 0
...................................................................................................................TTGGAACGCAAATGGCCTCAGAA................................................................................................................. 23 0 5 0.20 1 0 1 0 0 0
..............................................................................................................................................................................................................CATGAATGCCCTCACGTCA.......................... 19 0 5 0.20 1 1 0 0 0 0
..........................................................................................................................................................................................................AACTCATGAATGCCCTCACGTCAAAA....................... 26 1 5 0.20 1 1 0 0 0 0
...................................................................................................................TTGGAACGCAAATGGCCTCAGAAGCAAA............................................................................................................ 28 0 5 0.20 1 1 0 0 0 0
...................................................................................................................TTGGAACGCAAATGGCCTCAG................................................................................................................... 21 0 5 0.20 1 1 0 0 0 0
................................................................................................................CATTTGGAACGCAAATGGC........................................................................................................................ 19 0 5 0.20 1 1 0 0 0 0
...........................................................................................................................................................................................................ACTCATGAATGCCCTCACGTCAA......................... 23 0 5 0.20 1 1 0 0 0 0
.....................................................................................................................GGAACGCAAATGGCCTCAGAAGC............................................................................................................... 23 0 5 0.20 1 1 0 0 0 0
..........................................................................................................................................................................................................AACTCATGAATGACATCACGTC........................... 22 2 5 0.20 1 0 0 0 0 1
..........................................................................................................................................................................................................AGCTCATGAATGCCCTCACGTCAA......................... 24 1 5 0.20 1 0 1 0 0 0
.........................AGATGTATGTTCAGCAGCAAACAATAC....................................................................................................................................................................................................... 27 0 5 0.20 1 1 0 0 0 0
..........................................................................................................................................................................................................AACTCATGAATGCCCTCACGTCAAATTAC.................... 29 0 5 0.20 1 1 0 0 0 0
............................TGTATGTTCAGCAGCAAACAATA........................................................................................................................................................................................................ 23 0 5 0.20 1 1 0 0 0 0
...................................................................................................................................................................................................AGGCAGAAACTCATGAATGCCCTCAC.............................. 26 2 5 0.20 1 0 1 0 0 0
..........................................................................................................................................................................................................AACTCATGAATGCCCTCACGT............................ 21 0 5 0.20 1 1 0 0 0 0
......................................................................................................................................................................................................CAGAAACTCATGAATGCCCTCACGTC........................... 26 0 5 0.20 1 1 0 0 0 0
.........................................................................................................................................................................................................AAACTCATGAATGCCCTCACGCC........................... 23 1 5 0.20 1 1 0 0 0 0
...............................................................................................................GCATTTGGAACGCAAATGGCC....................................................................................................................... 21 0 5 0.20 1 0 1 0 0 0
........................................................................................................................................................................................................GAAACTCATGAATGCCCTCACGTCA.......................... 25 0 5 0.20 1 1 0 0 0 0
......................................................................................ATCGAAATAATGGCTTTACGAGTGG............................................................................................................................................ 25 0 5 0.20 1 0 1 0 0 0
.............................................................................................................................................................................................TGCTAATTGCAGAAACTCATGAATGCCC.................................. 28 0 5 0.20 1 1 0 0 0 0
......................ATCAGATGTATGTTCAGCAGC................................................................................................................................................................................................................ 21 1 6 0.17 1 0 1 0 0 0
..........TCAAAAGGATGAATGAGATGTATGTTC...................................................................................................................................................................................................................... 27 0 6 0.17 1 0 1 0 0 0
............................................................................................................................................AAAACTGAGGAACTAGCAGTA.......................................................................................... 21 0 6 0.17 1 1 0 0 0 0
..........TCAAAAGGATGAATGAGATGTATGTT....................................................................................................................................................................................................................... 26 0 6 0.17 1 1 0 0 0 0
.......................TGAGATGTATGTTCAGCAGCAAACA........................................................................................................................................................................................................... 25 0 6 0.17 1 1 0 0 0 0
.....................AATGAGATGTATGTTCAGCAGCA............................................................................................................................................................................................................... 23 0 6 0.17 1 1 0 0 0 0
...................TGATTGAGATGTATGTTCAGC................................................................................................................................................................................................................... 21 1 6 0.17 1 0 1 0 0 0
..................................................................................................GCTTTACGAGTGGGCATTTGGA................................................................................................................................... 22 0 7 0.14 1 1 0 0 0 0
...................................................................................................CTTTACGAGTGGGCATTTGG.................................................................................................................................... 20 0 7 0.14 1 1 0 0 0 0
.................................................................................................GGCTTTACGAGTGGGCATTTGGAACG................................................................................................................................ 26 0 7 0.14 1 0 1 0 0 0
.................................................................................................GGCTTTACGAGTGGGCATTTGGAA.................................................................................................................................. 24 0 7 0.14 1 1 0 0 0 0
..................................................................................................GCTTTACGAGTGGGCATTTG..................................................................................................................................... 20 0 7 0.14 1 1 0 0 0 0
...................................................................................................CTTTACGAGTGGGCATTTGGAAC................................................................................................................................. 23 0 7 0.14 1 1 0 0 0 0
........................................................................................................................................AAGCAAAACTGAGGAACTAGC.............................................................................................. 21 0 7 0.14 1 0 0 1 0 0
..........TCAAAAGGATGAATGAGATGTATG......................................................................................................................................................................................................................... 24 0 7 0.14 1 1 0 0 0 0
...................................................................................................................................CTCAGAAGCAAAACTGAGGAACTAGCA............................................................................................. 27 0 7 0.14 1 1 0 0 0 0
.................................................................................................GGCTTTACGAGTGGGCATTTGGAAC................................................................................................................................. 25 0 7 0.14 1 1 0 0 0 0
................................................................................................TGGCTTTACGAGTGGGCATTTGGAAAAG............................................................................................................................... 28 3 7 0.14 1 1 0 0 0 0
.................................................................................................GGCTTTACGAGTGGGCATTTGGAACGC............................................................................................................................... 27 0 7 0.14 1 1 0 0 0 0
....................................................................................................TTTACGAGTGGGCATTTGGAAC................................................................................................................................. 22 0 7 0.14 1 1 0 0 0 0
.................................................................................................GGCTTTACGAGTGGGCATTTGGAAAT................................................................................................................................ 26 2 7 0.14 1 1 0 0 0 0
.......................................................................................................ACGAGTGGGCATTTGGAACGC............................................................................................................................... 21 0 7 0.14 1 0 1 0 0 0
..............................................................................................AATGGCTTTACGAGTGGGCA......................................................................................................................................... 20 0 7 0.14 1 0 0 1 0 0
................................................................................................TGGCTTTACGAGTGGGCATTTGG.................................................................................................................................... 23 0 7 0.14 1 1 0 0 0 0
........................................................................GTTTGGTAGTTAACATCGA................................................................................................................................................................ 19 3 20 0.05 1 0 0 1 0 0
...............TGGATGGTTGAGATGTATG......................................................................................................................................................................................................................... 19 3 20 0.05 1 0 0 0 1 0
........................................................................................CGAAATGATGACTTTAGGA................................................................................................................................................ 19 3 20 0.05 1 0 0 1 0 0
.................................................................................................................................................................................................AATTGCAGAATCCCGTGAAT...................................... 20 3 20 0.05 1 1 0 0 0 0
.................GATGAATCAGATGTAGGAT....................................................................................................................................................................................................................... 19 3 20 0.05 1 0 0 1 0 0

Anti-sense strand reads

GCCAGTCTAGAGTTTTCCTACTTACTCTACATACAAGTCGTCGTTTGTTATGATGTCTCGGATTACCAATAACAAAGCTTAAATTGTAGCTTTATTACCGAAATGCTCACCCGTAAACCTTGCGTTTACCGGAGTCTTCGTTTTGACTCCTTGATCGTCATAAAGACTGTTCGTTCGTTTATCTGTATTACGATTAACGTCTTTGAGTACTTACGGGAGTGCAGTTTAATGAGCCTATACTCGTGATAGTC
*****************************************************************...((.....((..((....((((.((...(((((((((........))))))..)))...)).))))......))..)).....))..*************************************************************************************************
Read size # Mismatch Hit Count Total Norm Total M046
female body
M060
embryo
V110
male body
V041
embryo
V056
head
......................................................GTCTCGGATTACCAATAACAAAGCTT........................................................................................................................................................................... 26 0 5 62.60 313 295 6 5 7 0
.......................................................................................................................................................................................................................GGAGTGCAGTTTAATGAGCCTATACT.......... 26 0 1 60.00 60 52 5 1 2 0
.................................................................................................................................................................................................................................TTAATGAGCCTATACTCGTGATAGT. 25 0 1 21.00 21 20 0 0 1 0
.............................................................................................................................................TTTGACTCCTTGATCGTCATAAAGACT................................................................................... 27 0 6 20.17 121 108 11 0 2 0
..........................................................................................................................................................................................ATTACGATTAACGTCTTTGAGTACTT....................................... 26 0 4 17.00 68 49 3 13 3 0
.......................ACTCTACATACAAGTCGTCGTTTGT........................................................................................................................................................................................................... 25 0 6 16.00 96 94 2 0 0 0
....................................................ATGTCTCGGATTACCAATAACAAAGCTT........................................................................................................................................................................... 28 0 5 13.00 65 55 9 1 0 0
........................................................................................................................................................................................GTATTACGATTAACGTCTTTGAGTACTT....................................... 28 0 4 12.50 50 41 4 4 1 0
.....................................................TGTCTCGGATTACCAATAACAAAGCTT........................................................................................................................................................................... 27 0 5 10.80 54 44 7 2 1 0
...........................................................................................................................................................................................TTACGATTAACGTCTTTGAGTACTT....................................... 25 0 4 9.25 37 26 8 2 1 0
......................................................................................................................................................................................................................GGGAGTGCAGTTTAATGAGCCTATACT.......... 27 0 1 9.00 9 9 0 0 0 0
.......................................................TCTCGGATTACCAATAACAAAGCTT........................................................................................................................................................................... 25 0 5 8.40 42 31 10 1 0 0
..............................................................................................................................................TTGACTCCTTGATCGTCATAAAGACT................................................................................... 26 0 6 8.00 48 45 3 0 0 0
...............................................................................................................................................TGACTCCTTGATCGTCATAAAGACT................................................................................... 25 0 6 7.83 47 33 14 0 0 0
.............TTTCCTACTTACTCTACATACAAGT..................................................................................................................................................................................................................... 25 0 6 7.67 46 38 8 0 0 0
........................................................................................................................................................................................GTATTACGATTAACGTCTTTGAGTACT........................................ 27 0 4 7.50 30 26 1 3 0 0
...................................................GATGTCTCGGATTACCAATAACAAAGCTT........................................................................................................................................................................... 29 0 5 7.20 36 32 2 2 0 0
.....................................................................................................................................................................................................................CGGGAGTGCAGTTTAATGAGCCTATACT.......... 28 0 1 7.00 7 5 1 1 0 0
..........................................................................................................................................................................................ATTACGATTAACGTCTTTGAGTACT........................................ 25 0 4 6.00 24 19 0 4 1 0
......................................................GTCTCGGATTACCAATAACAAAGCT............................................................................................................................................................................ 25 0 5 5.60 28 28 0 0 0 0
........................................................CTCGGATTACCAATAACAAAGCTT........................................................................................................................................................................... 24 0 5 5.20 26 10 14 0 1 1
.................................................................................................CCGAAATGCTCACCCGTAAACCTTGCGT.............................................................................................................................. 28 0 7 5.00 35 12 22 1 0 0
..........................................................................................................................................................................................................................GTGCAGTTTAATGAGCCTATACT.......... 23 0 1 5.00 5 4 1 0 0 0
.......................................................................................................................................................................................................................GGAGTGCAGTTTAATGAGCCTATAC........... 25 0 1 5.00 5 5 0 0 0 0
......................TACTCTACATACAAGTCGTCGTTTGT........................................................................................................................................................................................................... 26 0 6 4.33 26 22 4 0 0 0
........................CTCTACATACAAGTCGTCGTTTGT........................................................................................................................................................................................................... 24 0 8 4.00 32 20 11 0 1 0
....................CTTACTCTACATACAAGTCGTCGTTTGT........................................................................................................................................................................................................... 28 0 6 3.50 21 17 4 0 0 0
...........GTTTTCCTACTTACTCTACATACAAGT..................................................................................................................................................................................................................... 27 0 6 3.00 18 17 1 0 0 0
......................................................................................................................................................................................CTGTATTACGATTAACGTCTTTGAGTACT........................................ 29 0 4 3.00 12 9 2 1 0 0
................................................................................AAATTGTAGCTTTATTACCGAAATGCT................................................................................................................................................ 27 0 3 3.00 9 9 0 0 0 0
............................................................................................................................................................................................................................GCAGTTTAATGAGCCTATACT.......... 21 0 1 3.00 3 2 1 0 0 0
.........GAGTTTTCCTACTTACTCTACATACAAGT..................................................................................................................................................................................................................... 29 0 6 2.67 16 13 3 0 0 0
...................................................................................................GAAATGCTCACCCGTAAACCTTGCGT.............................................................................................................................. 26 0 7 2.29 16 14 2 0 0 0
..................................................................................................................AAACCTTGCGTTTACCGGAGTCTTCGT.............................................................................................................. 27 0 5 2.20 11 6 5 0 0 0
..............TTCCTACTTACTCTACATACAAGT..................................................................................................................................................................................................................... 24 0 6 2.17 13 10 3 0 0 0
..........................................................................................................................................................................................................................GTGCAGTTTAATGAGCCTATACTCGT....... 26 0 1 2.00 2 2 0 0 0 0
..................................................................................................................................................................................................................................TAATGAGCCTATACTCGTGATAGT. 24 0 1 2.00 2 2 0 0 0 0
...........................................................................................................................................................................................TTACGATTAACGTCTTTGAGTACT........................................ 24 0 4 2.00 8 6 2 0 0 0
.......................ACTCTACATACAAGTCGTCGTTTG............................................................................................................................................................................................................ 24 0 6 1.83 11 11 0 0 0 0
................................................................................................................................................GACTCCTTGATCGTCATAAAGACTGTT................................................................................ 27 0 6 1.83 11 11 0 0 0 0
..........................................................CGGATTACCAATAACAAAGCTT........................................................................................................................................................................... 22 0 5 1.80 9 5 4 0 0 0
.................................................................................................................TAAACCTTGCGTTTACCGGAGTCTTCGT.............................................................................................................. 28 0 5 1.80 9 8 1 0 0 0
.........................................................................................................................................................................................TATTACGATTAACGTCTTTGAGTACTT....................................... 27 0 4 1.75 7 5 1 1 0 0
..................................................................................................CGAAATGCTCACCCGTAAACCTTGCGT.............................................................................................................................. 27 0 7 1.71 12 5 7 0 0 0
...................................................................................................................................................................AGACTGTTCGTTCGTTTATCTGTATT.............................................................. 26 0 3 1.67 5 5 0 0 0 0
...................ACTTACTCTACATACAAGTCGTCGTTTGT........................................................................................................................................................................................................... 29 0 6 1.67 10 10 0 0 0 0
..................................................................................ATTGTAGCTTTATTACCGAAATGCT................................................................................................................................................ 25 0 5 1.60 8 7 0 1 0 0
................................................................................................................................................GACTCCTTGATCGTCATAAAGACT................................................................................... 24 0 6 1.50 9 6 3 0 0 0
.....................TTACTCTACATACAAGTCGTCGTTTGT........................................................................................................................................................................................................... 27 0 6 1.50 9 6 3 0 0 0
.........................................................................................................................................................................................TATTACGATTAACGTCTTTGAGTACT........................................ 26 0 4 1.50 6 4 1 1 0 0
...................................................................................................GAAATGCTCACCCGTAAACCTTGCGTTT............................................................................................................................ 28 0 7 1.43 10 8 2 0 0 0
...................................................................................TTGTAGCTTTATTACCGAAATGCT................................................................................................................................................ 24 0 5 1.40 7 7 0 0 0 0
.....................................................CGTCTCGGATTACCAATAACAAAGCTT........................................................................................................................................................................... 27 1 5 1.40 7 0 7 0 0 0
..............................................................................................................................................................................................CGATTAACGTCTTTGAGTACTT....................................... 22 0 5 1.40 7 3 3 0 1 0
.................................................................................................................................................................AAAGACTGTTCGTTCGTTTATCTGTATT.............................................................. 28 0 3 1.33 4 4 0 0 0 0
.................................................................................AATTGTAGCTTTATTACCGAAATGCT................................................................................................................................................ 26 0 5 1.20 6 3 3 0 0 0
.........................................................TCGGATTACCAATAACAAAGCTT........................................................................................................................................................................... 23 0 5 1.20 6 3 3 0 0 0
...................................................................................................................AACCTTGCGTTTACCGGAGTCTTCGT.............................................................................................................. 26 0 5 1.20 6 6 0 0 0 0
.......................ACTCTACATACAAGTCGTCGTTTGTT.......................................................................................................................................................................................................... 26 0 6 1.17 7 7 0 0 0 0
.............................................................................................................................................TTTGACTCCTTGATCGTCATAAAGAC.................................................................................... 26 0 6 1.17 7 6 1 0 0 0
................................................................................................ACCGAAATGCTCACCCGTAAACCTTGCGT.............................................................................................................................. 29 0 7 1.14 8 7 0 1 0 0
.......................................................................................................TGCTCACCCGTAAACCTTGCGTTT............................................................................................................................ 24 0 7 1.14 8 7 0 1 0 0
..................................................................................................................AAACCTTGCGTTTACCGGAGTCTT................................................................................................................. 24 0 5 1.00 5 2 3 0 0 0
.......................................................................................................................................................................................................................GGAGTGCAGTTTAATGAGCCTATATT.......... 26 1 1 1.00 1 0 1 0 0 0
..........................CTACATACAAGTCGTCGTTTGTTAT........................................................................................................................................................................................................ 25 0 5 1.00 5 5 0 0 0 0
...........................................................................................................................................................................................................................TGCAGTTTAATGAGCCTATACT.......... 22 0 1 1.00 1 0 1 0 0 0
.......................................................................................................................................................................................................................GGAGTGCAGTTTAAAGAGCCTATACT.......... 26 1 1 1.00 1 1 0 0 0 0
.............TTTCCTACTTACTCTACATACAATT..................................................................................................................................................................................................................... 25 1 6 1.00 6 0 6 0 0 0
...................................................................................................................................................................................................................TACGGGAGTGCAGTTTAATGAGCCT............... 25 0 1 1.00 1 1 0 0 0 0
....................................................................................................................................................................................................................ACGGGAGTGCAGTTTAATGAGCCT............... 24 0 1 1.00 1 1 0 0 0 0
.................................................................................................................................................................................................................................TTAATGAGCCTATACTCGTGATA... 23 0 1 1.00 1 1 0 0 0 0
........................................................................................................................................................................................GTATTACGATTAACGTCTTTGAGTAC......................................... 26 0 4 1.00 4 4 0 0 0 0
.................................................................................................................................................................................................................................TTAATGAGCCTATACTCGTGATATT. 25 1 1 1.00 1 0 1 0 0 0
..........................................................................................................................................................................................................................GTGCAGTTTAATGAGCCTATACTCGTGAT.... 29 0 1 1.00 1 1 0 0 0 0
........................................................................................................................................................................................................................GAGTGCAGTTTAATGAGCCTATAC........... 24 0 1 1.00 1 1 0 0 0 0
.......................................................................................................................................................................................................................AGAGTGCAGTTTAATGAGCCTATACT.......... 26 1 1 1.00 1 1 0 0 0 0
......................................................................................................................CTTGCGTTTACCGGAGTCTTCGTT............................................................................................................. 24 0 5 1.00 5 3 2 0 0 0
................................................................................................................................................................................................................................TTTAATGAGCCTATACTCGTGATAGT. 26 0 1 1.00 1 1 0 0 0 0
.................................................................................................................................................................................................................................CTAATGAGCCTATACTCGTGATAGT. 25 1 1 1.00 1 0 1 0 0 0
........................................................................................................................................................GATCGTCATAAAGACTGTTCGTTCGTT........................................................................ 27 0 4 1.00 4 4 0 0 0 0
..........AGTTTTCCTACTTACTCTACATACAAGT..................................................................................................................................................................................................................... 28 0 6 1.00 6 6 0 0 0 0
.....................................................................................................AATGCTCACCCGTAAACCTTGCGTTT............................................................................................................................ 26 0 7 0.86 6 6 0 0 0 0
......................................................................................................ATGCTCACCCGTAAACCTTGCGTTT............................................................................................................................ 25 0 7 0.86 6 6 0 0 0 0
.................................................................................................................TAAACCTTGCGTTTACCGGAGTCTT................................................................................................................. 25 0 5 0.80 4 4 0 0 0 0
.....................................................TGTCTCGGATTACCAATAACAAAGCT............................................................................................................................................................................ 26 0 5 0.80 4 4 0 0 0 0
...................................................GATGTCTCGGATTACCAATAACAAAGCT............................................................................................................................................................................ 28 0 5 0.80 4 4 0 0 0 0
....................................................ATGTCTCGGATTACCAATAACAAAGCT............................................................................................................................................................................ 27 0 5 0.80 4 3 1 0 0 0
......................................................GTCTCGGATTACCAATAACAAAGCGT........................................................................................................................................................................... 26 1 5 0.80 4 0 4 0 0 0
.......................................................CCTCGGATTACCAATAACAAAGCTT........................................................................................................................................................................... 25 1 5 0.80 4 0 4 0 0 0
....................................................................................................................ACCTTGCGTTTACCGGAGTCTTCGT.............................................................................................................. 25 0 5 0.80 4 4 0 0 0 0
...........................................................................................................................................................CGTCATAAAGACTGTTCGTTCGTTTAT..................................................................... 27 0 4 0.75 3 3 0 0 0 0
............................................................................................................................................................................................TACGATTAACGTCTTTGAGTACTT....................................... 24 0 4 0.75 3 3 0 0 0 0
..........................................................................................................................................................................................ATTACGATTAACGTCTTTGAGTAC......................................... 24 0 4 0.75 3 3 0 0 0 0
.............TTTCCTACTTACTCTACATACAAG...................................................................................................................................................................................................................... 24 0 6 0.67 4 4 0 0 0 0
...............................................................................................................................................TGACTCCTTGATCGTCATAAAGACTGTT................................................................................ 28 0 6 0.67 4 4 0 0 0 0
...............................................................................................................................................TGACTCCTTGATCGTCATAAAGAC.................................................................................... 24 0 6 0.67 4 4 0 0 0 0
............TTTTCCTACTTACTCTACATACAAGT..................................................................................................................................................................................................................... 26 0 6 0.67 4 4 0 0 0 0
....................................................................................................................................................................GACTGTTCGTTCGTTTATCTGTATT.............................................................. 25 0 3 0.67 2 2 0 0 0 0
..............TTCCTACTTACTCTACATACAAGTCGT.................................................................................................................................................................................................................. 27 0 6 0.67 4 4 0 0 0 0
..............................................................................................................CCGTAAACCTTGCGTTTACCGGAGT.................................................................................................................... 25 0 5 0.60 3 1 2 0 0 0
.....................................................................................................................CCTTGCGTTTACCGGAGTCTTCGT.............................................................................................................. 24 0 5 0.60 3 0 2 1 0 0
......................................................................................................................CTTGCGTTTACCGGAGTCTTCGT.............................................................................................................. 23 0 5 0.60 3 2 1 0 0 0
...............................................................................................................CGTAAACCTTGCGTTTACCGGAGTCTT................................................................................................................. 27 0 5 0.60 3 2 0 0 1 0
.............................................................................................................................................................................................ACGATTAACGTCTTTGAGTACTTACG.................................... 26 0 5 0.60 3 3 0 0 0 0
..............................................................................................................CCGTAAACCTTGCGTTTACCGGAGTCTT................................................................................................................. 28 0 5 0.60 3 2 1 0 0 0
..............................................................................................................CCGTAAACCTTGCGTTTACCGGAGTCT.................................................................................................................. 27 0 5 0.60 3 0 3 0 0 0
.......................................................................................................................TTGCGTTTACCGGAGTCTTCGT.............................................................................................................. 22 0 5 0.60 3 3 0 0 0 0
.................................................................................................CCGAAATGCTCACCCGTAAACCTTGCTT.............................................................................................................................. 28 1 7 0.57 4 0 4 0 0 0
..................................................................................................CGAAATGCTCACCCGTAAACCTTGCTT.............................................................................................................................. 27 1 7 0.57 4 0 4 0 0 0
.....................................................................................................AATGCTCACCCGTAAACCTTGCGT.............................................................................................................................. 24 0 7 0.57 4 4 0 0 0 0
...........GTTTTCCTACTTACTCTACATACAAG...................................................................................................................................................................................................................... 26 0 6 0.50 3 3 0 0 0 0
..........AGTTTTCCTACTTACTCTACATACAAG...................................................................................................................................................................................................................... 27 0 6 0.50 3 3 0 0 0 0
........................................................................................................................................................................................GTATTACGATTAACGTCTTTGAGTATT........................................ 27 1 4 0.50 2 1 1 0 0 0
.............CTTCCTACTTACTCTACATACAAGT..................................................................................................................................................................................................................... 25 1 6 0.50 3 0 3 0 0 0
...........................................................................................................................................................................................CTACGATTAACGTCTTTGAGTACTT....................................... 25 1 4 0.50 2 0 2 0 0 0
...........................................................................................................................................................CGTCATAAAGACTGTTCGTTCGTTTATCT................................................................... 29 0 4 0.50 2 2 0 0 0 0
.....................CTACTCTACATACAAGTCGTCGTTTGT........................................................................................................................................................................................................... 27 1 6 0.50 3 3 0 0 0 0
............................................TTGTTATGATGTCTCGGATTACCAAT..................................................................................................................................................................................... 26 0 4 0.50 2 2 0 0 0 0
.............................................TGTTATGATGTCTCGGATTACCAAT..................................................................................................................................................................................... 25 0 4 0.50 2 2 0 0 0 0
..........................................................................................................................................................................................ATTACGATTAACGTCTTTGAGTACGT....................................... 26 1 4 0.50 2 0 2 0 0 0
........................................................................................................GCTCACCCGTAAACCTTGCGTTT............................................................................................................................ 23 0 7 0.43 3 2 1 0 0 0
.......................................................................................................TGCTCACCCGTAAACCTTGCGT.............................................................................................................................. 22 0 7 0.43 3 3 0 0 0 0
...................................................................................................GAAATGCTCACCCGTAAACCTTGCGTT............................................................................................................................. 27 0 7 0.43 3 2 0 1 0 0
....................................................................................................AAATGCTCACCCGTAAACCTTGCGT.............................................................................................................................. 25 0 7 0.43 3 3 0 0 0 0
.............................................................................................................................................................................................ACGATTAACGTCTTTGAGTACTT....................................... 23 0 5 0.40 2 2 0 0 0 0
..............................................................................................................................................................................................CGATTAACGTCTTTGAGTACTTACG.................................... 25 0 5 0.40 2 1 1 0 0 0
........................................................CTCGGATTACCAATAACAAAGCT............................................................................................................................................................................ 23 0 5 0.40 2 2 0 0 0 0
....................................................ATGTCTCGGATTACCAATAACAAAGCGT........................................................................................................................................................................... 28 1 5 0.40 2 0 2 0 0 0
......................................................GTCTCGGATTACCAGTAACAAAGCTT........................................................................................................................................................................... 26 1 5 0.40 2 2 0 0 0 0
.......................................................TCTCGGATTACCAATAACAAAGCT............................................................................................................................................................................ 24 0 5 0.40 2 2 0 0 0 0
......................................................GTCTCGGATTACCAATAACAA................................................................................................................................................................................ 21 0 5 0.40 2 2 0 0 0 0
.....................................................TGTCTCGGATTACCAATAACAAAGCGT........................................................................................................................................................................... 27 1 5 0.40 2 0 2 0 0 0
......................................................TTCTCGGATTACCAATAACAAAGCTT........................................................................................................................................................................... 26 1 5 0.40 2 1 1 0 0 0
......................................................GTCTCGGATTACCAATAACAAAGC............................................................................................................................................................................. 24 0 5 0.40 2 2 0 0 0 0
......................................................GTCTCGGATTAACAATAACAAAGCTT........................................................................................................................................................................... 26 1 5 0.40 2 2 0 0 0 0
..............................ATACAAGTCGTCGTTTGTTATGAT..................................................................................................................................................................................................... 24 0 5 0.40 2 1 1 0 0 0
....................................................ATGTCTCGGATTACCAGTAACAAAGCTT........................................................................................................................................................................... 28 1 5 0.40 2 2 0 0 0 0
.......................................................................................................................TTGCGTTTACCGGAGTCTTCGTTT............................................................................................................ 24 0 5 0.40 2 2 0 0 0 0
......................................................................................................................CTTGCGTTTACCGGAGTCTTCGTTTT........................................................................................................... 26 0 5 0.40 2 1 0 0 1 0
.....................................................................................GTAGCTTTATTACCGAAATGCT................................................................................................................................................ 22 0 5 0.40 2 1 1 0 0 0
.......................................................................................................................TTGCGTTTACCGGAGTCTTCGTTTT........................................................................................................... 25 0 5 0.40 2 2 0 0 0 0
..............................................................................................................................................................................................CGATTAACGTCTTTGAGTACT........................................ 21 0 5 0.40 2 0 2 0 0 0
........................................................................................................................TGCGTTTACCGGAGTCTTCGTT............................................................................................................. 22 0 5 0.40 2 2 0 0 0 0
.........................TCTACATACAAGTCGTCGTTTGT........................................................................................................................................................................................................... 23 0 8 0.38 3 3 0 0 0 0
.......................................................................................................................................................TGATCGTCATAAAGACTGTTCGTTCGT......................................................................... 27 0 3 0.33 1 1 0 0 0 0
.....................................................................................................................................................................ACTGTTCGTTCGTTTATCTGTATT.............................................................. 24 0 3 0.33 1 1 0 0 0 0
.....................TTACTCTACATACAAGTCGTCGTTTTT........................................................................................................................................................................................................... 27 1 6 0.33 2 0 2 0 0 0
...........................................................................................................................................................................CGTTCGTTTATCTGTATTACG........................................................... 21 0 3 0.33 1 1 0 0 0 0
..............................................................................AAAAATTGTAGCTTTATTACCGAAATGCT................................................................................................................................................ 29 2 3 0.33 1 0 1 0 0 0
.........GAGTTTTCCTACTTACTCTACATACAAG...................................................................................................................................................................................................................... 28 0 6 0.33 2 1 1 0 0 0
...............................................................................TAAATTGTAGCTTTATTACCGAAATGCTG............................................................................................................................................... 29 1 3 0.33 1 1 0 0 0 0
..........................................................CGGATTACCAATAACAAAGCTTAA......................................................................................................................................................................... 24 0 3 0.33 1 1 0 0 0 0
................................................................................................................................................GACTCCTTGATCGTCATAAAGACTGT................................................................................. 26 0 6 0.33 2 2 0 0 0 0
.................................................................................................................................................ACTCCTTGATCGTCATAAAGACT................................................................................... 23 0 6 0.33 2 2 0 0 0 0
...............................................................TACCAATAACAAAGCTTAAAT....................................................................................................................................................................... 21 0 3 0.33 1 1 0 0 0 0
...............................................................................TAAATTGTAGCTTTATTACCGAAATGCT................................................................................................................................................ 28 0 3 0.33 1 1 0 0 0 0
.............................................................................................................................................TTTGACTCCTTGATCGTCATAAAGAGT................................................................................... 27 1 6 0.33 2 0 2 0 0 0
............................................................................................................................................TTTTGACTCCTTGATCGTCATAAAGACT................................................................................... 28 0 6 0.33 2 2 0 0 0 0
.........................................................................AAAGCTTAAATTGTAGCTTTATTACCGA...................................................................................................................................................... 28 0 3 0.33 1 0 1 0 0 0
...................ACTTACTCTACATACAAGTCGTCGT............................................................................................................................................................................................................... 25 0 6 0.33 2 2 0 0 0 0
.............................................................................................................................................TTTGACTCCTTGATCGTCAT.......................................................................................... 20 0 6 0.33 2 2 0 0 0 0
...................................................................................................................................................................AGACTGTTCGTTCGTTTATCTGTAT............................................................... 25 0 3 0.33 1 1 0 0 0 0
..............TTCCTACTTACTCTACATACAATT..................................................................................................................................................................................................................... 24 1 6 0.33 2 0 2 0 0 0
................CCTACTTACTCTACATACAAGTCGT.................................................................................................................................................................................................................. 25 0 6 0.33 2 2 0 0 0 0
................CCTACTTACTCTACATACAAGT..................................................................................................................................................................................................................... 22 0 6 0.33 2 1 1 0 0 0
.CCAGTCTAGAGTTTTCCTACT..................................................................................................................................................................................................................................... 21 0 7 0.29 2 0 2 0 0 0
.................................................................................................CCGAAATGCTCACCCGTAAACCTTGC................................................................................................................................ 26 0 7 0.29 2 1 1 0 0 0
......................................................GTCTCGGATTACCAATAA................................................................................................................................................................................... 18 0 7 0.29 2 2 0 0 0 0
.CCAGTCTAGAGTTTTCCTACTTACTCT............................................................................................................................................................................................................................... 27 0 7 0.29 2 1 1 0 0 0
...........................................................................................TTATTACCGAAATGCTCACCCGTAAACCT................................................................................................................................... 29 0 7 0.29 2 2 0 0 0 0
......................................................................................................ATGCTCACCCGTAAACCTTGCGTT............................................................................................................................. 24 0 7 0.29 2 1 1 0 0 0
...........................................................................................................................................................................................TTACGATTAACGTCTTTGAGTTCTT....................................... 25 1 4 0.25 1 0 1 0 0 0
........................................................................................................................................................................................GTATTACTATTAACGTCTTTGAGTACT........................................ 27 1 4 0.25 1 0 1 0 0 0
.......................................................................................................................................................................................AAAATTACGATTAACGTCTTTGAGTACT........................................ 28 3 4 0.25 1 1 0 0 0 0
..........................................................................................................................................................................................ATTACGATTAACGTCTTTGGGTACTT....................................... 26 1 4 0.25 1 0 0 0 1 0
.......................................................................................................................................................................................TGTATTACGATTAACGTCTTTGAGTACT........................................ 28 0 4 0.25 1 1 0 0 0 0
..........................................................................................................................................................................................ATTACGATTAACGTCTTTGAGTACTTGG..................................... 28 2 4 0.25 1 1 0 0 0 0
........................CTCTACATACAAGTCGTCGTTCGT........................................................................................................................................................................................................... 24 1 8 0.25 2 0 2 0 0 0
.........................................................................................................................................................................................TATTACGATTAACGTCTTTGAGTACGT....................................... 27 1 4 0.25 1 0 1 0 0 0
..................................................................................................................................................................................TTATCTGTATTACGATTAACGTCTTTG.............................................. 27 0 4 0.25 1 0 1 0 0 0
.......................................................................................................................................................................................TGTATTACGATTAACGTCTTTGAGTA.......................................... 26 0 4 0.25 1 0 1 0 0 0
...........................................................................................................................................................................................TTACGATTAACGTCTTTGAGTA.......................................... 22 0 4 0.25 1 1 0 0 0 0
........................................................................................................................................................................................CTATTACGATTAACGTCTTTGAGTACT........................................ 27 1 4 0.25 1 1 0 0 0 0
...............................................................................................................................................TGACTCCTTGATCGTCATAAAGACTGTTC............................................................................... 29 0 4 0.25 1 1 0 0 0 0
........................................................................................................................................................................................GTATTACGATTAACGTCTTTGAGTTCGT....................................... 28 2 4 0.25 1 0 1 0 0 0
.......................................GTCGTTTGTTATGATGTCTCGGAGT........................................................................................................................................................................................... 25 1 4 0.25 1 0 1 0 0 0
.......................................................................................................................................................................................TCGATTACGATTAACGTCTTTGAGTACTT....................................... 29 2 4 0.25 1 1 0 0 0 0
............................................................................................................................................................................................TACGATTAACGTCTTTGAGTACTTCTAG................................... 28 3 4 0.25 1 0 1 0 0 0
............................................................................................................................................................................................TACGATTAACGTCTTTGAGTACTTAC..................................... 26 0 4 0.25 1 1 0 0 0 0
...............................................................................................................................................................ATAAAGACTGTTCGTTCGTTTATCT................................................................... 25 0 4 0.25 1 1 0 0 0 0
........................................................................................................................................................................................GTATTACGATTAACGTCTTTGAGTACGT....................................... 28 1 4 0.25 1 0 1 0 0 0
..........................................................................................................................................................................................ATTACGATTAACGTCTTTGAGTACTTT...................................... 27 1 4 0.25 1 1 0 0 0 0
..................................................................................................................................................................................TTATCTGTATTACGATTAACGTCTTT............................................... 26 0 4 0.25 1 1 0 0 0 0
......................................CGTCGTTTGTTATGATGTCTCGGATT........................................................................................................................................................................................... 26 0 4 0.25 1 1 0 0 0 0
.......................................................................................................................................................................................TGTATTACGATTAACGTCTTTGAGTACTT....................................... 29 0 4 0.25 1 1 0 0 0 0
......................................................................................................................................................................................CTGTATTACGATTAACGTCTTTGAGT........................................... 26 0 4 0.25 1 1 0 0 0 0
..........................................................................................................................................................................................ATTACGATTAACGTCTTTGAGTGCTT....................................... 26 1 4 0.25 1 1 0 0 0 0
.........................................................................................................................................................ATCGTCATAAAGACTGTTCGTTCGT......................................................................... 25 0 4 0.25 1 1 0 0 0 0
..........................................................................................................................................................................................ATTACGATTAACGTCTTTGAGTCCT........................................ 25 1 4 0.25 1 1 0 0 0 0
...........................................................................................................................................................................................TTACGATTAACGTCTTTGA............................................. 19 0 4 0.25 1 1 0 0 0 0
..........................................................................................................................................................................................GTTACGATTAACGTCTTTGAGTACT........................................ 25 1 4 0.25 1 0 0 1 0 0
..............................................................................................................................................................CATAAAGACTGTTCGTTCGTTTATCT................................................................... 26 0 4 0.25 1 1 0 0 0 0
..........................................................................................................................................................................................ATTACGATTAACGTCTTTGAGTACTTC...................................... 27 1 4 0.25 1 1 0 0 0 0
...........................................................................................................................................................................................TTACGATTAACGTCTTTGAGTACTTAA..................................... 27 1 4 0.25 1 1 0 0 0 0
...........................................................................................................................................................................................TTACGATTAACGTCTTTGAGTACTA....................................... 25 1 4 0.25 1 0 1 0 0 0
...........................................................................................................................................................CGCCATAAAGACTGTTCGTTCGTT........................................................................ 24 1 4 0.25 1 1 0 0 0 0
....................................................................................................................................................................................ATCTGTATTACGATTAACGTCTTTGAGT........................................... 28 0 4 0.25 1 1 0 0 0 0
....................................................................................................................................................................GACTGTTCGTTCGTTTATCT................................................................... 20 0 4 0.25 1 0 0 1 0 0
.......................................................................................AGCTTTATTACCGAAATGCTCACCCGT......................................................................................................................................... 27 0 5 0.20 1 1 0 0 0 0
.............................................................................................................................................................................................ACGATTAACGTCTTTGAGTACTTACGG................................... 27 0 5 0.20 1 1 0 0 0 0
...................................................................................TTGTAGCTTTATTACCGAAATGC................................................................................................................................................. 23 0 5 0.20 1 1 0 0 0 0
..........................................................CGGATTACCAATAACAAAGCT............................................................................................................................................................................ 21 0 5 0.20 1 1 0 0 0 0
...............................................................................................................CGTAAACCTTGCGTTTACCGGAGT.................................................................................................................... 24 0 5 0.20 1 1 0 0 0 0
.........................................................CCGGATTACCAATAACAATGCTT........................................................................................................................................................................... 23 2 5 0.20 1 0 1 0 0 0
......................................................................................TAGCTTTATTACCGAAATGCT................................................................................................................................................ 21 0 5 0.20 1 1 0 0 0 0
.................................................................................AATTGTAGCTTTATTACCGAAATGCTC............................................................................................................................................... 27 0 5 0.20 1 0 1 0 0 0
.....................................................CGTCTCGGATTAACAATAACAAAGCTT........................................................................................................................................................................... 27 2 5 0.20 1 0 1 0 0 0
...................................................................................................................GACCTTGCGTTTACCGGAGTCTTCGTTT............................................................................................................ 28 1 5 0.20 1 0 1 0 0 0
......................................................GTCTCCGATTACCAATAACAAAGCTT........................................................................................................................................................................... 26 1 5 0.20 1 1 0 0 0 0
......................................................GTCTCGGATTACCAATAACAAAGCTTCAA........................................................................................................................................................................ 29 1 5 0.20 1 1 0 0 0 0
.......................................................TCTCGGATTACCAATAGCAAAGCTT........................................................................................................................................................................... 25 1 5 0.20 1 1 0 0 0 0
.........................................................TCGGATTACCAATAACAAATCTT........................................................................................................................................................................... 23 1 5 0.20 1 0 1 0 0 0
...................................................................................TTGTAGCTTTATTACCGAAATG.................................................................................................................................................. 22 0 5 0.20 1 1 0 0 0 0
.............................CATACAAGTCGTCGTTTGTTATGAT..................................................................................................................................................................................................... 25 0 5 0.20 1 1 0 0 0 0
.................................................................................................................CAAACCTTGCGTTTACCGGAGTCTT................................................................................................................. 25 1 5 0.20 1 0 1 0 0 0
............................ACATACAAGTCGTCGTTTGTTATGATG.................................................................................................................................................................................................... 27 0 5 0.20 1 1 0 0 0 0
.......................................................................................................TGCTCACCCGTAAACCTTGCGTTTA........................................................................................................................... 25 0 5 0.20 1 1 0 0 0 0
.....................................................................................................................CCTTGCGTTTACCGGAGTCTTCTT.............................................................................................................. 24 1 5 0.20 1 0 1 0 0 0
...................................................................................................................................................................................................AACGTCTTTGAGTACTTACGGGAGT............................... 25 0 5 0.20 1 1 0 0 0 0
..............................................................................................................CCGTAAACCTTGCGTTTACCGGAGTC................................................................................................................... 26 0 5 0.20 1 0 1 0 0 0
..............................................................................................................................................................................................CGATTAACGCCTTTGAGTACTT....................................... 22 1 5 0.20 1 0 1 0 0 0
......................................................................................................................CTTGCGTTTACCGGAGTCTTCGTTT............................................................................................................ 25 0 5 0.20 1 1 0 0 0 0
.....................................................................................................................CCTTGCGTTTACCGGAGTCTTCG............................................................................................................... 23 0 5 0.20 1 1 0 0 0 0
......................................................GTCTCGGATTACCAATAACAAATCTT........................................................................................................................................................................... 26 1 5 0.20 1 1 0 0 0 0
.....................................................TGTCTCGGATTACCAGTAACAAAGCTT........................................................................................................................................................................... 27 1 5 0.20 1 1 0 0 0 0
...........................................................................................................................................................................................................TGAGTACTTACGGGAGTGCAGTTTAAT..................... 27 0 5 0.20 1 1 0 0 0 0
......................................................GTCTCGGATTACCAATAACAAACCTT........................................................................................................................................................................... 26 1 5 0.20 1 1 0 0 0 0
......................................................GTCTCGGATCACCAATAACAAAGCTT........................................................................................................................................................................... 26 1 5 0.20 1 1 0 0 0 0
...................................................GATGTCTCGGATTACCAATAACAAAGCCT........................................................................................................................................................................... 29 1 5 0.20 1 1 0 0 0 0
....................................................ATGTCTCGGATTACCAATAACAAAGC............................................................................................................................................................................. 26 0 5 0.20 1 1 0 0 0 0
.....................................................................................GTAGCTTTATTACCGAAATGCTCAC............................................................................................................................................. 25 0 5 0.20 1 1 0 0 0 0
................................ACAAGTCGTCGTTTGTTATGAT..................................................................................................................................................................................................... 22 0 5 0.20 1 1 0 0 0 0
...................................................CCTGTCTCGGATTACCAATAACAAAGCTT........................................................................................................................................................................... 29 2 5 0.20 1 1 0 0 0 0
....................................................................................TGTAGCTTTATTACCGAAATGCT................................................................................................................................................ 23 0 5 0.20 1 1 0 0 0 0
..............................................................................................................CAGTAAACCTTGCGTTTACCGGAGT.................................................................................................................... 25 1 5 0.20 1 0 1 0 0 0
.....................................................TGTCTCCGATTACCAATAACAAAGCTT........................................................................................................................................................................... 27 1 5 0.20 1 1 0 0 0 0
......................................................GTCTCGGATTACCAATAACAAAGCTC........................................................................................................................................................................... 26 1 5 0.20 1 1 0 0 0 0
.......................................................CCTCGGATTAACAATAACAAAGCTT........................................................................................................................................................................... 25 2 5 0.20 1 0 1 0 0 0
....................................................................................CGTAGCTTTATTACCGAAATGCT................................................................................................................................................ 23 1 5 0.20 1 0 1 0 0 0
...........................................................................................................................GTTTACCGGAGTCTTCGTTTTGACT....................................................................................................... 25 0 5 0.20 1 1 0 0 0 0
......................................................ATCTCGGATTACCAATAACAAAGCTT........................................................................................................................................................................... 26 1 5 0.20 1 1 0 0 0 0
...................................................CCTGTCTCGGATTACCAATAACAA................................................................................................................................................................................ 24 2 5 0.20 1 1 0 0 0 0
.......................................................................................AGCTTTATTACCGAAATGCT................................................................................................................................................ 20 0 5 0.20 1 1 0 0 0 0
..........................................................................................................................CGTTTACCGGAGTCTTCGTTTTGACT....................................................................................................... 26 0 5 0.20 1 1 0 0 0 0
...............................................................................................................CGTAAACCTTGCGTTTACCGGAGTCT.................................................................................................................. 26 0 5 0.20 1 0 0 0 1 0
............................ACATACAAGTCGTCGTTTGTTAT........................................................................................................................................................................................................ 23 0 5 0.20 1 1 0 0 0 0
......................................................................................TAGCTTTATTACTGAAATTCTCAC............................................................................................................................................. 24 2 5 0.20 1 1 0 0 0 0
.............................................................................................................................................................................................ACGATTAACGTCTTTGAGTACTTACTG................................... 27 1 5 0.20 1 0 1 0 0 0
.................................................................................................................TAAACCTTGCGTTTACCGGAGTCCT................................................................................................................. 25 1 5 0.20 1 0 1 0 0 0
....................................................................................................................ACCTTGCGTTTACCGGAGTCTTCGTT............................................................................................................. 26 0 5 0.20 1 1 0 0 0 0
.....................................................GTTCTCGGATTACCAATAACAAAGCTT........................................................................................................................................................................... 27 2 5 0.20 1 1 0 0 0 0
..............................................................................................................................................................................................CGATTACCGTCTTTGAGTACT........................................ 21 1 5 0.20 1 0 0 0 1 0
...............................................................................................................................................................................................GATTAACGTCTTTGAGTACTT....................................... 21 0 5 0.20 1 1 0 0 0 0
.........................................................TCGGATTACCAATAACAAAGCGT........................................................................................................................................................................... 23 1 5 0.20 1 0 1 0 0 0
..............................................................................................................................................................................................CGATTAACGTCTTTGAGTACTTC...................................... 23 1 5 0.20 1 0 1 0 0 0
..............................................................................................................................................................................................CGATTAACGTCTTTGAGTAGT........................................ 21 1 5 0.20 1 0 1 0 0 0
.....................................................................................................................CCTTGCGTTTACCGGAGTCTTCGTT............................................................................................................. 25 0 5 0.20 1 0 1 0 0 0
........................................................................................................................TGCGTTTACCGGAGTCTTCGTTTTGACT....................................................................................................... 28 0 5 0.20 1 0 0 1 0 0
.......................................................CCTCGGATTACCAATAACAAAGCGT........................................................................................................................................................................... 25 2 5 0.20 1 0 1 0 0 0
...................................................AATGTCTCGGATTACCAATAACAAAGCTT........................................................................................................................................................................... 29 1 5 0.20 1 1 0 0 0 0
................................................................................................................GTAAACCTTGCGTTTACCGGAGTCT.................................................................................................................. 25 0 5 0.20 1 1 0 0 0 0
......................................................GTCTCGGATTACCAATAACAAA............................................................................................................................................................................... 22 0 5 0.20 1 1 0 0 0 0
.................................................................................................................AAAACCTTGCGTTTACCGGAGTCTTCG............................................................................................................... 27 1 5 0.20 1 1 0 0 0 0
......................................................GTCTCGGATTACCAATAACAAAGCTTCT......................................................................................................................................................................... 28 2 5 0.20 1 0 1 0 0 0
........................................................CTCGGATTACCAATAACAAAGCGT........................................................................................................................................................................... 24 1 5 0.20 1 0 1 0 0 0
.....................................................TGTCTCGGATTACCAATAACAAAGC............................................................................................................................................................................. 25 0 5 0.20 1 1 0 0 0 0
..................................................................................ATTGTAGCTTTATTACCGAAATGCTCAC............................................................................................................................................. 28 0 5 0.20 1 1 0 0 0 0
.....................................................................................................................CCTTGCGTTTACCGGAGTCTCCGT.............................................................................................................. 24 1 5 0.20 1 1 0 0 0 0
...........................................................................................................................................................................................................TGAGTACTTACGGGAGTGCAGTTTAA...................... 26 0 5 0.20 1 1 0 0 0 0
.......................................................TCTCGGATTACCAGTAACAAAGCTT........................................................................................................................................................................... 25 1 5 0.20 1 1 0 0 0 0
..................................................................................................................AAACCTTGCGTTTACCGGATT.................................................................................................................... 21 1 5 0.20 1 0 1 0 0 0
...........................................................................................................................................................................................................TGAGTACTTACGGGAGTGCAGTTT........................ 24 0 5 0.20 1 1 0 0 0 0
..............................................................................................................................................................................................CGATTAACGTCTTTGAGTACTTA...................................... 23 0 5 0.20 1 0 1 0 0 0
..................................................................................................................AAACCTTGCGTTTACCGGAGTCTTCGTTT............................................................................................................ 29 0 5 0.20 1 0 1 0 0 0
...................................................GATGTCACGGATTACCAATAACAAAGCTT........................................................................................................................................................................... 29 1 5 0.20 1 1 0 0 0 0
.....................................................TGTCTCGGATTACCAATAACAAAGATT........................................................................................................................................................................... 27 1 5 0.20 1 0 1 0 0 0
....................................................................................................................TCCTTGCGTTTACCGTAGTCTTCGCTT............................................................................................................ 27 3 5 0.20 1 0 1 0 0 0
......................................................GTCTCGGATTACCAATAACAAAGCTTC.......................................................................................................................................................................... 27 1 5 0.20 1 1 0 0 0 0
..............................................................................................................................................................................................CGATTAACGTCTTTGAGTACGT....................................... 22 1 5 0.20 1 0 1 0 0 0
..........................................................................................................................................................................................ATTACGATTAACGTCTTTGACTT.......................................... 23 2 5 0.20 1 0 0 1 0 0
.......................................................TCTCGGATTACCAATAACAAAGATT........................................................................................................................................................................... 25 1 5 0.20 1 0 1 0 0 0
.....................................................................................................................CCTTGCGTTTACCGGAGTCTTCGTTTT........................................................................................................... 27 0 5 0.20 1 1 0 0 0 0
............................................................................................................................................................................................................GAGTACTTACGGGAGTGCAGTTT........................ 23 0 5 0.20 1 1 0 0 0 0
..............................................................................................................................................................................................CGATTAACGTGTTTGAGTACTT....................................... 22 1 5 0.20 1 1 0 0 0 0
..................................................................................................................AAACCTTGCGTTTACCGGAGTCTTC................................................................................................................ 25 0 5 0.20 1 0 1 0 0 0
................CCTACTTACTCTACATACAAGTCGTCGG............................................................................................................................................................................................................... 28 1 6 0.17 1 1 0 0 0 0
.................CTACTTACTCTACATACAAGTCGTCGT............................................................................................................................................................................................................... 27 0 6 0.17 1 1 0 0 0 0
...............CCCTACTTACTCTACATACAAGT..................................................................................................................................................................................................................... 23 1 6 0.17 1 0 1 0 0 0
.......................ACTCTGCATACAAGTCGTCGTTTGTT.......................................................................................................................................................................................................... 26 1 6 0.17 1 0 1 0 0 0
.............................................................................................................................................TTTGACTCCTTGATAGTCATAAAGACT................................................................................... 27 1 6 0.17 1 0 1 0 0 0
..............................................................................................................................................TTGACTCCTTGATCGTCATAAAAACT................................................................................... 26 1 6 0.17 1 1 0 0 0 0

Re-alignment of all predicted orthologs

Species Coordinate ID Alignment
droMoj3 scaffold_6482:1112787-1113037 - dmo_831 CGGTCAG-A---TCTCAA--AAGGAT--G-----------AA-----------------------------------------------------TGAGATGTATGTTCAGCA-GCAAACAATACTACAGAGCCTAATG-----------------------------GT---------TATTGTTTCGAATTTAA---------C-ATCGAAATA---------AT---GGCTTTACGAGTGGGCATTTGGAACGCAAATGGCCTCAGAAGCAAAACTGAGGAACTAGCAGTATTTCTGACAAGCAAGCAAATAGACATAATGCTAATTGCAGAAACTCATGAATGCCCTCA------C------GTCAAATTACTCGGATATGAGCACTAT------------CAG
droVir3 scaffold_12855:4932598-4932901 + TGCCCCAACTCA---GCC-----------CTTGAGCTCATGATGAAGCAAATGTTCGCCAGA-----------------------------TTCGACCAACTGATGTCTCTCATACAGACTCTTTTACAAGCGCTAATGCACACT----------------------------------AGC-------GCC-----AAAAATAACAGTGCCTAAA---------ATGAGCTCCCTCAGGATAGCACTATGGAACGCCAACGGAGTCTTTTCGAAAGCGAATGAGATCACAGCCTTCATCGAACTCCACCACATCGATGTGTTTCTGCTCACGGAGACTCACTTCTGCTCTCGAATCACC------CTCAGAGTGCCAGGCTACACTCTCCACACCGCCAACCACCCA
droGri2 scaffold_8879:7983-8227 + ATATCAA-A---ATTCGA--CAAGTT--G-----------AG-----------------------------------------------------------------------------------------------TGAGACACAAATGGCCATGATGAGCCT-----CTTGAACGCTGCA-------CTTGCA----------------AAATGATGAGCCAA---ATTGGGTTGCGCATTGGCGTGTGGAACGCCAATGGCCTTGCAAATAACGCCAATGAGTTTTAGTTATTTATTCAACGCCATCAAATAGATGTAATGTTGGTCTGCGAGACTCATTACTGCTCCAGATCGCAC------TACAGGCTACCAGGTTACGATATTCAC------------CTT
droWil2 scf2_1100000004936:649755-650008 + CAGCAAA-TGCA---GCTG---------------------AATGCCTTAAGTGCTCTGG-T----------A-----------------------------------------------------AAAGAGCAATCCCA-------------CAAGATTACAGT-----CCTGGTGGATACC-------ATTTCAA---------AATTTT--ATAAT-----ATATAATGTCTTTGAGAATTTGTATTTGGAACGCAAATGGCCTTCGTAACAAGGCCCTAGAATTAACTGCTTTCCTTTAACTAATAGATGTACATATAATGCTAATATCAGAGACTTTTGAAGGCGCTCG------C------TTAAAAATATTTGGCTACGAGCATTAC------------AAT
dp5 2:24598173-24598344 - AATGC-----------------------------------------------------------------------------------------------------------------------------------------------------------------------------------------------------------------------------------CTTACCGTATAGGTATTTGGAATGCGTCGGGCATAGCCAACAAAAGCCTAGAACTCAAAAACTTCATTACAACGAATCAAATCGACATTATGCTTCTCTCGGTAACGCACTTCTGCAGCAGAACAACA------TTCAAACTAATAGGATATGAACTGTACACTGCAAAT---CAT
droPer2 scaffold_129:61167-61441 + ATGAACG-A---CCTTAA----------------TAGTAGAATGGATCAAATGTTCAAACTAATACAGGATACGATGGAGGCAAACAAAGCCTTCCGGGA--------------------------------C--------------------------------CTGGTACAGAAGCTTAT-------TTCAAAA---------TGAA------------CAAG---CTTCAATTAAAAATCGGATTTTGGAATGCACGAGGGCTAGTCAAGAACATTGAAGAACTTAGACTTTTCCTTAATGCTAATAAAATCGATGTAATGTTGATTACGGAGACACATATGCGCCCTGGTCTGAGA------GCATTCGTACCAGGATACGACCAATAT------------TAC
droAna3 scaffold_13250:1184134-1184403 - CAGCCTA--------------------------------------------------------------------------C-AACAAAGCCTGACGGAATTTATGTCGTTTATGCGCACAACTATGCAAGATTTAATGCGAAAC-------CA----AAATCTATTGATTCAAATGCTGGT-------TTCACAA---------CAATCCAAATA---------ATGGCTTTCCTACGGATATCTACGTGGAACGCTAACGGCGTTTCGCAACATAAACTTGAGTTAGCTCAATTCCTACTCGACAATCACATCGATGTAATGCTGCTTTCGGAAACACACCTCACAAACAAATACAAT------TTTCAACTACGAGTATAT---------------------TCA
droBip1 scf7180000394447:13716-13914 + CCGCCGG-AGCA---GCCAAAAAG-TAACTTTGAAGCTA-----------------TGA-T----------ATGCAGTCTACAAACAAAGCCTTACGGAGTTTATGTCGTTTATGCGTACAA--------------------------------------------------------------------------------------------------------------CCCTACGAATATCTACGTGGAACGCTAACGGCGTTTGGCAGCATAAACTCGAGTTAGCGCAATTCCTACTAGACAATCAAATCGACGTAATGCTGCTTGCATAAACACAT------------------------------------------------------------------
droKik1 scf7180000297878:12090-12295 + CAT------------------------------------------------------------------------------------------------------GTCATTTATGAAAACGACCATGCAAACGCTTGTCCAGAAT-------CA----GAATATGGTGATACAGTTGCTTGT-------AGCACAA---------CAGTCAAAATAATCA-----ATGTCCAATCTACGTATATCCACGTGGAATGCCAACGGCGTCTCACGGAATAAACTTGAACTAACACAATTTCTAA-CGAAAATCACATCGACGCCATGCTACTGGTTGAAACGCA-------------------------------------------------------------------
droFic1 scf7180000453577:1626-1826 + CAGTCTA--------------------------------------------------------------------------C-AACAAAGCCTTACGGAGTTTATGTTGTTTATGCGTACAACTATGCAAGATCTAATGCGAAAC-------CA----AAATCT----------------------------------------------AAAATA---------ATGACTTCCCTACGAATATTTACGTGGAACGCTAACGGCGTTTCGCAGCATAAACTCGAGTTAGCGCTATTCCTACTAGACAATGAAATCGACGTAATGCTGCTTTTAGAAACACAT------------------------------------------------------------------
droEle1 scf7180000490299:872-1095 - TTTGCA------------------------------------------------------------------------------ACAAAATATGATGGAATTTATGTCCTTCATGAAAATCACCATGCAAAATCTAATGCAAAAC-------CA----AAATGTCTTGTTACAAATGCTTGC-------AGCTCAG---------CAATCCAAATA---------AT----AGCCTCCGAATAACTCTGTGGAACGCCAACGGTGTTTCACGGCATGTACCTGAAATAACTCAATTTCTGAACGAAAATCACATTGACGTTATGTTGCTGGCAGAAACGCAT------------------------------------------------------------------
droRho1 scf7180000773840:11864-12120 - CAACA----------------------------------------------------------------------------------AAGCCTTACGGAGTTTATGTCGTTTATGCCCACAACTGTGCAAGAAATGTCA-------------CA----AAATCTATTGATTCACATGCTGGC-------TTCACAA---------AAATCCAAATA---------ATGACTTCCCTAAGGATATCTACGTGGAACGCTAACGCCGTTTCACAGCATAAACCTGAGTTAGCTCAATTCCTACTCGACAACCATATCGACGTAATGCTGCTTTCAGAAACACACCTTACAAACAAATACAAT------TTTCAACTACGAGACTAT---------------------TCA
droBia1 scf7180000302428:2889398-2889537 + CACCT-----------------------------------------------------------------------------------------------------------------------------------------------------------------------------------------------------------------------------------------------------GGAACACGCGAGGTGCTGCCGGCAAAATGACGGAAATCGGCCACCTTGCGGAGAGAGAGAATATTGACATTCTCCTTCTCACTGAAACGAAGA---------CATCCAAC------CTTCAACTATTTGGATATGAAGTCTACACTT--------CAA
droTak1 scf7180000415977:25957-26202 - CGAACAG-C--------------------ATTGAAACCA-----------------TGA-T-------------------------GATGACTTGATGAATTTATGTCCTTTATGAAAACAACAATGGATAACCTAATGCAAAAT-------CA----AAACATTTTAATGGAATTGCTCAC-------ATTCCAA---------CAATCTAAATAATCG-----ATGTCTTGTCTTCGAATATCCATGTGGAATGCCAATGGCTTTTCACGGCACAAATTTGAAATAACTCAATTTCTCAATGAAAACCAAATAGATGTAATGCTGCTGGCAGAAACGCAT------------------------------------------------------------------
droEug1 scf7180000409106:72066-72389 - CCGCCAG-AGCA---GCCAAAAAG-TAACTTTGAAGCTA-----------------TGA-T----------ATGCAGTCTAC-AACAAAGCCTTACGGAGTTTATGTCGTTTATGCGTACAACAATGCAAGATCTGATACGAAAC-------CA----AAATCTATTAATACAAATGCTGGT-------TTCACAA---------CAATCCAAATA---------ATGACTTCCCTACGAATATCTACGTGGAACGCTAACGGCGTTTCGCAGCATAAACTCGAGTTAGCGCAATTCCTACTAGACAATCAAATCGACGTAATGCTGCTTTCAGAAACACATCTTACAAACAGATACAAT------TTTCAATTACGAGGATATTAATTCTATGGAA--------CAA
dm3 chr3LHet:1491758-1491941 - AATGC-----------------------------------------------------------------------------------------------------------------------------------------------------------------------------TCGT-------TTCTTCC---------AAAATAGGATA---------ATGA-TAGCTTAACAATAGCTACCTGGAACGCTAATGACGTTTCGCGGAACAAGCTAGAACTTGCTCAGTTCTTAGCCGACAGAAACATTGACGTTATGCTACTCTCAGAGACTCACCTTAC----CGAAACAAC------TTCCAAATACTAGGATATAAATTTTAT---------------
droSec2 scaffold_1595:3244-3465 - TTTGCCC-G---TTTTCA--AGGAAT--GGTTGAAAGTATGATGGAAAAAATGTTCTCCCAA-----------------------------ATGACGCAGCTTATTGCTTCC-----------------------------------------------------------------------------ATTCTCA---------A-TGCCAAATCAT---GGAA---ATAAGACTGAACATAGTCATTTGGAATGCTAACGGCCTGCAGAGGAGCAGAGCCGAGGTAGAATACCTTATAAAAACGGAAGCGATTGACATACTCCTTGTATCCGAAACCCATTTTTGTCCCC--------------------------------------------------------
droYak3 v2_chrUn_2670:1570-1757 + GTTCTGA-T----TTCGA--AAAAAT--G----------------------------------------------------------------------------------------------------------------------------------------------------------------------------------------ATA---------GTCTCAAACCTAAAAATCGGATTATGGAACGCAAGAGGGTTAGTACAGAAGAACGAAGAACTTCGACTTTTTCTTACTGACCACTCTATAGACATCATGCTAATTACTGAAACTCATATGCGCCCTGGACTAAAA------GTATACACTCCAGGCTATGAACAATAT------------TAT
droEre2 scaffold_720:2190-2425 + CAACAGC--------------------------------------------------------------------------A-GACACAGCAGCAGGG----------------------------------GC-------------------------AAATTCTTAATTTGCTTGCTGCC-------CT----CCAAGCGCAACGATCAACAAT---------ATGATGCCGCTGCGCATTCTAATGTGGAACGCCGATGGCGTTTCCACGAAGCTGCCAGAGCTTGAGTGCTTTGCGCGACAAAATAAGATCGATGTCATACTAATTAGTGAGACTCACTGCCGAGG------AAACTTTGTGCCAAAAATATATGGCTTTGATGCATAT------------CCA

Re-alignment of all predicted orthologs with sRNA reads

Species Read alignment
droMoj3
CGGTCAG-A---TCTCAA--AAGGAT--G-----------AA-----------------------------------------------------TGAGATGTATGTTCAGCA-GCAAACAATACTACAGAGCCTAATG-----------------------------GT---------TATTGTTTCGAATTTAA---------C-ATCGAAATA---------AT---GGCTTTACGAGTGGGCATTTGGAACGCAAATGGCCTCAGAAGCAAAACTGAGGAACTAGCAGTATTTCTGACAAGCAAGCAAATAGACATAATGCTAATTGCAGAAACTCATGAATGCCCTCA------C------GTCAAATTACTCGGATATGAGCACTAT------------CAGSizeHit CountTotal NormTotalM046
Female-body
V041
Embryo
V049
Head
V056
Head
M060
Embryo
V110
Male-body
..............................................................................................................GCA-GCAAACAATACTACAGAGCCT.................................................................................................................................................................................................................................................................................2443.0012400080
...............................................................................................................................................................................................................................................................................................................................................AACTCATGAATGCCCTCA------C------GTCA......................................2352.40121000011
......................................................................................................................................................................................................................................GGCTTTACGAGTGGGCATTTGG............................................................................................................................................................2272.29161050001
..............................................................................................................................................................................................................................................................................................................................................AAACTCATGAATGCCCTCA------C------GTCA......................................2451.608700010
..............................................................................................................................................................................................................................................................................................................................................AAACTCATGAATGCCCTCA------C------GTC.......................................2351.407600010
..............................................................................................................GCA-GCAAACAATACTACAGAGCC..................................................................................................................................................................................................................................................................................2341.255100040
...................................................................................................................................................................................................................................................................................................GTATTTCTGACAAGCAAGCAAATAGACA.........................................................................................2841.255500000
..............................................................................................................GCA-GCAAACAATACTACAGAGCCTAA...............................................................................................................................................................................................................................................................................2641.255300020
...............................................................................................................................................................................................................................................................................................................................................AACTCATGAATGCCCTCA------C------GTC.......................................2251.206400011
........................................................................................................................................................................................................................................................TTGGAACGCAAATGGCCTCAGAAGC.......................................................................................................................................2551.005300020
.....................................................................................................................................................................................TTGTTTCGAATTTAA---------C-ATCGAAATA---------.......................................................................................................................................................................................2531.003300000
...............................................................................................................................................................................................................................................................................................................................................AACTCATGAATGCCCTCA------C------GTCAA.....................................2450.804200020
..............................................................................................................................................................................................................................................................................................................................................AAACTCATGAATGCCCTCA------C------GT........................................2250.804400000
..............................................................................................................GCA-GCAAACAATACTACAGAGCCTA................................................................................................................................................................................................................................................................................2540.753300000
...................................................................................................................................................................................................................................................................................................GTATTTCTGACAAGCAAGCAAATA.............................................................................................2440.753300000
...................................................................................................................................................................................................................................................................................................GTATTTCTGACAAGCAAGCAAATAG............................................................................................2540.753300000
...............................................................................................................................................................................................................................................................................................................................................AACTCATGAATGCCCTCA------C------GTCAAA....................................2550.603300000
...................................................................................................................................................................................................................................................................................................GTATTTCTGACAAGCAAGCAAATAGA...........................................................................................2640.502200000
..............................................................................................................GCA-GCAAACAATACTACAGAGCCC.................................................................................................................................................................................................................................................................................2440.502000020
...................................................................................................................................................................................................................................................................................................GTATTTCTGACAAGCAAGCAAATAGAC..........................................................................................2740.502200000
......................................................................................................................................................................................................................................GGCTTTACGAGTGGGCATTTGGA...........................................................................................................................................................2370.433300000
......................................................................................................................................................................................................................................GGCTTTACGAGTGGGCATTTG.............................................................................................................................................................2170.433300000
..............................................................................................................................................................................................................................................................................................................................................AAACTCATGAATGCCCTCA------C------GTCAA.....................................2550.402200000
...............................................................................................................................................................................................................................................................................................................................................AACTCATGAATGCCCTCA------C------GTCAAATTA.................................2850.402200000
..........................................................................................................................................................................................................................................................GGAACGCAAATGGCCTCAGAAGCA......................................................................................................................................2450.402200000
...............................................................................................................................................................................................................................................................................................................................................AACTCATGAATGCCCTCA------C------GTCAAATT..................................2750.402100010
....................................................................................................TGTATGTTCAGCA-GCAAACAATAC...........................................................................................................................................................................................................................................................................................2450.402200000
.............................................................................................................................................................................................AATTTAA---------C-ATCGAAATA---------AT---GGCTTT............................................................................................................................................................................2530.331100000
.........................................................................................................................................................................................................................................................................................................CTGACAAGCAAGCAAATAGACAT........................................................................................2330.331100000
.................A--AAGGAT--G-----------AA-----------------------------------------------------TGAGATGTATGTTCA..........................................................................................................................................................................................................................................................................................................2560.332100001
...................................................................................................................................................................................................................................................................................................GTATTTCTGACAAGCAAGCAAATAGACAT........................................................................................2930.331100000
....................................................................................................................................................................................ATTGTTTCGAATTTAA---------C-ATCGAAATA---------.......................................................................................................................................................................................2630.331100000
..............................................................................................................GCA-GCAAACAATACTACAGAGCCTAAT..............................................................................................................................................................................................................................................................................2740.251100000
...............................................................................................................CA-GCAAACAATACTACAGAGCCTAA...............................................................................................................................................................................................................................................................................2540.251000010
..............................................................................................................GCA-GCAAACAATACTACAGAGCCA.................................................................................................................................................................................................................................................................................2440.251100000
..........................................................................................................TTCAGCA-GCAAACAATACTACAGAGCC..................................................................................................................................................................................................................................................................................2740.251000010
.............................................................................................................AGCA-GCAAACAATACTACAGAGCCTAATG-----------------------------................................................................................................................................................................................................................................................2940.251100000
..............................................................................................................GCA-GCAAACAATACTACAGAGCCTAATT-----------------------------................................................................................................................................................................................................................................................2840.251100000
...................................................................................................................................................................................................................................................................................................GTATTTCTGACAAGCAAGCAAA...............................................................................................2240.251100000
..............................................................................................................GCA-GCAAACAATACTACAGAGCCTAATC-----------------------------................................................................................................................................................................................................................................................2840.251100000
......................................................................................................................................................................................................................................................................................................TTTCTGACAAGCAAGCAAATAGACA.........................................................................................2540.251100000
.......................................................................................................................................................................................................................................................................................................TTCTGACAAGCAAGCAAATAGAC..........................................................................................2340.251000010
...................................................................................................................................................................................................................................................................................................GTATTTCTGACAAGCAAGCAAAT..............................................................................................2340.251100000
..........................................................................................................................................................................................................................................................GGAACGCAAATGGCCTCAGAAG........................................................................................................................................2250.201100000
....................................................................................................TGTATGTTCAGCA-GCAAACAATACTA.........................................................................................................................................................................................................................................................................................2650.201100000
................................................................................................................................................................................................................................................................................................................................................ACTCATGAATGCCCTCA------C------GTC.......................................2150.201100000
........................................................................................................................................................................................................................................................TTGGAACGCAAATGGCCTCAGAA.........................................................................................................................................2350.201000010
...................................................................................................................................................................................................................................................................................................................................................CATGAATGCCCTCA------C------GTCA......................................1950.201100000
...............................................................................................................................................................................................................................................................................................................................................AACTCATGAATGCCCTCA------C------GTCAAAA...................................2650.201100000
........................................................................................................................................................................................................................................................TTGGAACGCAAATGGCCTCAGAAGCAAA....................................................................................................................................2850.201100000
........................................................................................................................................................................................................................................................TTGGAACGCAAATGGCCTCAG...........................................................................................................................................2150.201100000
.....................................................................................................................................................................................................................................................CATTTGGAACGCAAATGGC................................................................................................................................................1950.201100000
................................................................................................................................................................................................................................................................................................................................................ACTCATGAATGCCCTCA------C------GTCAA.....................................2350.201100000
..........................................................................................................................................................................................................................................................GGAACGCAAATGGCCTCAGAAGC.......................................................................................................................................2350.201100000
.................................................................................................AGATGTATGTTCAGCA-GCAAACAATAC...........................................................................................................................................................................................................................................................................................2750.201100000
...............................................................................................................................................................................................................................................................................................................................................AACTCATGAATGCCCTCA------C------GTCAAATTAC................................2950.201100000
....................................................................................................TGTATGTTCAGCA-GCAAACAATA............................................................................................................................................................................................................................................................................................2350.201100000
...............................................................................................................................................................................................................................................................................................................................................AACTCATGAATGCCCTCA------C------GT........................................2150.201100000
...........................................................................................................................................................................................................................................................................................................................................CAGAAACTCATGAATGCCCTCA------C------GTC.......................................2650.201100000
....................................................................................................................................................................................................................................................GCATTTGGAACGCAAATGGCC...............................................................................................................................................2150.201000010
.............................................................................................................................................................................................................................................................................................................................................GAAACTCATGAATGCCCTCA------C------GTCA......................................2550.201100000
...............................................................................................................................................................................................................ATCGAAATA---------AT---GGCTTTACGAGTGG....................................................................................................................................................................2550.201000010
..................................................................................................................................................................................................................................................................................................................................TGCTAATTGCAGAAACTCATGAATGCCC..........................................................2850.201100000
..............TCAA--AAGGAT--G-----------AA-----------------------------------------------------TGAGATGTATGTTC...........................................................................................................................................................................................................................................................................................................2760.171000010
.................................................................................................................................................................................................................................................................................AAAACTGAGGAACTAGCAGTA..................................................................................................................2160.171100000
..............TCAA--AAGGAT--G-----------AA-----------------------------------------------------TGAGATGTATGTT............................................................................................................................................................................................................................................................................................................2660.171100000
...............................................................................................TGAGATGTATGTTCAGCA-GCAAACA...............................................................................................................................................................................................................................................................................................2560.171100000
........................................AA-----------------------------------------------------TGAGATGTATGTTCAGCA-GCA...................................................................................................................................................................................................................................................................................................2360.171100000
.......................................................................................................................................................................................................................................GCTTTACGAGTGGGCATTTGGA...........................................................................................................................................................2270.141100000
........................................................................................................................................................................................................................................CTTTACGAGTGGGCATTTGG............................................................................................................................................................2070.141100000
......................................................................................................................................................................................................................................GGCTTTACGAGTGGGCATTTGGAACG........................................................................................................................................................2670.141000010
......................................................................................................................................................................................................................................GGCTTTACGAGTGGGCATTTGGAA..........................................................................................................................................................2470.141100000
.......................................................................................................................................................................................................................................GCTTTACGAGTGGGCATTTG.............................................................................................................................................................2070.141100000
........................................................................................................................................................................................................................................CTTTACGAGTGGGCATTTGGAAC.........................................................................................................................................................2370.141100000
.............................................................................................................................................................................................................................................................................AAGCAAAACTGAGGAACTAGC......................................................................................................................2170.141000001
..............TCAA--AAGGAT--G-----------AA-----------------------------------------------------TGAGATGTATG..............................................................................................................................................................................................................................................................................................................2470.141100000
........................................................................................................................................................................................................................................................................CTCAGAAGCAAAACTGAGGAACTAGCA.....................................................................................................................2770.141100000
......................................................................................................................................................................................................................................GGCTTTACGAGTGGGCATTTGGAAC.........................................................................................................................................................2570.141100000
..................................................................................................................................................................................................................................T---GGCTTTACGAGTGGGCATTTGGAAAAG.......................................................................................................................................................2870.141100000
......................................................................................................................................................................................................................................GGCTTTACGAGTGGGCATTTGGAACGC.......................................................................................................................................................2770.141100000
.........................................................................................................................................................................................................................................TTTACGAGTGGGCATTTGGAAC.........................................................................................................................................................2270.141100000
......................................................................................................................................................................................................................................GGCTTTACGAGTGGGCATTTGGAAAT........................................................................................................................................................2670.141100000
............................................................................................................................................................................................................................................ACGAGTGGGCATTTGGAACGC.......................................................................................................................................................2170.141000010
.......................................................................................................................................................................................................................A---------AT---GGCTTTACGAGTGGGCA.................................................................................................................................................................2070.141000001
..................................................................................................................................................................................................................................T---GGCTTTACGAGTGGGCATTTGG............................................................................................................................................................2370.141100000
droVir3
TGCCCCAACTCA---GCC-----------CTTGAGCTCATGATGAAGCAAATGTTCGCCAGA-----------------------------TTCGACCAACTGATGTCTCTCATACAGACTCTTTTACAAGCGCTAATGCACACT----------------------------------AGC-------GCC-----AAAAATAACAGTGCCTAAA---------ATGAGCTCCCTCAGGATAGCACTATGGAACGCCAACGGAGTCTTTTCGAAAGCGAATGAGATCACAGCCTTCATCGAACTCCACCACATCGATGTGTTTCTGCTCACGGAGACTCACTTCTGCTCTCGAATCACC------CTCAGAGTGCCAGGCTACACTCTCCACACCGCCAACCACCCASizeHit CountTotal NormTotalM027
Male-body
M028
Head
M047
Female-body
M061
Embryo
SRR060654
Ovary
SRR060655
Testis
SRR060656
Ovary
SRR060657
Testis
SRR060658
Ovary
SRR060659
Testis
SRR060660
Ovary
SRR060661
Embryo
SRR060662
Embryo
SRR060663
Embryo
SRR060664
Male-body
SRR060665
Female-body
SRR060666
Male-body
SRR060667
Female-body
SRR060668
Male-body
SRR060669
Female-body
SRR060670
Testis
SRR060671
Male-body
SRR060672
Female-body
SRR060673
Ovary
SRR060674
Ovary
SRR060675
Ovary
SRR060676
Ovary
SRR060677
Ovary
SRR060678
Testis
SRR060679
Testis
SRR060680
Testis
SRR060681
Testis
SRR060682
Embryo
SRR060683
Testis
SRR060684
Embryo
SRR060685
Embryo
SRR060686
Embryo
SRR060687
Embryo
SRR060688
Ovary
SRR060689
Testis
SRR1106712
embryo_0-2h
SRR1106713
embryo_0-2h
SRR1106714
embryo_2-4h
SRR1106715
embryo_4-6h
SRR1106716
embryo_4-6h
SRR1106717
embryo_6-8h
SRR1106718
embryo_6-8h
SRR1106719
embryo_8-10h
SRR1106720
embryo_8-10h
SRR1106721
embryo_10-12h
SRR1106722
embryo_10-12h
SRR1106723
embryo_12-14h
SRR1106724
embryo_12-14h
SRR1106725
embryo_14-16h
SRR1106726
embryo_14-16h
SRR1106727
larvae
SRR1106728
larvae
SRR1106729
mixed whole adult body
SRR1106730
embryo_16-30h
V047
Embryo
V053
Head
V116
Male-body
GSM1528803
follicle cells
.........................................................................................................................................................................................................................................................................................TGAGATCACAGCCTTCATCGAAC........................................................................................................232044.508909056282701600006185000000180051905712091465023203747176228024250101210000100300000
...................................................................................................................................................................................................................................................GCACTATGGAACGCCAACGGAGTCT............................................................................................................................................252041.40828308124220601602782000000110014696110282261012026060653027022003400211002000100008
...................................................................................................................................................................................................................................................GCACTATGGAACGCCAACGGAGTC.............................................................................................................................................242039.20784110607231140410319233200000037003152488862334031740383827460312100000000010000040010
.........................................................................................................................................................................................................................................................................................TGAGATCACAGCCTTCATCGAACT.......................................................................................................242038.357671077921012010141710000000220030534611075524003302841313028026111102014210100610001
..................................................................................................................ACAGACTCTTTTACAAGCGCTAA...............................................................................................................................................................................................................................................................................232037.35747005057253000029300000036001058140676538200424026252556400000000000000000000000
..................................................................................................................ACAGACTCTTTTACAAGCGCTAAT..............................................................................................................................................................................................................................................................................242035.8071600150260310000021000000140048857010368112013823657241963000000000000000000000000
....................................TCATGATGAAGCAAATGTTCGCCA............................................................................................................................................................................................................................................................................................................................................................242033.40668004622922000000280000003400616746637140700022622334047000000000000000000000000
...................................................................................................................................................................................................................................................GCACTATGGAACGCCAACGGAGT..............................................................................................................................................232033.3566700451420116067001322180000012500056537128395011912832273321100000000100000000004005
...................................................................................................................................................................................................................................................GCACTATGGAACGCCAACGGA................................................................................................................................................212030.606120037312014213201466500000121004636284142476002131727112111000000000000000000002000
....................................TCATGATGAAGCAAATGTTCGCCAG...........................................................................................................................................................................................................................................................................................................................................................252028.405680029036025010123300000014002846455860205022903735272829000000000000000000000005
............................................................................................................................................................................................................................................................................................................................................................TCTCGAATCACC------CTCAGAGTGCCA..............................242028.25565000080101030110001002001569038952810102406027593028000000000000000000000000
............................................................................................................................................................................................................................................................................................................................................................TCTCGAATCACC------CTCAGAGTGC................................222026.8553700001201080103200000010006784460436012918429324443000000000000000000000000
.........................................................................................................................................................................................................................................................................................TGAGATCACAGCCTTCATCGAACTC......................................................................................................252025.85517805818110300002300000007002750308148313012612223211419200000200000001000121001
....................................TCATGATGAAGCAAATGTTCGC..............................................................................................................................................................................................................................................................................................................................................................222025.20504002402904102000000000001100745324454724600252281982516000000000000000000001000
....................................TCATGATGAAGCAAATGTTCGCC.............................................................................................................................................................................................................................................................................................................................................................232022.2544503509260290000333000000220050632639025800152231181213100000000000000000000010
..................................................................................................................ACAGACTCTTTTACAAGCGCTAATG.............................................................................................................................................................................................................................................................................252021.60432102702201300000000000008002944485644173001812236101219100000000000000000000001
....................................TCATGATGAAGCAAATGTTCG...............................................................................................................................................................................................................................................................................................................................................................212021.60432009019044070011400000032004220213840443002312014141418300000000000000000000000
............................................................................................................................................................................................................................................................................................................................................................TCTCGAATCACC------CTCAGAGTGCC...............................232021.40428000010020000024000000200336863159189021415912183916200000000010000000020000
..................................................................................................................ACAGACTCTTTTACAAGCGCTAATGC............................................................................................................................................................................................................................................................................262020.65413206241030000000000000000138587650131000137262299000000000000000000000000
...................................................................................................................................................................................................................................................GCACTATGGAACGCCAACGG.................................................................................................................................................202018.60372003301512303002320000002300442117282331600821523131419200000000000000000000001
....................................TCATGATGAAGCAAATGTTCGCCAGA-----------------------------.............................................................................................................................................................................................................................................................................................................................262016.703340028040501002140000003005223543572101130421329912200000000000000000000000
...................................................................................................................................................................................................................................................GCACTATGGAACGCCAACGGAG...............................................................................................................................................222016.5033020011809012005620000001300264404540396000116218106000000000000000000000000
.........................................................................................................................................................................................................................................................................................TGAGATCACAGCCTTCATCGA..........................................................................................................212016.5033000317013030011380000002600242024192727611441723131328300000000000000000001000
.........................................................................................................................................................................................................................................................................................TGAGATCACAGCCTTCATCGAACTCC.....................................................................................................262015.95319001121910100000100000002003252045345202401381055001000000000000000100000
....................................TCATGATGAAGCAAATGTTCGCCAGA-----------------------------T............................................................................................................................................................................................................................................................................................................................272014.4528910122604000000000000020051927415400009034133899000000000000000000000004
...................................................................................................................................................................................................................................................GCACTATGGAACGCCAACGGAGTCTT...........................................................................................................................................262013.40268002015010110612200000030021729342850001102115241013010000001100000000020002
............................................................................................................................................................................................................................................................................................................................................................TCTCGAATCACC------CTCAGAGTGCCAG.............................25208.8517700007000602055000000300013251229310150131115146000100000000000000000000
...................................................................................................................................................................................................................................................GCACTATGGAACGCCAACGGAGTCTTT..........................................................................................................................................27208.05161201211000200100000000000082027231100601971461001100000000000000000007
............................................................................................................................................................................................................................................................................................................................................................TCTCGAATCACC------CTCAGAGTGCCAGGC...........................27207.90158000000001001200000000000112715341000403222260000000000000000000000000
.........................................................................................................................................................................................................................................................................................TGAGATCACAGCCTTCATCGAA.........................................................................................................22207.8015600426040000221000000100051882216201002088385000000000000000000000001
..................................................................................................................ACAGACTCTTTTACAAGCGCTA................................................................................................................................................................................................................................................................................22206.80136004010020000000000000120081951161630063781311100000000000000000000000
..................................................................................................................ACAGACTCTTTTACAAGCGCTAATGCAC..........................................................................................................................................................................................................................................................................28206.6513300321001000000000000000001512171872014094621000000000000000000100000
....................................TCATGATGAAGCAAATGTTCGCCAGA-----------------------------TT...........................................................................................................................................................................................................................................................................................................................28206.45129001102000000000000000000061017294100201611649001000000000000000000000
.....................................................................................................................................................................................................................................................................................................................................TGCTCACGGAGACTCACTTCTGC............................................................23206.3512710124100000000000000000000000000000000000000000000000000000000100
.........................................................................................................................................................................................................................................................................................TGAGATCACAGCCTTCATCG...........................................................................................................20206.251250030301511100402000000100095447910051552316000000000000000000000000
..................................................................................................................ACAGACTCTTTTACAAGCGCT.................................................................................................................................................................................................................................................................................21206.001200020501061603014000000190081272510110580112000000000000000000000000
............................................................................................................................................................................................................................................................................................................................................................TCTCGAATCACC------CTCAGAGTGCCAGG............................26205.9511900002110000011000000000110171220320140164967001000000000000000000000
....................................TCATGATGAAGCAAATGTTCGCCAT...........................................................................................................................................................................................................................................................................................................................................................25205.551110020602000001000000030038914173100120511463000010000000000000000000
............................................................................................................................................................................................................................................................................................................................................................TCTCGAATCACC------CTCAGAGTG.................................21204.4088000000002000000000000000913510960020160385000000000000000000000000
..................................................................................................................ACAGACTCTTTTACAAGCGC..................................................................................................................................................................................................................................................................................20204.15830000006050104600000018006327370012012024100000000000000000001100
.........................................................................................................................................................................................................................................................................................TGAGATCACAGCCTTCATCGAACTCCA....................................................................................................27203.6072002520000000000000000000146131000003021201000000000100000000001000
.....................................................................................................................................................................................................................................................................................................................................TGCTCACGGAGACTCACTTCTG.............................................................22203.55714064200000000000000000000000000000000000000000000000000000000100
..................................................................................................................ACAGACTCTTTTACAAGCGCTAATGCACA.........................................................................................................................................................................................................................................................................29203.006020010000000000000000000081013372000050330001010000100000000000000
...................................................................................................................................................................................................................................................GCACTATGGAACGCCAACG..................................................................................................................................................19202.7054009001200001000000002003506331011043333000000000000000000000000
..................................................................................................................ACAGACTCTTTTACAAGCGCTAATGCA...........................................................................................................................................................................................................................................................................27202.605200000000000000000000000145181310010031302000000000000000000000000
..................................................................................................................ACAGACTCTTTTACAAGCGCTAAA..............................................................................................................................................................................................................................................................................24202.4549001020200000000000000004536610004024801000000000000000000000000
............................................................................................................................................................................................................................................................................................................................................................TCTCGAATCACC------CTCAGAGT..................................20202.45490000510030001100000010013412400021212410000000000000000000000000
....................................TCATGATGAAGCAAATGTTCGCCAGT-----------------------------.............................................................................................................................................................................................................................................................................................................................26202.25450000100000000000000010001281300002032903000000000000000000000000
.........................................................................................................................................................................................................................................................................................................................TCGATGTGTTTCTGCTCACGGAGACT.....................................................................26202.20440000101000100000000010001026482002020121000000000000000000000000
.........................................................................................................................................................................................................................................................................................................................................................TGCTCTCGAATCACC------CTCAGAGTGC................................25201.90380000002000000000000000009017010000004131000000000000000000000000
.........................................................................................................................................................................................................................................................................................TGAGATCACAGCCTTCATCGAACTT......................................................................................................25201.8036004220000000200000001002106700000022221000000000000000000000000
..................................................................................................................ACAGACTCTTTTACAAGCGCTAATT.............................................................................................................................................................................................................................................................................25201.7535001100100000100000000001308310000074130000000000000000000000000
.....................................................................................................................................................................................................................................................................................................................................TGCTCACGGAGACTCACTTCTGCTC..........................................................25201.653311001000000000000000000000000000000000000000000000000000000000021
..................................................................................................................ACAGACTCTTTTACAAGCGCTAATC.............................................................................................................................................................................................................................................................................25201.5531007010400000000000001002003230011000001000000000000000000000005
.........................................................................................................................................................................................................................................................................................................................................................TGCTCTCGAATCACC------CTCAGAGT..................................23201.55310000000000000000000000008011150003001020000000000000000000000000
.....................................................................................................................................................................................................................................................................................................................................TGCTCACGGAGACTCACTTCTGCT...........................................................24201.50302026000000000000000000000000000000000000000000000000000000000002
..................................................................................................................ACAGACTCTTTTACAAGCGCTAT...............................................................................................................................................................................................................................................................................23201.5030000020000001000000003001352201004000213000000000000000000000000
.........................................................................................................................................................................................................................................................................................................................................................TGCTCTCGAATCACC------CTCAGAG...................................22201.40280000003000000000000000011017020002001010000000000000000000000000
.........................................................................................................................................................................................................................................................................................TGAGATCACAGCCTTCATCGAACTCCAC...................................................................................................28201.3527009100000000000000000000136110001000100000000000000000000000003
....................................TCATGATGAAGCAAATGTTC................................................................................................................................................................................................................................................................................................................................................................20201.3527003010700000010000000002212220000020020000000000000000000000000
.........................................................................................................................................................................................................................................................................................................................................................TGCTCTCGAATCACC------CTCAGA....................................21201.35270000001000000000000010021009001001001010000000000000000000000000
.....................................................................................................................................................................................................................................................................................................................................TGCTCACGGAGACTCACTTCTGCTCTC........................................................27201.30261016000000000000000000000000000000000000000000000000000000000009
..................................................................................................................ACAGACTCTTTTACAAGCG...................................................................................................................................................................................................................................................................................19201.2525003020000000100000004000111060010010012100000000000000000000000
.........................................................................................................................................................................................................................................................................................................................................................TGCTCTCGAATCACC------CTCAGAGTG.................................24201.25250000000000000000000000000018100001004010000000000000000000000000
....................................TCATGATGAAGCAAATGTTCGCCAGA-----------------------------A............................................................................................................................................................................................................................................................................................................................27201.2525000010100000000000000000325210001022212000000000000000000000000
..............................................................................................................................................................................................................................................................CGCCAACGGAGTCTTTTCGAAAG...................................................................................................................................23131.2316000000000010000000009001000020000001000200000000000000000000000
.........................................................................................................................................................................................................................................................................................TGAGATCACAGCCTTCATCGAAA........................................................................................................23201.2024001010100000100000000001113230002020050000000000000000000000000
....................................................................................................................................................................................................................................................................................................................................................................CACC------CTCAGAGTGCCAGGCTACA.......................23201.15230020000000002000000000000000000000010000000000000000000000000000
....................................TCATGATGAAGCAAATGTTCGCCAA...........................................................................................................................................................................................................................................................................................................................................................25201.1523000000100000000000000005230421001001102000000000000000000000000
..................................................................................................................ACAGACTCTTTTACAAGCGCTAATGCAT..........................................................................................................................................................................................................................................................................28201.1022000000000000000000000000217710002011000000000000000000000000000
...................................................................................................................................................................................................................................................GCACTATGGAACGCCAACGGAGTTA............................................................................................................................................25201.0521000000000000000000000000251000005032030000000000000000000000000
....................................................................................................................................................................................................................................................................................................................................................................CACC------CTCAGAGTGCCAGGCTAC........................22201.05211019000000000000000000000000010000000000000000000000000000000000
...................................................................................................................................................................................................................................................GCACTATGGAACGCCAACGGAGTCTTC..........................................................................................................................................27200.8016003110000000000000000000100110000100000000000000000000000000007
.....................................................................................................................................................................................................................................................................................................................................TGCTCACGGAGACTCACTTCTGCTCT.........................................................26200.80160016000000000000000000000000000000000000000000000000000000000000
.........................................................................................................................................................................................................................................................................................................................................................TGCTCTCGAATCACC------CTCAG.....................................20200.8016000000000000000000001003306010001001000000000000000000000000000
...................................................................................................................................................................................................................................................GCACTATGGAACGCCAACGGAT...............................................................................................................................................22200.7014000000000000000000000000112110002012120000000000000000000000000
.........................................................................................................................................................................................................................................................................................TGAGATCACAGCCTTCATCGAACTA......................................................................................................25200.7014000000000001110000000000204100001010110000000000000000000000000
.........................................................................................................................................................................................................................................CCTCAGGATAGCACTATGGAACGC.......................................................................................................................................................24200.6513000000006010000000000000001201000001100000000000000000000000000
...................................................................................................................................................................................................................................................GCACTATGGAACGCCAACGGAGTCTA...........................................................................................................................................26200.6513002000000000100000000001212100001001001000000000000000000000000
...................................................................................................................................................................................................................................................GCACTATGGAACGCCAACGGAGTT.............................................................................................................................................24200.6513001100000000000000000000114210001000010000000000000000000000000
.........................................................................................................................................................................................................................................................................................TGAGATCACAGCCTTCATC............................................................................................................19200.6513001000100000000000000001111030000000202000000000000000000000000
....................................TCATGATGAAGCAAATGTTCGCCAGA-----------------------------TC...........................................................................................................................................................................................................................................................................................................................28200.6513002000000000000000000000020010000000002000000000000000000000006
....................................................................................................................................................................................................................................................CACTATGGAACGCCAACGGAGTCT............................................................................................................................................24200.6513004000100000000000000000010010002010012000000000000000000000000
.........................................................................................................................................................................................................................................................................................TGAGATCACAGCCTTCATCGAACA.......................................................................................................24200.6513003000000000000000000001012110000011110000000000000000000000000
.........................................................................................................................................................................................................................................................................................TGAGATCACAGCCTTCATCGAACC.......................................................................................................24200.6012000520000000000000001000002110000000000000000000000000000000000
...........................................................................................................................................................................................................................................................................................................................................................CTCTCGAATCACC------CTCAGAGTGC................................23200.6012000010000000100000000000210410000000011000000000000000000000000
...................................................................................................................................................................................................................................................GCACTATGGAACGCCAACGGAGTCA............................................................................................................................................25200.6012001000000000000000000000310300002001001000000000000000000000000
..................................................................................................................ACAGACTCTTTTACAAGCGCTAATGT............................................................................................................................................................................................................................................................................26200.6012001000000000000000000000210200000015000000000000000000000000000
...........................................................................................................................................................................................................................................................................................................................................................CTCTCGAATCACC------CTCAGAGTGCCA..............................25200.6012000000000000000000000000130110000022200000000000000000000000000
....................................................................................................................................................................................................................................................................................................................................................................CACC------CTCAGAGTGCCAGGCTACAC......................24200.60120012000000000000000000000000000000000000000000000000000000000000
..................................................................................................................ACAGACTCTTTTACAAGCGCTAAG..............................................................................................................................................................................................................................................................................24200.5511001000000000000000000004011100000001002000000000000000000000000
.........................................................................................................................................................................................................................................CCTCAGGATAGCACTATGGAAC.........................................................................................................................................................22200.5511000000033010000000001000020100000000000000000000000000000000000
............................................................................................................................................................................................................................................................................................................................................................TCTCGAATCACC------CTCAGAGTGCCAT.............................25200.5010000000000000000000000000130200001020010000000000000000000000000
....................................TCATGATGAAGCAAATGTTCGCCAGA-----------------------------TA...........................................................................................................................................................................................................................................................................................................................28200.5010000000000000000000000000101210000012110000000000000000000000000
.....................................................................................................................................................................................................................................................................................................................................TGCTCACGGAGACTCACTTCT..............................................................21200.50100010000000000000000000000000000000000000000000000000000000000000
..................................................................................................................ACAGACTCTTTTACAAGCGCTAAAA.............................................................................................................................................................................................................................................................................25200.5010002000000000000000000000012010003001000000000000000000000000000
....................................................................................................................................................................................................................................................................................................................................................................CACC------CTCAGAGTGCCAGGCTACACTC....................26200.50100010000000000000000000000000000000000000000000000000000000000000
...................................................................................................................................................................................................................................................GCACTATGGAACGCCAACGGAGTA.............................................................................................................................................24200.5010002000000000000000000000022100000010110000000000000000000000000
...................................................................................................................................................................................................................................................GCACTATGGAACGCCAACGGAA...............................................................................................................................................22200.5010000000200000000000002000012001001000010000000000000000000000000
..............................................................................................................................................................................................................................................................CGCCAACGGAGTCTTTTCGAAAGCG.................................................................................................................................25130.466000000000000000000000000002210001000000000000000000000000000000
..............................................................................................................................................................................................................................................................CGCCAACGGAGTCTTTTCGAAA....................................................................................................................................22130.466000000000000000000003000000210000000000000000000000000000000000
.........................................................................................................................................................................................................................................................................................TGAGATCACAGCCTTCATCGAACTTT.....................................................................................................26200.459001000000000000000000000013000001020100000000000000000000000000
.....................................................................................................................................................................................................................................................................................................................................TGCTCACGGAGACTCACTTC...............................................................20200.459006000000000010000000000010000000000000000000000000000000001000
..................................................................................................................ACAGACTCTTTTACAAGCGCTAATTT............................................................................................................................................................................................................................................................................26200.459000000000000000000000000113000001001101000000000000000000000000
.........................................................................................................................................................................................................................................................................................................................................................TGCTCTCGAATCACC------CTCAGAGTGCC...............................26200.459000010000000000000000000204000001001000000000000000000000000000
.........................................................................................................................................................................................................................................................................................TGAGATCACAGCCTTCATCGAACTTA.....................................................................................................26200.459000200000000100000000000022000001000010000000000000000000000000
....................................TCATGATGAAGCAAATGTTCGCCC............................................................................................................................................................................................................................................................................................................................................................24200.459000030100000000000001001000010000000002000000000000000000000000
.........................................................................................................................................................................................................................................................................................TGAGATCACAGCCTTCATCGAAT........................................................................................................23200.459000000000000000000000000003120000010020000000000000000000000000
....................................................................................................................................................................................................................TAAA---------ATGAGCTCCCTCAGGATAGCAC.................................................................................................................................................................26190.428000000000000000000007000000010000000000000000000000000000000000
......................................................................................................................................................................................................................................................................................................................................GCTCACGGAGACTCACTTCTGC............................................................22200.408008000000000000000000000000000000000000000000000000000000000000
.....................................................................................................................................................................................................................................................................................................................................TGCTCACGGAGACTCACTTCTGCTCTCG.......................................................28200.408008000000000000000000000000000000000000000000000000000000000000
....................................................................................................................................................................................................................................................................................................................................................................CACC------CTCAGAGTGCCAGGCTA.........................21200.408007000000000000000000000010000000000000000000000000000000000000
............................................................................................................................................................................................................................................................................................................................................................TCTCGAATCACC------CTCAGAGTGCCAGT............................26200.408000000000000000000000000021000000030011000000000000000000000000
.........................................................................................................................................................................................................................................................................................TGAGATCACAGCCTTCATCGAACTCCACC..................................................................................................29200.408204000000000000000000000010000000000000000000000010000000000000
..................................................................................................................ACAGACTCTTTTACAAGCGCTAAAT.............................................................................................................................................................................................................................................................................25200.408000000100000000000000001020000000003001000000000000000000000000
..................................................................................................................ACAGACTCTTTTACAAGCGCTAATA.............................................................................................................................................................................................................................................................................25200.408000000000000100000000000012000001002010000000000000000000000000
.......................................................................................................................................................................................................................................................................AGTCTTTTCGAAAGCGAA...............................................................................................................................18140.365000010001000000000000000000100000000002000000000000000000000000
....................................................................................................................................................................................................................................................CACTATGGAACGCCAACGGAGTCTT...........................................................................................................................................25200.357004000000000000000000000100110000000000000000000000000000000000
............................................................................................................................................................................................................................................................................................................................................................TCTCGAATCACC------CTCAGAG...................................19200.357000000000000100000000000010110000000201000000000000000000000000
............................................................................................................................................................................................................................................................................................................................................................TCTCGAATCACC------CTCAGAGTGCCAGGCT..........................28200.357000000000000000000000000120100000020100000000000000000000000000
............................................................................................................................................................................................................................................................................................................................................................TCTCGAATCACC------CTCAGAGTGCCAA.............................25200.357000000000000100000000000010200001002000000000000000000000000000
......................................................................................................................................................................................................................................................................................................................................GCTCACGGAGACTCACTTCTGCTC..........................................................24200.357007000000000000000000000000000000000000000000000000000000000000
............................................................................................................................................................................................................................................................................................................................................................TCTCGAATCACC------CTCAGAGTGCCT..............................24200.357000000000000000000000000210110000000020000000000000000000000000
....................................TCATGATGAAGCAAATGTTCGT..............................................................................................................................................................................................................................................................................................................................................................22200.357000000200000000000001001000000001000200000000000000000000000000
.........................................................................................................................................................................................................................................................................................TGAGATCACAGCCTTCATCGAACTTAT....................................................................................................27200.357001000000000000000000000111200000001000000000000000000000000000
.........................................................................................................................................................................................................................................................................................TGAGATCACAGCCTTCATCGAACTG......................................................................................................25200.357002100000000000000000000100100001000000000000000000000000100000
.......................................................................................................................................................................................................................................................TATGGAACGCCAACGGAGTCTTTTCG.......................................................................................................................................26200.357000000000000000000005000000020000000000000000000000000000000000
..............................................................................................................................................................................................................................................................................TCGAAAGCGAATGAGATCACAGCCT.................................................................................................................25120.334000000010000000000002000000010000000000000000000000000000000000
..............................................................................................................................................................................................................................................................CGCCAACGGAGTCTTTTCGAAAGC..................................................................................................................................24130.314000000001000000000001000000020000000000000000000000000000000000
......................................ATGATGAAGCAAATGTTCGCCA............................................................................................................................................................................................................................................................................................................................................................22200.306001000000000000000001000110001001000000000000000000000000000000
.........................................................................................................................................................................................................................................................................................................................TCGATGTGTTTCTGCTCACGGAGAC......................................................................25200.306000000000000000000000001000041000000000000000000000000000000000
.............................................................................................................................................................................................................................................................................................................................TGTGTTTCTGCTCACGGAGACTCA...................................................................24200.306000000000000000000001000020001000000002000000000000000000000000
............................................................................................................................................................................................................................................................................................................................................................TCTCGAATCACC------CTCAGAGTGCCATT............................26200.306000010000000100000000000101000001010000000000000000000000000000
..................................................................................................................ACAGACTCTTTTACAAGCGCTAATAT............................................................................................................................................................................................................................................................................26200.306000000000000000000000002001000001010001000000000000000000000000
..................................................................................................................ACAGACTCTTTTACAAGCGCTAATGCAA..........................................................................................................................................................................................................................................................................28200.306002000000000000000000000100000000020100000000000000000000000000
..........................................................................................................................................................................................................................................................................................GAGATCACAGCCTTCATCGAACTCC.....................................................................................................25200.306006000000000000000000000000000000000000000000000000000000000000
...................................................................................................................................................................................................................................................GCACTATGGAACGCCAACGGAGTG.............................................................................................................................................24200.306001010000000000000000000101100000000000000000000000000000000001
..................................................................................................................ACAGACTCTTTTACAAGCGCTAC...............................................................................................................................................................................................................................................................................23200.306000020200000000000000001000100000000000000000000000000000000000
....................................TCATGATGAAGCAAATGTTCGCCT............................................................................................................................................................................................................................................................................................................................................................24200.306100000000000000000000000001010000001010000000000001000000000000
.........................................................................................................................................................................................................................................................................................TGAGATCACAGCCTTCATCGAACTTG.....................................................................................................26200.306000000000000000000000000022100000010000000000000000000000000000
............................................................................................................................................................................................................................................................................TTTCGAAAGCGAATGAGATCACAGCCT.................................................................................................................27110.273000000000000000000001000000000000000000000000001100000000000000
...................................................................................................................................................................................................................................................GCACTATGGAACGCCAACGGAGTCTAA..........................................................................................................................................27200.255000000000000000000000000020200000010000000000000000000000000000
.....................................CATGATGAAGCAAATGTTCGCCAGA-----------------------------.............................................................................................................................................................................................................................................................................................................................25200.255003010000000000000000000100000000000000000000000000000000000000
................................................................................................................................................................................................................................................................................................................................................................................................ACTCTCCACACCGCCAACCACC..22200.255104000000000000000000000000000000000000000000000000000000000000
.......................................................................................................................CTCTTTTACAAGCGCTAATC.............................................................................................................................................................................................................................................................................20200.255000000000000000000000000000000000000000000000000000000000000005
...................................................................................................................................................................................................................................................GCACTATGGAACGCCAACGGAGTCTTA..........................................................................................................................................27200.255002000000000000000000000001100000000000000000000000000000000001
....................................................................................................................................................................................................................................................................................................................................................................CACC------CTCAGAGTGCCAGGCTACAA......................24200.255104000000000000000000000000000000000000000000000000000000000000
.........................................................................................................................CTTTTACAAGCGCTAATG.............................................................................................................................................................................................................................................................................18200.255000000000000000000000001000000000000100000000000000000000000003
.....................................................................................................................................................................................................................................................ACTATGGAACGCCAACGGAGTCT............................................................................................................................................23200.255003000000000000000000000000000000000101000000000000000000000000
..................................................................................................................................................................................................................................................................................................................................TTCTGCTCACGGAGACTCACTTCTGC............................................................26200.255000000000000000000002000000012000000000000000000000000000000000
.......................................................................................................................................................................................................................................TCCCTCAGGATAGCACTATGGAAC.........................................................................................................................................................24200.255000000000000000000000002010010000000100000000000000000000000000
.....................................CATGATGAAGCAAATGTTCGCC.............................................................................................................................................................................................................................................................................................................................................................22200.255004000000000000000000000000010000000000000000000000000000000000
.........................................................................................................................................................................................................................................................................................................................................................TGCTCTCGAATCACC------CTCAGAGTGCCAG.............................28200.255000000000000000000000000003000000002000000000000000000000000000
....................................................................................................................................................................................................................................................CACTATGGAACGCCAACGGAGTCTTT..........................................................................................................................................26200.255001000000000000000000000110200000000000000000000000000000000000
..........................................................................................................................................................................................................................................................................................GAGATCACAGCCTTCATCGAACTC......................................................................................................24200.255002100000000000000000000000000000000000000000000000000000000002
....................................TCATGATGAAGCAAATGTTCGCCATT-----------------------------.............................................................................................................................................................................................................................................................................................................................26200.255000000000000000000000000111000000001010000000000000000000000000
.............................................................................................................................................................................................................................................................................................................................TGTGTTTCTGCTCACGGAGACTC....................................................................23200.255000000000000000000000000020000000011001000000000000000000000000
..................................................................................................................ACAGACTCTTTTACAAGCGCTAATGCACAC........................................................................................................................................................................................................................................................................30200.204000000000000000000000000000000000000000010000000000000000000003
....................................TCATGATGAAGCAAATGT..................................................................................................................................................................................................................................................................................................................................................................18200.204000000000000000000000002001000000000001000000000000000000000000
.........................................................................................................................................................................................................................................................................................TGAGATCACAGCCTTCAT.............................................................................................................18200.204000000200000000000000000100000000010000000000000000000000000000
.........................................................................................................................................................................................................................................................................................................................................................TGCTCTCGAATCACC------CTCAGAGTT.................................24200.204000000000000000000000000100010001000010000000000000000000000000
..............................................................................................................................................................................................................................................................CGCCAACGGAGTCTTTTCGAA.....................................................................................................................................21200.204000000000000000000002000000100000001000000000000000000000000000
....................................................................................................................................................................................................................................................CACTATGGAACGCCAACGGA................................................................................................................................................20200.204002000001000000000000000000010000000000000000000000000000000000
..................................................................................................................ACAGACTCTTTTACAAGCGCTC................................................................................................................................................................................................................................................................................22200.204001000000000000000002001000000000000000000000000000000000000000
....................................................................................................................................................................................................................................................CACTATGGAACGCCAACGGAG...............................................................................................................................................21200.204002000000000000000000000000010000000100000000000000000000000000
..................................................................................................................ACAGACTCTTTTACAAGCGCTAATGCACC.........................................................................................................................................................................................................................................................................29200.204201000000000000000000000000010000000000000000000000000000000000
........................................................................................................................................................................................................................................CCCTCAGGATAGCACTATGGAACGCC......................................................................................................................................................26200.204000000000000110000000000000020000000000000000000000000000000000
..................................................................................................................ACAGACTCTTTTACAAGCGCTAATGCAAT.........................................................................................................................................................................................................................................................................29200.204000000000000000000000000112000000000000000000000000000000000000
...................................................................................................................................................................................................................................................GCACTATGGAACGCCAACGGAGTTC............................................................................................................................................25200.204000000000000000000000000101000000002000000000000000000000000000
...................................................................................................................................................................................................................................................GCACTATGGAACGCCAACGGAGTTAA...........................................................................................................................................26200.204000000000000000000000000000100002001000000000000000000000000000
..........................................................................................................................................................................................................................................................................................GAGATCACAGCCTTCATCGAAC........................................................................................................22200.204004000000000000000000000000000000000000000000000000000000000000
....................................................................................................................................................................................................................................................................................................................................................................CACC------CTCAGAGTGCCAGGCTACACT.....................25200.204004000000000000000000000000000000000000000000000000000000000000
...................................................................................................................................................................................................................................................GCACTATGGAACGCCAACGGAGTCTC...........................................................................................................................................26200.204000000000000000000000000010111000000000000000000000000000000000
.........................................................................................................................................................................................................................................................................................................................TCGATGTGTTTCTGCTCACGGAGA.......................................................................24200.204000000000000000000000000000130000000000000000000000000000000000
............................................................................................................................................................................................................................................................................................................................................................TCTCGAATCACC------CTCAGAGTGCTT..............................24200.204000010000000000000000000010000001000001000000000000000000000000
....................................................................................................................................................................................................................................................CACTATGGAACGCCAACGGAGT..............................................................................................................................................22200.204000010001000000000001000000001000000000000000000000000000000000
.........................................................................................................................................TGCACACT----------------------------------AGC-------GCC-----AAAAATAACAGTGC.....................................................................................................................................................................................................28200.204000000000000000000000000000040000000000000000000000000000000000
.....................................................................................................................................................................................................................................................................................................................................TGCTCACGGAGACTCACTTCTGCC...........................................................24200.204004000000000000000000000000000000000000000000000000000000000000
.........................................................................................................................................................................................................................................................................................................................TCGATGTGTTTCTGCTCACGGAGACTC....................................................................27200.204000000000000000000000000000020010000010000000000000000000000000
..................................................................................................................ACAGACTCTTTTACAAGCGCTT................................................................................................................................................................................................................................................................................22200.204000010000000000000000001101000000000000000000000000000000000000
...................................................................................................................................................................................................................................................GCACTATGGAACGCCAACGGAGTCC............................................................................................................................................25200.204100200000000000000000000000000000000010000000000000000000000000
..................................................................................................................ACAGACTCTTTTACAAGCGCTAATGCATT.........................................................................................................................................................................................................................................................................29200.204000000000000000000000000001200000000010000000000000000000000000
...................................................................................................................................................................................................................................................GCACTATGGAACGCCAAC...................................................................................................................................................18200.204000000100000000000000002000000000000001000000000000000000000000
....................................................................................................................................................................................................................................................CACTATGGAACGCCAACGGAGTC.............................................................................................................................................23200.204001000001000100000001000000000000000000000000000000000000000000
.....................................................................................................................................................................................................................................................ACTATGGAACGCCAACGGAGTC.............................................................................................................................................22200.204001000000000000000000000000000000011001000000000000000000000000
.................................................................................................................................................................................................................................................................................................................................TTTCTGCTCACGGAGACTCACTTC...............................................................24200.204000000000001000001000000000100001000000000000000000000000000000
....................................................................................................................AGACTCTTTTACAAGCGCTAAT..............................................................................................................................................................................................................................................................................22200.204000000001020000000000001000000000000000000000000000000000000000
..........................................................................................................................................................................................................................................................................................................................................................................................GGCTACACTCTCCACACCGCCAACC.....25200.204004000000000000000000000000000000000000000000000000000000000000
..........................................................................................................................................................................................................................................................................................GAGATCACAGCCTTCATCGAACT.......................................................................................................23200.204003100000000000000000000000000000000000000000000000000000000000
...............................................................................................................................................................................................................................................................................................................................................................................................CACTCTCCACACCGCCAACCACC..23200.204004000000000000000000000000000000000000000000000000000000000000
...................................................................................................................................................................................................................................................................................................................................................................TCACC------CTCAGAGTGCCAGGCTACACTC....................27200.204001000000000000000000000010000000000000000000000000000000000002
..................................................................................................................ACAGACTCTTTTACAAGCGCTAATTTT...........................................................................................................................................................................................................................................................................27200.204000000000000000000000000001000000001011000000000000000000000000
.........................................................CCAGA-----------------------------TTCGACCAACTGATGTCT...........................................................................................................................................................................................................................................................................................................23200.204000010000000000000002000000010000000000000000000000000000000000
....................................................................................................................................................................................................................................................................................................................................................................CACC------CTCAGAGTGCCAGGCTACACTCTCC.................29200.204103000000000000000000000000000000000000000000000000000000000000
...................................................................................................................................................................................................................................................GCACTATGGAACGCCAACGGAGA..............................................................................................................................................23200.204000010000000100000000002000000000000000000000000000000000000000
....................................TCATGATGAAGCAAATGTTCGCCTA...........................................................................................................................................................................................................................................................................................................................................................25200.204000000100000000000000000100000000000002000000000000000000000000
.....................................CATGATGAAGCAAATGTTCGCCA............................................................................................................................................................................................................................................................................................................................................................23200.204003000000000000000000000000000000000010000000000000000000000000
...................................................................................................................................................................................................................................................GCACTATGGAACGCCAACGGAGTCTTTT.........................................................................................................................................28200.204000000000000000000000000030100000000000000000000000000000000000
.....................................................................................................................................................................................................................................................................................................................................TGCTCACGGAGACTCACTTCTGCTT..........................................................25200.204004000000000000000000000000000000000000000000000000000000000000
.............................................................................................................................................................................................................................................................................TTCGAAAGCGAATGAGATCACAGCCT.................................................................................................................26110.182000000000000000000000000000010000000000000000000001000000000000
.........................................................................................................................................................................................................................................................................TCTTTTCGAAAGCGAATGAGATCACA.....................................................................................................................26120.172000002000000000000000000000000000000000000000000000000000000000
..............................................................................................................................................................................................................AGTGCCTAAA---------ATGAGCTCC..............................................................................................................................................................................19190.163100000001000000000000000100000000000000000000000000000000000000
................................................................................................................................................T----------------------------------AGC-------GCC-----AAAAATAACAGTGCCTAAA---------AT.....................................................................................................................................................................................28190.163001000000000000000000000000020000000000000000000000000000000000
............................................................................................................................................................................................................ACAGTGCCTAAA---------ATGAGCTCC..............................................................................................................................................................................21190.163000000000000000000000000001001000010000000000000000000000000000
..........................................................................................................................................................................................................TAACAGTGCCTAAA---------ATGAGCTCCCTC...........................................................................................................................................................................26190.163000000000000000000000000000030000000000000000000000000000000000
.....................................................................................................................................................................................................AAAAATAACAGTGCCTAAA---------ATGAGCTC...............................................................................................................................................................................27190.163000000000000000000000001000000000010100000000000000000000000000
...............................................................................................................................................................................................................GTGCCTAAA---------ATGAGCTCCCTC...........................................................................................................................................................................21190.163000000000000000000001000011000000000000000000000000000000000000
............................................................................................................................................................................................................................................................................................................................................................TCTCGAATCACC------CTCAGAGTGCCAGGT...........................27200.153000000000000000000000000011000000000100000000000000000000000000
............................................................................................................................................................................................................................................................................................................................................................TCTCGAATCACC------CTCAGAGTGCA...............................23200.153000000000000000000000000000100000000020000000000000000000000000
....................................TCATGATGAAGCAAATGTTCGCCATT-----------------------------G............................................................................................................................................................................................................................................................................................................................27200.153000000100000000000000000011000000000000000000000000000000000000
...................................................................................................................................................................................................................................................GCACTATGGAACGCCAACGGC................................................................................................................................................21200.153000000000000000000002000000000000010000000000000000000000000000
......................................................................................................................................................................................................................................................................................................................................GCTCACGGAGACTCACTTCTG.............................................................21200.153003000000000000000000000000000000000000000000000000000000000000
..............................................................................................................................................................................................................................................................................................................................................................TCGAATCACC------CTCAGAGTGCCAG.............................23200.153000000000000000000000000000030000000000000000000000000000000000
...................................................................................................................CAGACTCTTTTACAAGCGCTAATGCAC..........................................................................................................................................................................................................................................................................27200.153002000000000000000000000000000000000001000000000000000000000000
.........................................................................................................................................................................................................................................................................................TGAGATCACAGCCTTCATCGAACTAT.....................................................................................................26200.153001000000000100000000000000000000000010000000000000000000000000
.................................................................................................................................................................................................................................ATGAGCTCCCTCAGGATA.....................................................................................................................................................................18200.153000000000000000000000001002000000000000000000000000000000000000
.........................................................................................................................CTTTTACAAGCGCTAATC.............................................................................................................................................................................................................................................................................18200.153000000000000000000000000000000000000000000000000000000000000003
.....................................................................................................................................................................................................................................................................................................................................................................ACC------CTCAGAGTGCCAGGCTACAC......................23200.153003000000000000000000000000000000000000000000000000000000000000
....................................TCATGATGAAGCAAATGTTCGCCAAT-----------------------------.............................................................................................................................................................................................................................................................................................................................26200.153001000000000000000000001000100000000000000000000000000000000000
.................................................................................................................................................................................................................................................................................................................................TTTCTGCTCACGGAGACTCACTT................................................................23200.153000000000000000000000000001100000000001000000000000000000000000
.........................................................................................................................................................................................................................................................................................................................TCGATGTGTTTCTGCTCACGGAGACTCA...................................................................28200.153000000000000000000000000000102000000000000000000000000000000000
.......................................................................................................................CTCTTTTACAAGCGCTAAT..............................................................................................................................................................................................................................................................................19200.153000000000000000000000000000000000000000000000000000000000000003
..................................................................................................................................................................................................................................................................................................................................TTCTGCTCACGGAGACTCACTTCTG.............................................................25200.153000000000000000000002000000001000000000000000000000000000000000
.....................................CATGATGAAGCAAATGTTCGC..............................................................................................................................................................................................................................................................................................................................................................21200.153003000000000000000000000000000000000000000000000000000000000000
....................................TCATGATGAAGCAAATGTTCGCCATT-----------------------------A............................................................................................................................................................................................................................................................................................................................27200.153000000000000000000000000200000000001000000000000000000000000000
................................................................................................................................................................................................................................................................................................................................................................................................ACTCTCCACACCGCCAACCACCC.23200.153003000000000000000000000000000000000000000000000000000000000000
....................................TCATGATGAAGCAAATGTTCGCCATG-----------------------------.............................................................................................................................................................................................................................................................................................................................26200.153000000000000000000000000000100000000002000000000000000000000000
....................................TCATGATGAAGCAAATGTT.................................................................................................................................................................................................................................................................................................................................................................19200.153000000000000010000000001001000000000000000000000000000000000000
.................................................................................................................TACAGACTCTTTTACAAGCGCTAATGC............................................................................................................................................................................................................................................................................27200.153000000000000000000000000010000000020000000000000000000000000000
.........................................................................................................................................................................................................................................................................................TGAGATCACAGCCTTCATCGT..........................................................................................................21200.153000000002000000000001000000000000000000000000000000000000000000
..................................................................................................................ACAGACTCTTTTACAAGCGCTAATGCAG..........................................................................................................................................................................................................................................................................28200.153001000000000000000000000101000000000000000000000000000000000000
.........................................................................................................................................................................................................................................................................................................................................................TGCTCTCGAATCACC------CTCAGAGTGCCA..............................27200.153000000000000000000000000002010000000000000000000000000000000000
......................................................................................................................................................................................................................................................................................................................................GCTCACGGAGACTCACTTCTGCTCTC........................................................26200.153003000000000000000000000000000000000000000000000000000000000000
..........................................................................................................................................................................................................................................................................................................................................................................................GGCTACACTCTCCACACCGCCA........22200.153003000000000000000000000000000000000000000000000000000000000000
........................................................................................................................................................................................................................................................ATGGAACGCCAACGGAGTCT............................................................................................................................................20200.153000000002000000000000000000000000010000000000000000000000000000
droGri2
ATATCAA-A---ATTCGA--CAAGTT--G-----------AG-----------------------------------------------------------------------------------------------TGAGACACAAATGGCCATGATGAGCCT-----CTTGAACGCTGCA-------CTTGCA----------------AAATGATGAGCCAA---ATTGGGTTGCGCATTGGCGTGTGGAACGCCAATGGCCTTGCAAATAACGCCAATGAGTTTTAGTTATTTATTCAACGCCATCAAATAGATGTAATGTTGGTCTGCGAGACTCATTACTGCTCCAGATCGCAC------TACAGGCTACCAGGTTACGATATTCAC------------CTTSizeHit CountTotal NormTotalM041
Female-body
V109
Male-body
........................................................................................................................................................................................................................................................................................................................ATAGATGTAATGTTGGTCTGCGAGACT.....................................................................27200.05110
........................................................................................................................................................................................................................................................................................................................ATAGATGTAATGTTGGTCTGC...........................................................................21200.05110
droWil2
CAGCAAA-TGCA---GCTG---------------------AATGCCTTAAGTGCTCTGG-T----------A-----------------------------------------------------AAAGAGCAATCCCA-------------CAAGATTACAGT-----CCTGGTGGATACC-------ATTTCAA---------AATTTT--ATAAT-----ATATAATGTCTTTGAGAATTTGTATTTGGAACGCAAATGGCCTTCGTAACAAGGCCCTAGAATTAACTGCTTTCCTTTAACTAATAGATGTACATATAATGCTAATATCAGAGACTTTTGAAGGCGCTCG------C------TTAAAAATATTTGGCTACGAGCATTAC------------AATSizeHit CountTotal NormTotalM020
Head
M045
Female-body
V117
Male-body
V118
Embryo
V119
Head
No Reads
dp5
AATGC-----------------------------------------------------------------------------------------------------------------------------------------------------------------------------------------------------------------------------------CTTACCGTATAGGTATTTGGAATGCGTCGGGCATAGCCAACAAAAGCCTAGAACTCAAAAACTTCATTACAACGAATCAAATCGACATTATGCTTCTCTCGGTAACGCACTTCTGCAGCAGAACAACA------TTCAAACTAATAGGATATGAACTGTACACTGCAAAT---CATSizeHit CountTotal NormTotalM022
Male-body
M040
Female-body
M059
Embryo
M062
Head
V043
Embryo
V051
Head
V112
Male-body
SRR902010
Ovary
SRR902011
Testis
SRR902012
CNS imaginal disc
.....................................................................................................................................................................................................................................................................................................................................................................................TAATAGGATATGAACTGTACACTGC..........25213.502700000002160
.....................................................................................................................................................................................................................................................................................................................................................................................TAATAGGATATGAACTGTACACTGCAA........2725.50110000000920
.....................................................................................................................................................................................................................................................................................................................................................................................TAATAGGATATGAACTGTACACT............2322.5050000000500
.....................................................................................................................................................................................................................................................................................................................................................................................TAATAGGATATGAACTGTACACTGCA.........2622.5050000000410
.....................................................................................................................................................................................................................................................................................................................................................................................TAATAGGATATGAACTGTACACTGCAAA.......2822.5050000000320
........................................................................................................................................................................................................................................................................................TAGAACTCAAAAACTTCATT............................................................................................................2072.431701000001600
......................................................................................................................................................................................................................................................................................................................................................................................AATAGGATATGAACTGTACACTGCAA........2622.0040000000400
......................................................................................................................................................................................................................................................................................................................................TCTCTCGGTAACGCACTTCTGCAGCA........................................................2612.0020200000000
......................................................................................................................................................................................................................................................................................................................................TCTCTCGGTAACGCACTTCTGCA...........................................................2312.0020200000000
........................................................................................................................................................................................................................................................................................TAGAACTCAAAAACTTCATTACAACG......................................................................................................2621.5030000000300
.....................................................................................................................................................................................................................................................................................................................................................................................TAATAGGATATGAACTGTACACTG...........2421.5030000000300
......................................................................................................................................................................................................................................................................................................................................TCTCTCGGTAACGCACTTCTGCAGCAG.......................................................2711.0010100000000
.......................................................................................................................................................................................................................................................................................................................................CTCTCGGTAACGCACTTCTGCAGCA........................................................2511.0010100000000
......................................................................................................................................................................................................................................................................................................................................TCTCTCGGTAACGCACTTCTGC............................................................2211.0010100000000
.............................................................................................................................................................................................................................................................................................................................................................................................TATGAACTGTACACTGCAAAT---CA.2321.0020000000200
......................................................................................................................................................................................................................................................................................................................................TCTCTCGGTAACGCACTTCTGCAGC.........................................................2511.0010100000000
.......................................................................................................................................................................................................................................................................................................................................CTCTCGGTAACGCACTTCTGCAG..........................................................2311.0010100000000
.............................................................................................................................................................................................................................................CGTATAGGTATTTGGAATGCGTCG...................................................................................................................................................2480.8870200000500
.......................................................................................................................................................................................................................................................................................CTAGAACTCAAAAACTTCATTACAA........................................................................................................2520.5010100000000
...............................................................................................................................................................................................................................................................................................................................................................................TCAAACTAATAGGATATGAACTGTACAC.............2820.5010000000100
.......................................................................................................................................................................................................................................................................................................................................................................A------TTCAAACTAATAGGATATGAACTG..................2520.5010100000000
........................................................................................................................................................................................................................................................................................TAGAACTCAAAAACTTCATTACA.........................................................................................................2320.5010100000000
.................................................................................................................................................................................................................................................TAGGTATTTGGAATGCGTCGGGCA...............................................................................................................................................2480.5040000000400
...............................................................................................................................................................................................................................................................................................................................................................................TCAAACTAATAGGATATGAACTGTAC...............2620.5010100000000
.....................................................................................................................................................................................................................................................TATTTGGAATGCGTCGGGCATAGC...........................................................................................................................................2480.3830200000010
.................................................................................................................................................................................................................................................TAGGTATTTGGAATGCGTCGGG.................................................................................................................................................2280.3830200000100
.................................................................................................................................................................................................................................................TAGGTATTTGGAATGCGTCGGGCATAGC...........................................................................................................................................2880.3830000000300
.....................................................................................................................................................................................................................................................................................................CTTCATTACAACGAATCAAATCGA...........................................................................................2430.3310100000000
...............................................................................................................................................................................................................................................................................................................................................................................TCAAACTAATAGGATATG.......................1830.3310100000000
.........................................................................................................................................................................................................................................................TGGAATGCGTCGGGCATAGCCAAC.......................................................................................................................................2490.3330300000000
....................................................................................................................................................................................................................................................................................................................................................................AACA------TTCAAACTAATAGGATATGAAC....................2630.3310100000000
......................................................................................................................................................................................................................................................................................................................................................................CA------TTCAAACTAATAGGATATGAAC....................2430.3310100000000
...............................................................................................................................................................................................................................................................................................................................................................................TCAAACTAATAGGATATGAAC....................2130.3310100000000
.......................................................................................................................................................................................................................................................................................................................................................TCTGCAGCAGAACAACA------TTCAAAC...................................2470.2920000000200
...................................................................................................................................................................................................................................................................................................................................................CACTTCTGCAGCAGAACAACA------TTCAAACT..................................2970.2920000000200
.......................................................................................................................................................................................................................................................................................CTAGAACTCAAAAACTTCATT............................................................................................................2170.2920000000200
.................................................................................................................................................................................................................................................TAGGTATTTGGAATGCGTCGGGCATAG............................................................................................................................................2780.2520100000100
...................................................................................................................................................................................................................................................GGTATTTGGAATGCGTCGGGCATAG............................................................................................................................................2580.2520100000100
..........................................................................................................................................................................................................................................TACCGTATAGGTATTTGGAATGCGT.....................................................................................................................................................2580.2520110000000
...................................................................................................................................................................................................................................................GGTATTTGGAATGCGTCGGGCAT..............................................................................................................................................2380.2520200000000
..............................................................................................................................................................................................................................................................TGCGTCGGGCATAGCCAACAAAAGCC................................................................................................................................2690.2220200000000
...............................................................................................................................................................................................................................................................GCGTCGGGCATAGCCAACAAAAGC.................................................................................................................................2490.2220200000000
..............................................................................................................................................................................................................................................................................................................................................................CAGAACAACA------TTCAAACTAATAGG............................2460.1710100000000
.........................................................................................................................................................................................................................................................................TAGCCAACAAAAGCCTAGAACTCAAA.....................................................................................................................2660.1710100000000
..................................................................................................................................................................................................................................................................................................................................................................ACAACA------TTCAAACTAATAGGATA.........................2360.1710100000000
................................................................................................................................................................................................................................................................................CAAAAGCCTAGAACTCAAAAACTT................................................................................................................2460.1710100000000
..........................................................................................................................................................................................................................................................................AGCCAACAAAAGCCTAGAACTCAA......................................................................................................................2460.1710100000000
............................................................................................................................................................................................................................................................................CCAACAAAAGCCTAGAACTCAAAAACT.................................................................................................................2760.1710100000000
.........................................................................................................................................................................................................................................................................................AGAACTCAAAAACTTCATT............................................................................................................1970.1410000000100
.......................................................................................................................................................................................................................................................................................................................................................TCTGCAGCAGAACAACA------TTCAAAAA..................................2570.1410000000100
..........................................................................................................................................................................................................................................................................................................................................................GCAGCAGAACAACA------TTCAAACTA.................................2370.1410100000000
.......................................................................................................................................................................................................................................................................................................................................................TCTGCAGCAGAACAACA------TTCAAACTA.................................2670.1410100000000
......................................................................................................................................................................................................................................................................................................................................................TTCTGCAGCAGAACAACA------TTCAAAC...................................2570.1410100000000
.....................................................................................................................................................................................................................................................TATTTGGAATGCGTCGGGCATAG............................................................................................................................................2380.1310100000000
.....................................................................................................................................................................................................................................................TATTTGGAATGCGTCGGGCATAGA...........................................................................................................................................2480.1310100000000
.........................................................................................................................................................................................................................................TTACCGTATAGGTATTTGGAATGCG......................................................................................................................................................2580.1310100000000
......................................................................................................................................................................................................................................................ATTTGGAATGCGTCGGGC................................................................................................................................................1880.1310100000000
.................................................................................................................................................................................................................................................TAGGTATTTGGAATGCGTCG...................................................................................................................................................2080.1310100000000
..........................................................................................................................................................................................................................................TACCGTATAGGTATTTGGAATGCG......................................................................................................................................................2480.1310100000000
.....................................................................................................................................................................................................................................................TATTTGGAATGCGTCGGGCATAGCC..........................................................................................................................................2580.1310100000000
.................................................................................................................................................................................................................................................TAGGTATTTGGAATGCGTCGG..................................................................................................................................................2180.1310100000000
...................................................................................................................................................................................................................................................GGTATTTGGAATGCGTCGGGCATA.............................................................................................................................................2480.1310000000100
................................................................................................................................................................................................................................................ATAGGTATTTGGAATGCGTCG...................................................................................................................................................2180.1310000001000
....................................................................................................................................................................................................................................................GTATTTGGAATGCGTCGGG.................................................................................................................................................1980.1310100000000
...............................................................................................................................................................................................................................................TATAGGTATTTGGAATGCGTCGGGCA...............................................................................................................................................2680.1310100000000
.................................................................................................................................................................................................................................................TAGGTATTTGGAATGCGTCGGGC................................................................................................................................................2380.1310100000000
...................................................................................................................................................................................................................................................GGTATTTGGAATGCGTCGGGCA...............................................................................................................................................2280.1310100000000
.................................................................................................................................................................................................................................................TAGGTATTTGGAATGCGTCGGGCATA.............................................................................................................................................2680.1310100000000
...................................................................................................................................................................................................................................................GGTATTTGGAATGCGTCGGG.................................................................................................................................................2080.1310100000000
.....................................................................................................................................................................................................................................................TATTTGGAATGCGTCGGGC................................................................................................................................................1980.1310000000100
...................................................................................................................................................................................................................................................................................................................................................CACTTCTGCAGCAGAACAACA------TTC.......................................2480.1310100000000
.....................................................................................................................................................................................................................................................TATTTGGAATGCGTCGGGCATAGCCA.........................................................................................................................................2680.1310100000000
..TGC-----------------------------------------------------------------------------------------------------------------------------------------------------------------------------------------------------------------------------------CTTACCGTATAGGTATTTGGAAA.........................................................................................................................................................2680.1310000000100
......................................................................................................................................................................................................................................................................................................................................................TTCTGCAGCAGAACAACA------TTCA......................................2280.1310000000100
........................................................................................................................................................................................................................................................TTGGAATGCGTCGGGCATAGAA..........................................................................................................................................2290.1110100000000
..............................................................................................................................................................................................................................................................TGCGTCGGGCATAGCCAACAAAAG..................................................................................................................................2490.1110100000000
........................................................................................................................................................................................................................................................TTGGAATGCGTCGGGCATAGCCAAC.......................................................................................................................................2590.1110000001000
..........................................................................................................................................................................................................................................................GGAATGCGTCGGGCATAGCCAACAA.....................................................................................................................................2590.1110000000100
.......................................................................................................................................................................................................................................................TTTGGAATGCGTCGGGCATAGCCAAC.......................................................................................................................................2690.1110100000000
..........................................................................................................................................................................................................................................................GGAATGCGTCGGGCATAGCCAAC.......................................................................................................................................2390.1110100000000
..............................................................................................................................................................................................................................................................TGCGTCGGGCATAGCCAACA......................................................................................................................................20100.1010000001000
.....................................................................................................................................................................................................................................................................................................................................................CTTCTGCAGCAGAACAACA------TT........................................21100.1010100000000
droPer2
ATGAACG-A---CCTTAA----------------TAGTAGAATGGATCAAATGTTCAAACTAATACAGGATACGATGGAGGCAAACAAAGCCTTCCGGGA--------------------------------C--------------------------------CTGGTACAGAAGCTTAT-------TTCAAAA---------TGAA------------CAAG---CTTCAATTAAAAATCGGATTTTGGAATGCACGAGGGCTAGTCAAGAACATTGAAGAACTTAGACTTTTCCTTAATGCTAATAAAATCGATGTAATGTTGATTACGGAGACACATATGCGCCCTGGTCTGAGA------GCATTCGTACCAGGATACGACCAATAT------------TACSizeHit CountTotal NormTotalM021
Embryo
M042
Female-body
V042
Embryo
V050
Head
V057
Head
V111
Male-body
................................................................................................................................................................................................................................................................................GAACATTGAAGAACTTAGACTTTTCCT.............................................................................................................2750.804400000
........................................................................................................................................................................................................................................................................................................................................TTACGGAGACACATATGCGCCCTGG.......................................................2530.672020000
.........................................................................................................................................................................................................................................................................................................................................TACGGAGACACATATGCGCCCTGG.......................................................2430.672020000
...................................................................................................................................................................................................................................................................................................................................................................TGAGA------GCATTCGTACCAGGATACGAC.....................2670.433030000
..............................................................................................................................................................................................................................................................................................................TGCTAATAAAATCGATGTAATGTTG.................................................................................2560.332020000
...............................................................................................................................................................................................................................................................................................................GCTAATAAAATCGATGTAATGTTGA................................................................................2560.332020000
........................................................................................................................................................................................................................................................................................................................................TTACGGAGACACATATGCGCCCTGGTC.....................................................2730.331010000
...................................................................................................................................................................................................................................................................................CATTGAAGAACTTAGACTTTTCCT.............................................................................................................2460.332020000
.........................................................................................................................................................................................................................................................................................................................................TACGGAGACACATATGCGCCCTGGT......................................................2530.331010000
...........................................................................................................................................................................................................................................................................................................................................CGGAGACACATATGCGCCCTGG.......................................................2230.331010000
...........................................................................TGGAGGCAAACAAAGCCTTCCGGGA--------------------------------C--------------------------------...................................................................................................................................................................................................................................................2640.251010000
.............................................................................................................................................................................................................................................................................CAAGAACATTGAAGAACTTAGACTTTT................................................................................................................2750.201010000
..............................................................................................................................................................................................................................................................................AAGAACATTGAAGAACTTAGACTTTTCC..............................................................................................................2850.201010000
............................................................................................................................................................................................................................................................................TCAAGAACATTGAAGAACTTAGACTTT.................................................................................................................2750.201010000
..............................................TCAAATGTTCAAACTAATACAGGATA................................................................................................................................................................................................................................................................................................................................................2650.201010000
......................................................TCAAACTAATACAGGATACGATGGAGGA......................................................................................................................................................................................................................................................................................................................................2850.201010000
......................................................TCAAACTAATACAGGATACGATGGA.........................................................................................................................................................................................................................................................................................................................................2550.201010000
.....................................................TTCAAACTAATACAGGATACGATGGAGG.......................................................................................................................................................................................................................................................................................................................................2850.201010000
................................................................................................................................................................................................................................................................................GAACATTGAAGAACTTAGACTTTTCCG.............................................................................................................2750.201100000
........................................................................................................................................................................................................................................................................CTAGTCAAGAACATTGAAGAACT.........................................................................................................................23110.182200000
..............................................................................................................................................................................................................................................................................................................TGCTAATAAAATCGATGTAATGTTGA................................................................................2660.171010000
...............................................................................................................................................................................................................................................................................................................GCTAATAAAATCGATGTAATGTTG.................................................................................2460.171010000
..............................................................................................................................................................................................................................................................................................................TGCTAATAAAATCGATGTAATGTT..................................................................................2460.171010000
...................................................................................................................................................................................................................................................................................CATTGAAGAACTTAGACTTTTC...............................................................................................................2260.171100000
.......................................................................................................................................................................................................................................................................................GAAGAACTTAGACTTTTCCTTAAT.........................................................................................................2460.171010000
...................................................................................................................................................................................................................................................................................................................................................................TGAGA------GCATTCGTACCAGGATACGACC....................2770.141010000
.........................................ATGGATCAAATGTTCAAACTAATACAGG...................................................................................................................................................................................................................................................................................................................................................2870.141010000
............................................................TAATACAGGATACGATGGAGGCAAA...................................................................................................................................................................................................................................................................................................................................2570.141010000
...............................................................................................................................................................................................................................................................................................................................................................................CATTCGTACCAGGATACGACC....................2170.141010000
..............................................................................................................................................................................................................................................................TGCACGAGGGCTAGTCAAGAACATTGA...............................................................................................................................2780.131100000
..............................................................................................................................................................................................................................................................TGCACGAGGGCTAGTCAAGAACATTGG...............................................................................................................................2780.131100000
.........................................ATGGATCAAATGTTCAAACTAATAC......................................................................................................................................................................................................................................................................................................................................................2580.131010000
...............TAA----------------TAGTAGAATGGATCAAATGTTCAAAC............................................................................................................................................................................................................................................................................................................................................................2980.131010000
..............................................................................................................................................................................................................................................................................................................................................................TGGTCTGAGA------GCATTCGTACCAGGATAC........................2890.111010000
...................................................................................................................................................................................................................................................................................................................................................................TGAGA------GCATTCGTACCAGGATACG.......................2490.111010000
.................................................................................................................................................................................................................................................................................................................................................................TCTGAGA------GCATTCGTACCAGGATAC........................2590.111010000
....................................................................................................................................................................................................................................................................................................................................................................GAGA------GCATTCGTACCAGGATACG.......................2390.111010000
..............................................................................................................................................................................................................................................................................................................................................................TGGTCTGAGA------GCATTCGTACCAGGA...........................25110.091010000
.................................................................................................................................................................................................................................................................................................................................................................TCTGAGA------GCATTCGTACCAGGATA.........................24110.091010000
.........................................................................................................................................................................................................................................................................................................................................................CGCCCTGGTCTGAGA------GCATTCGTACCA..............................27110.091010000
.............................................................................................................................................................................................................................................................................................................................................GAGACACATATGCGCCCTGG.......................................................20110.091010000
...................................................................................................................................................................................................................................................................................................................................................................TGAGA------GCATTCGTACCAGGAT..........................21110.091010000
.............................................................................................................................................................................................................................................................................................................................................GAGACACATATGCGCCCTGGTCTGAG.................................................26110.091010000
.......................................................................................................................................................................................................................................................................................................................................................TGCGCCCTGGTCTGAGA------GCATTCGTA.................................26110.091010000
.......................................................................................................................................................................................................................................................................................................................................................TGCGCCCTGGTCTGAGA------GCATTCGT..................................25110.091010000
..............................................................................................................................................................................................................................................................................................................................................................TGGTCTGAGA------GCATTCGTACCAGGAA..........................26110.091010000
.....................................................................................................................................................................................................................................................................................................................................................TATGCGCCCTGGTCTGAGA------GC........................................21120.081010000
..............TTAA----------------TAGTAGAATGGATCA.......................................................................................................................................................................................................................................................................................................................................................................19120.081010000
......................................................................TACGATGGAGGCAAACAAAGTA............................................................................................................................................................................................................................................................................................................................22130.081010000
........................................................................................................................................................................................................................................................................................................................................................GCGCCCTGGTCTGAGA------GCATTCG...................................23130.081010000
......................................................................TACGATGGAGGCAAACAAAGCCTTA.........................................................................................................................................................................................................................................................................................................................25130.081010000
....................................................................................................................................C--------------------------------CTGGTACAGAAGCTTAT-------TTCAA......................................................................................................................................................................................................................23140.071010000
.........................................................................................................................................................................TACAGAAGCTTAT-------TTCAAAA---------TGAA------------...........................................................................................................................................................................................24140.071010000
.........................................................................................................................................................................TACAGAAGCTTAT-------TTCAAAA---------TGAA------------CA.........................................................................................................................................................................................26140.071010000
droAna3
CAGCCTA--------------------------------------------------------------------------C-AACAAAGCCTGACGGAATTTATGTCGTTTATGCGCACAACTATGCAAGATTTAATGCGAAAC-------CA----AAATCTATTGATTCAAATGCTGGT-------TTCACAA---------CAATCCAAATA---------ATGGCTTTCCTACGGATATCTACGTGGAACGCTAACGGCGTTTCGCAACATAAACTTGAGTTAGCTCAATTCCTACTCGACAATCACATCGATGTAATGCTGCTTTCGGAAACACACCTCACAAACAAATACAAT------TTTCAACTACGAGTATAT---------------------TCASizeHit CountTotal NormTotalM044
Female-body
M058
Embryo
V039
Embryo
V055
Head
V105
Male-body
V106
Head
.................................................................................................................................................................................................................................ATGGCTTTCCTACGGATATCT..................................................................................................................................................................21200.102200000
....................................................................................................................................................................................................................................GCTTTCCTACGGATATCTACGTG.............................................................................................................................................................23200.051000001
......................................................................................................................................................................................................................................................................................................................................GCTTTCGGAAACACACCTCACA............................................................22200.051100000
.................................................................................................GAATTTATGTCGTTTATGCG...................................................................................................................................................................................................................................................................................................20200.051000001
..................................................................................................................................................................................................................................TGGCTTTCCTACGGATATCT..................................................................................................................................................................20200.051100000
................................................................................................................................................................................................................................................................................................................................AATGCTGCTTTCGGAAAC......................................................................18200.051100000
...............................................................................................................................................................................................................................................................................................................................TAATGCTGCTTTCGGAAACAC....................................................................21200.051000010
......................................................................................................................................................................................................................................................................................................................................GCTTTCGGAAACACACCTCACAAACAAA......................................................28200.051100000
droBip1
CCGCCGG-AGCA---GCCAAAAAG-TAACTTTGAAGCTA-----------------TGA-T----------ATGCAGTCTACAAACAAAGCCTTACGGAGTTTATGTCGTTTATGCGTACAA--------------------------------------------------------------------------------------------------------------CCCTACGAATATCTACGTGGAACGCTAACGGCGTTTGGCAGCATAAACTCGAGTTAGCGCAATTCCTACTAGACAATCAAATCGACGTAATGCTGCTTGCATAAACACAT------------------------------------------------------------------SizeHit CountTotal NormTotal
No Reads
droKik1
CAT------------------------------------------------------------------------------------------------------GTCATTTATGAAAACGACCATGCAAACGCTTGTCCAGAAT-------CA----GAATATGGTGATACAGTTGCTTGT-------AGCACAA---------CAGTCAAAATAATCA-----ATGTCCAATCTACGTATATCCACGTGGAATGCCAACGGCGTCTCACGGAATAAACTTGAACTAACACAATTTCTAA-CGAAAATCACATCGACGCCATGCTACTGGTTGAAACGCA-------------------------------------------------------------------SizeHit CountTotal NormTotal
No Reads
droFic1
CAGTCTA--------------------------------------------------------------------------C-AACAAAGCCTTACGGAGTTTATGTTGTTTATGCGTACAACTATGCAAGATCTAATGCGAAAC-------CA----AAATCT----------------------------------------------AAAATA---------ATGACTTCCCTACGAATATTTACGTGGAACGCTAACGGCGTTTCGCAGCATAAACTCGAGTTAGCGCTATTCCTACTAGACAATGAAATCGACGTAATGCTGCTTTTAGAAACACAT------------------------------------------------------------------SizeHit CountTotal NormTotal
No Reads
droEle1
TTTGCA------------------------------------------------------------------------------ACAAAATATGATGGAATTTATGTCCTTCATGAAAATCACCATGCAAAATCTAATGCAAAAC-------CA----AAATGTCTTGTTACAAATGCTTGC-------AGCTCAG---------CAATCCAAATA---------AT----AGCCTCCGAATAACTCTGTGGAACGCCAACGGTGTTTCACGGCATGTACCTGAAATAACTCAATTTCTGAACGAAAATCACATTGACGTTATGTTGCTGGCAGAAACGCAT------------------------------------------------------------------SizeHit CountTotal NormTotal
No Reads
droRho1
CAACA----------------------------------------------------------------------------------AAGCCTTACGGAGTTTATGTCGTTTATGCCCACAACTGTGCAAGAAATGTCA-------------CA----AAATCTATTGATTCACATGCTGGC-------TTCACAA---------AAATCCAAATA---------ATGACTTCCCTAAGGATATCTACGTGGAACGCTAACGCCGTTTCACAGCATAAACCTGAGTTAGCTCAATTCCTACTCGACAACCATATCGACGTAATGCTGCTTTCAGAAACACACCTTACAAACAAATACAAT------TTTCAACTACGAGACTAT---------------------TCASizeHit CountTotal NormTotal
No Reads
droBia1
CACCT-----------------------------------------------------------------------------------------------------------------------------------------------------------------------------------------------------------------------------------------------------GGAACACGCGAGGTGCTGCCGGCAAAATGACGGAAATCGGCCACCTTGCGGAGAGAGAGAATATTGACATTCTCCTTCTCACTGAAACGAAGA---------CATCCAAC------CTTCAACTATTTGGATATGAAGTCTACACTT--------CAASizeHit CountTotal NormTotal
No Reads
droTak1
CGAACAG-C--------------------ATTGAAACCA-----------------TGA-T-------------------------GATGACTTGATGAATTTATGTCCTTTATGAAAACAACAATGGATAACCTAATGCAAAAT-------CA----AAACATTTTAATGGAATTGCTCAC-------ATTCCAA---------CAATCTAAATAATCG-----ATGTCTTGTCTTCGAATATCCATGTGGAATGCCAATGGCTTTTCACGGCACAAATTTGAAATAACTCAATTTCTCAATGAAAACCAAATAGATGTAATGCTGCTGGCAGAAACGCAT------------------------------------------------------------------SizeHit CountTotal NormTotal
No Reads
droEug1
CCGCCAG-AGCA---GCCAAAAAG-TAACTTTGAAGCTA-----------------TGA-T----------ATGCAGTCTAC-AACAAAGCCTTACGGAGTTTATGTCGTTTATGCGTACAACAATGCAAGATCTGATACGAAAC-------CA----AAATCTATTAATACAAATGCTGGT-------TTCACAA---------CAATCCAAATA---------ATGACTTCCCTACGAATATCTACGTGGAACGCTAACGGCGTTTCGCAGCATAAACTCGAGTTAGCGCAATTCCTACTAGACAATCAAATCGACGTAATGCTGCTTTCAGAAACACATCTTACAAACAGATACAAT------TTTCAATTACGAGGATATTAATTCTATGGAA--------CAASizeHit CountTotal NormTotal
No Reads
dm3
AATGC-----------------------------------------------------------------------------------------------------------------------------------------------------------------------------TCGT-------TTCTTCC---------AAAATAGGATA---------ATGA-TAGCTTAACAATAGCTACCTGGAACGCTAATGACGTTTCGCGGAACAAGCTAGAACTTGCTCAGTTCTTAGCCGACAGAAACATTGACGTTATGCTACTCTCAGAGACTCACCTTAC----CGAAACAAC------TTCCAAATACTAGGATATAAATTTTAT---------------SizeHit CountTotal NormTotalGSM154618
Ovary
GSM154620
Ovary
GSM154621
Ovary
GSM154622
Ovary
GSM180328
Head
GSM180329
Mixed-body
GSM180330
Embryo
GSM180331
Embryo
GSM180332
Embryo
GSM180333
Embryo
GSM180334
Larvae
GSM180335
Disc
GSM180336
Pupae
GSM180337
S2
GSM231091
Ovary
GSM239041
Head
GSM239050
Head
GSM239051
S2
GSM239052
S2
GSM246084
Head
GSM266765
S2
GSM280082
Ovary
GSM280083
Ovary
GSM280084
Ovary
GSM280085
Testis
GSM280086
Ovary
GSM280087
S2-NP
GSM280088
S2-NP
GSM312995
Head
GSM313160
Head
GSM313161
Head
GSM313162
Head
GSM313163
Head
GSM313164
Head
GSM313165
Head
GSM343287
Embryo
GSM379050
Ovary
GSM379051
Ovary
GSM379052
Ovary
GSM379053
Ovary
GSM379054
Ovary
GSM379055
Ovary
GSM379056
Ovary
GSM379057
Ovary
GSM379058
Ovary
GSM379059
Ovary
GSM379060
Ovary
GSM379061
Ovary
GSM379062
Ovary
GSM379063
Ovary
GSM379064
Ovary
GSM379065
Ovary
GSM379066
Ovary
GSM379067
Ovary
GSM424739
S2
GSM424740
S2
GSM424741
S2
GSM467729
Female-body
GSM467730
Female-body
GSM467731
Female-body
M002
CS
M003
Male-body
M004
Male-body
M005
ML-DmD32
M006
ML-DmD32
M029
OSC
M030
OSC
M031
OSC
M032
S2-R+
M033
S2-R+
M034
S2-R+
M035
S2-R+
M036
S2-R+
M037
S2-R+
M038
S2-R+
M039
S2-R+
M048
S2-R+
OSS2
OSS
OSS6
OSS
OSS7
OSS
OSS8
OSS
S1
Head
S10
Embryo
S11
Embryo
S12
Embryo
S13
Embryo
S14
Embryo
S15
S2-GMR
S16
Kc
S17
Larvae
S18
Larvae
S19
Pupae
S2
Head
S20
Pupae
S21
Disc
S22
Head
S23
Female-body
S24
Male-body
S25
Larvae
S26
Larvae
S27
Pupae
S28
Pupae
S29
Head
S3
Male-body
S30
S2-GMR
S31
S2
S32
S2
S33
Kc
S34
Kc
S35
Kc
S4
Female-body
S5
Disc
S6
Embryo
S7
Embryo
S8
S2
S9
Embryo
SRR001337
Head
SRR001338
Head
SRR001339
Head
SRR001340
Head
SRR001341
Head
SRR001342
Head
SRR001343
Head
SRR001344
Head
SRR001345
Head
SRR001346
Head
SRR001347
Head
SRR001348
Head
SRR001349
Head
SRR001664
Head
SRR010951
Ovary
SRR010952
Ovary
SRR010953
Ovary
SRR010954
Ovary
SRR010955
Ovary
SRR010956
Ovary
SRR010957
Ovary
SRR010958
Ovary
SRR010959
Ovary
SRR010960
Ovary
SRR014268
Embryo
SRR014269
Embryo
SRR014270
Embryo
SRR014271
Embryo
SRR014272
Embryo
SRR014273
Ovary
SRR014274
Ovary
SRR014275
Ovary
SRR014276
Ovary
SRR014277
Ovary
SRR014278
Ovary
SRR014279
Ovary
SRR014280
Ovary
SRR014281
Ovary
SRR014282
Ovary
SRR023197
S2
SRR023399
S2
SRR023400
S2
SRR023402
S2
SRR023407
S2
SRR029028
S2
SRR029029
S2
SRR029030
S2
SRR029031
S2
SRR029032
S2
SRR029033
S2
SRR029608
Head
SRR029633
Head
SRR030145
gb3
SRR031692
Head
SRR031693
Head
SRR031694
Head
SRR031696
Head
SRR031697
Head
SRR031698
Head
SRR031699
Head
SRR031700
Head
SRR031701
Head
SRR031702
Head
SRR031703
Head
SRR031704
Head
SRR032092
S2
SRR032093
S2
SRR032094
S2
SRR032095
S2-NP
SRR032096
S2-NP
SRR032152
Head
SRR060643
Testis
SRR060644
Ovary
SRR060645
Testis
SRR060646
Ovary
SRR060647
Ovary
SRR060648
Ovary
SRR060649
Ovary
SRR060650
Testis
SRR060651
Ovary
SRR060652
Testis
SRR060653
Ovary
SRR065151
Ovary
SRR065152
Ovary
SRR065153
Ovary
SRR065154
Ovary
SRR065155
Ovary
SRR065800
Ovary
SRR065801
Ovary
SRR065802
Ovary
SRR065803
Ovary
SRR065804
Ovary
SRR065805
Ovary
SRR065806
Ovary
SRR065807
Ovary
SRR097865
S2-NP
SRR097866
S2-NP
SRR097867
S2-NP
SRR298536
Ovary
SRR298537
Ovary
SRR298711
Ovary
SRR298712
Ovary
SRR317110
Ovary
SRR317111
Ovary
SRR317112
Ovary
SRR317113
Ovary
SRR317114
Ovary
SRR317115
Ovary
SRR317116
Ovary
SRR317117
Ovary
SRR341115
S2
SRR341116
S2
SRR341117
S2
SRR341118
S2
SRR351332
Mixed-body
SRR351333
Mixed-body
T004
OSC
T005
CME-L1
V001
Embryo
V002
Embryo
V003
S2
V006
Female-body
V007
Head
V008
S2
V009
CME-L1
V010
ML-DmD20-C5
V011
Sg4
V012
Male-body
V013
Head
V014
DTT
V015
DreRFHV
V018
Kc167
V019
GM2
V020
S2-R+
V021
ML-DmD21
V022
ML-DmD32
V023
Head
V024
Kc167
V025
S2-R+
V026
1182-2H
V027
ML-DmD21
V028
CME-W1-Cl.8+
V029
ML-DmD9
V030
ML-DmD8
V031
GM2
V032
S1
V033
CME-W1-Cl.8+
V034
ML-DmD16-C3
V035
ML-DmD32
V036
ML-DmD20-C5
V037
S2
V038
S2
V063
Ovary
V0632
Ovary
V064
Ovary
V0642
Ovary
V065
Ovary
V0652
Ovary
V066
Ovary
V0662
Ovary
V067
S2-NP
V073
mbn2
V074
S3
V075
ML-DmBG1-C1
V076
ML-DmBG3-C2
V077
Head
V078
Head
V079
Head
V080
Head
V081
Embryo
V082
Embryo
V083
Male-body
V084
Female-body
V085
CME-W2
V086
Female-body
V088
Ovary
V0882
Ovary
V089
Ovary
V0892
Ovary
V090
Male-body
V091
fGS/OSS
V092
Male-body
V093
Male-body
V094
S2-R+
V095
S2-R+
V096
Ovary
V097
Ovary
V098
Ovary
V125
ML-DmD9
V126
CME-L1
V127
G2
V128
S3
V129
ML-DmBG1-C1
V130
ML-DmBG3-C2
V131
ML-DmD16-C3
V132
ML-DmD32
V133
Sg4
V134
ML-DmD8
V135
CME-W2
V136
Male-body
V137
Head
V138
Male-body
V139
Female-body
V140
Female-body
V141
Female-body
V142
Female-body
V144
OSC
V145
S2
V146
S1
V147
1182-2H
V148
mbn2
GSM1528798
follicle cells
........................................................................................................................................................................................................................................................................................................................ATTGACGTTATGCTACTCTCAGAG........................................................................2420107.302146000000000000000000000063000000000000000090501124001111111100010000000000000000000000000000100000000000000000000000000000000000000000000011081190001002043013018100346000000000000000000000100010000000170450000432000207904000000000039418141582138112670145600000000100100000000100000000000000000000000000100000000000000104176815420000001338753000000000000001877046000000
........................................................................................................................................................................................................................................................................................................................ATTGACGTTATGCTACTCTCAGAGAC......................................................................2620103.4520690010010000000000000000040000000000000030300000200032400004020000000000000000000000301000000000003000000000000000000000000000000000113903801901600111000121601300152040000000000000000000000000000000007070400330002182500000300008000552503843500445000000000010100000000000000000000000000000000000000000000000500000167460000000920180000000000000083218160000012
....................................................................................................................................................................................................................................................................TGACGTTTCGCGGAACAAGCTAGAACT.........................................................................................................................27963.4457100000000000000000000011000000000000020001000000001110000010000000000000000000000000000000000000000000000000000000003000000000000000000020001100006201100020000000000000000000000000000000000004001000221560450130021110002001011522359298501000000000000000000000000000000000000000000000000000000000003000001101010000302000000000000009643000000
........................................................................................................................................................................................................................................................................................................................ATTGACGTTATGCTACTCTCAGAGA.......................................................................252055.1011020000000000000000000000000000000000000020112040103340000003010000000000000000000000000000000000001000000000000000000000000000000000025092004414034000110600035800000000000000000000000000000000150000003500220020600000000000033090232150021220000000000000000000000000000000000000000000000000000000000000000093840000000391711000000000000004471000000
........................................................................................................................................................................................................................................................................................................................ATTGACGTTATGCTACTCTCAGAGACT.....................................................................272049.3098600000000000000000000000100000000000000300000102006101100062000000000000000000000000000000000000000000000000000000000000000000000000000001010024031433005006000000000000000000000000000000000601007004500201040000000000027010255002017313019030000000000010000000000000000000000000000000000000000000000010000010028000000069000000000000003933000000
..........................................................................................................................................................................................................................................................................TTCGCGGAACAAGCTAGAACTTGCT.....................................................................................................................25948.5643700000000000000000000001100000000000020202130201013120000010000000000000000000000000000000000000000000000000000000000000000000000000052531001521303334130401000000000000000000000000020000001105045010552334543671105010000022001301913200000000000001000000000000000000000000000000000000000000000001000002501000000140000000000000002987000000
.............................................................................................................................................................................................................................................................................GCGGAACAAGCTAGAACTTGCTCAGT.................................................................................................................26933.443010000000000000000000000000000000000000000000000000000000000000000000000000000000000000000000000000000000000000000000000000000000000001301000000000000000000000000000000000000000000000000000000000000007835442811100000000000000000000000000000000000000000000000000000000000000000000000000000000000000000000000000000000000000000000000000000
.....................................................................................................................................................................................................................................................................GACGTTTCGCGGAACAAGCTAGAACT.........................................................................................................................26931.562840000000000000000000000000000000000000000000000001000000000000000000000000000000000000000000000000000000000000000000000000000000000100201010000000110120100000000000000000000000000000000000010100000004013131542010011300001001026010223211310000000000000000000000000000000000000000000000000000000000010000000020000004500000000000000041242000000
.................................................................................................................................................................................................................................................................TAATGACGTTTCGCGGAACAAGCTAGA............................................................................................................................27930.7827700000000000000000000000000000000000000211010002031000000000000000000000000000000000000000000000000000000000000000000000000000001000100010004021004122001000000000000000000000000000000000000003034000630001040005101000020204211824424220000000001000000000000000000000000000000000000000000000000002000000402000000821000000000000004844000000
...........................................................................................................................................................................................................................................................................TCGCGGAACAAGCTAGAACTTGCT.....................................................................................................................24930.002700000000000000000000000010000000000000011010000100011000000010000000000000000000000000000000000000000000000000000000000000000000000001202020020000000001110000000000000000000000000000000000000000000005129243085000000000002000001501010000000000000000000000000000000000000000000000000000000000000000000001000000301000000000000000241000000
.................................................................................................................................................................................................................................................................TAATGACGTTTCGCGGAACAAGCTAG.............................................................................................................................26929.33264000000000000000000000000000000000000000011200000023000000000000000000000000000000010001000000000000000000000000000000000000000000000000000030030031213000100000000000000000000000000000000002010000001412010002034000000304003115231300000000000000000000000000000000000000000000000000000000000000000000111000000821000000000000000922000000
.................................................................................................................................................................................................................................................TAGCTACCTGGAACGCTAATGACGT..............................................................................................................................................25927.44247000000000000000000000001000000000010003000201000010010000000000000000000000000000000000000000000000000000000000000000000000000000000000000000000010001030050000000000000000000000000000000000020050000816220000102141000200121023831131110000000000000000000000000000000000000000000000000000000000020000004120000004220000000000000091468000000
........................................................................................................................................................................................................................................................................................................................ATTGACGTTATGCTACTCTCAGAGACTC....................................................................282025.10502000000000000000000000000000000000000002000000100000000000210000000000000000000000000000000000000000000000000000000000000000000000010004010110010003000020000000000000000000000000000000000000050000310000000010000000008021000101439516400000000000000000000000000000000000000000000000010000000000000000000040000001100000000000000002202000000
..................................................................................................................................................................................................................................................................................................................................................TCACCTTAC----CGAAACAAC------TTCCAAA...................................25922.89206000000000000000000000000000000000000000000000000000000000302000000000000000000000040014000000000400000000000000000000000000000000000000000000000000010000000000000000000000000000000000000000000000000000600000000000010002804443721451000000000000000000000000000000000000000000000000000000000000000000000000000000000000000000000000000000
........................................................................................................................................................................................................................................................................................................................ATTGACGTTATGCTACTCTCAGA.........................................................................232020.404080000000000000000000000010000000000000000110020000260100000000000000000000000000000000010000000001000000000000000000000000000000000000110200000001140031200800000000000000000000000000000000041100000000000002000000000011158017233056020000000000000000000000000000000000000000000010030000000000010000001900000000008000000000000000112000000
.........................................................................................................................................................................................................................................................................TTTCGCGGAACAAGCTAGAACTTGCT.....................................................................................................................26919.67177000000000000000000000000000000000000002100101020112000000000000000000000000000000000000000000000000000000000000000000000000000000010140000000000001021000700000000000000000000000000000000000040100004154513280001003000060121012104540000000000000000000000000000000000000000000000000000000000000000002001000000120000000000000001154000000
.........................................................................................................................................................................................................................................................................TTTCGCGGAACAAGCTAGAACTTGC......................................................................................................................25918.441660000000000000000000000000000000000000010102000001100200000000000000000000000000000000000000000000000000000000000000000000000000000017047011120300112220000000000000000000000000000000000000000010000102014115000000010006100502027550000000000000000000000000000000000000000000000000000000000000000001316000000292000000000000000823000000
.............................................................................................................................................................................................................................................................................GCGGAACAAGCTAGAACT.........................................................................................................................18915.56140000000000000000000000000000000000000000000000000000000000000000000000000000000000000000000000000000000000000000000000000000000000000000000000000000000000000000000000000000000000000000000000000000000302314235000000000000000000000000000000000000000000000000000000000000000000000000000000000000000000000000000000000000000000000000000000
..........................................................................................................................................................................................................................................................................TTCGCGGAACAAGCTAGAACT.........................................................................................................................21915.44139000000000000000000000000000000000000000000000000000000000000000000000000000000000000000000000000000000000000000000000000000000000000002000000000000000000000000000000000000000000000000000000000000000272611124500000000000110101101001000000000000000000000000000000000000000000000000170000000000000000100000000000000000000000000000000000
..................................................................................................................................................................................................................................................................................................................................................TCACCTTAC----CGAAACAAC------TTCCAAATA.................................27914.11127000000000000000000000000000000000000000000000000000000000100000000000000000000000000000000000000000000000000000000000000000000000000000000000000000000000000000000000000000000000000000000000000000000000000000000000000002002732311420000000000000000000000000000000000000000000000000000000000000000000000000000000000000000000000000000000
......................................................................................................................................................................................................................................TAGCTTAACAATAGCTACCTGGAACGC.......................................................................................................................................................27913.89125000000000000000000000200000000000000303021001040200010000000000000000000000000000028251900000000000000000000000001000000000000000000000010000401000001001000000000000000000000000000000000000000000000000000010101630000010001000000000000000000000000000000000000000000000000000000000000000000000026100000001443000000000000001331000000
....................................................................................................................................................................................................................................................................TGACGTTTCGCGGAACAAGCTAGAAC..........................................................................................................................26910.899800000000000000000000000000000000000000000000000000100000000000000000000000000000000000000000000000000000000000000000000000000000000000050200000000100100000000000000000000000000000020000000000000000031201300000080000001017061191210000000000000000000000000000000000000000000000000000000000000000000010000000000000000000000001000000000
..........................................................................................................................................................................................................................................................................TTCGCGGAACAAGCTAGAACTTGC......................................................................................................................24910.78970000000000000000000000000000000000000030101000000000000001000000000000000000000000000000000000000000000000000000000000000000000000103213230220100121000000000000000000000000000000000000000000100100023602500000177000300000402000000000000000000000000000000000000000000000000000000000000000000000203000000562000000000000000311000000
..................................................................................................................................................................................................................AGGATA---------ATGA-TAGCTTAACAATAGC...................................................................................................................................................................2599.78880000000000000000000000000000000000000000000000000000000000000000000000000000000000000000000000000000000000000000000000000000000000100030002610000000000000000000000000000000000000000000000000000000000000000000000000000005025063111000000000000000000000000000000000000000000000000000000000000000000101000000112000000000000000000000000
.................................................................................................................................................................................................................................................TAGCTACCTGGAACGCTAATGACGTT.............................................................................................................................................2699.44850000000000000000000000000000000000000000000000100000000000000000000000000000000000000010000000000000000000002000000000000000000000000000000001000001000010000000000000000000000000000000000010101400002064100000060000000010024310040000000000000000000000000000000000000000000000000000000000000000000000000000000000000000000000010000000
....................................................................................................................................................................................................................................................................TGACGTTTCGCGGAACAAGCTAGA............................................................................................................................2498.337500000000000000000000000000000000000000000100001020201000000000000000000000000000000000000000000000000000000000000000000000000000000012000000000001110001000000000000000000000000000000000000002000000040012020000200000020508110441000000000000000000000000000000000000000000000000000000000002000011111000000120000000000000000102000000
............................................................................................................................................................................................................................................................................CGCGGAACAAGCTAGAACTTGCTCAGT.................................................................................................................2798.11730000000000000000000000000000000000000000000000000000000000000000000000000000000000000000000000000000000000000000000000000000000000101201000000000000000000000000000000000000000000000000000000000000001910252400000070000000000000000000000000000000000000000000000000000000000000000000000000000000000100000000000000000000000000000000000
.......................................................................................................................................................................................................................................................................CGTTTCGCGGAACAAGCTAGAACT.........................................................................................................................2497.787000000000000000000000000000000000000000000000001000000000000000000000000000000000000000000000000000000000000000000000000000000000000000000000000000000000000000000000000000000000000000000000000000000033009000001100008000906010730000000000000000000000000000000000000000000000000000000000000000001100000000100000000000000000213000000
...........................................................................................................................................................................................................................................................................TCGCGGAACAAGCTAGAACTTGC......................................................................................................................2397.4467000000000000000000000000000000000000000010000100000000000000000000000000000000000000000000000000000000000000000000000000000000000000000100000000000001010000000000000000000000000000000000001010000000576101003000000000000000201010000000000000000000000000000000000000000000000000000000000000000000101000000422000000000000000311000000
..................................................................................................................................................................................................................................................................................................................................................TCACCTTAC----CGAAACAAC------TTCCAAATAC................................2897.22650000000000000000000000000000000000000010000000000000000001300000000000000000000000400000000000000000000000000000000000000000000000000000000000000000000000000000000000000000000000000000000000000000000000000000000000000012010064240000000000000000000000000000000000000000000000000000000000000000000000000000000000000000000000000000000
....................................................................................................................................................................................................................................................CTACCTGGAACGCTAATGACG...............................................................................................................................................2196.7861000000000000000000000000000000000000001010000001000000000000000000000000000000000000000000000000000000000000000000000000000000000000000000000100000000000000000000000000000000000000000000000000000000000000000000000000000000000000000000000000000000000000000000000000000000623003110000000000000001224000000020000000000000000111000000
.................................................................................................................................................................................................................TAGGATA---------ATGA-TAGCTTAACAATAGC...................................................................................................................................................................2696.225600000000000000000000000000000000000000000000000000000000000000000000000000000000001000000000000000000000000000000000000000000000003201420005000000000000000000000000000000000000000000000000000000000000001000000000002000601316621000000000000000000000000000000000000000000000000000000000000000000000000000000000000000000000000000000
........................................................................................................................................................................................................................................................................GTTTCGCGGAACAAGCTAGAACTTGC......................................................................................................................2696.11550000000000000000000000000000000000000000000010100000000000000000000000000000000000000000000000000000000000000000000000000000000000001000000700000000000001100000000000000000000000000000000000002000000200001000000000000130907710000000000000000000000000000000000000000000000000000000000001000000010000000430000000000000000010000000
...........................................................................................................................................................................................................................................................................TCGCGGAACAAGCTAGAACT.........................................................................................................................2096.0054000000000000000000000000000000000000000000000000000000000000000000000000000000000000000000000000000000000000000000000000000000000000000000000000000000000000000000000000000000000000000000000000000000159342100000000000100000100000000000000000000000000000000000000000000000000000000000000000000000000000000000000000000000000000000000
..............................................................................................................................................................................................................................................CAATAGCTACCTGGAACGCTAATGACGT..............................................................................................................................................2895.8953000000000000000000000100000000000000000000000000000000000000000000000000000000000000000000000000000000000000000000000000000000000000001000010000020100000000000000000000000000000000000000000000000000200000000001600000001103015440000000000000000000000000000000000000000000000000000000000000000000000000000000000000000000000100000000
..............................................................................................................................................................................................TCTTCC---------AAAATAGGATA---------ATGA-TAGCT.............................................................................................................................................................................2685.634500000000000000000000000000000000000000100000000000000000000000000000000000000000000000000000000000000000000000000000000000000000000000000001000000010000001000000000000000000000000000000000001000010000001000000000000000501446320000000000000000000000000000000000000000000000000000000000000000001011000000100000000000000000000000000
.........................................................................................................................................................................................................................................................................TTTCGCGGAACAAGCTAGAACT.........................................................................................................................2295.114600000000000000000000000000000000000000000000000000000000000000000000000000000000003000000000000000000000000000000000000000000000000000000000000000000000000000000000000000000000000000000000000000000079411900000000000000011000001000000000000000000000000000000000000000000000000000000000000000000000000000000000000000000000000000000
...............................................................................................................................................................................................................AATAGGATA---------ATGA-TAGCTTAACAATA.....................................................................................................................................................................2694.89440000000000000000000000000000000000000000000000000000000000000000000000000000000000000000000000000000000000000000000000000000000000000000000000000000000000000000000000000000000000000000000000000000009354000000000000000050616131000000000000000000000000000000000000000000000000000000000000000000000000000000000000000000000000000000
.................................................................................................................................................................................................................................................................TAATGACGTTTCGCGGAACAAGC................................................................................................................................2394.78430000000000000000000000000000000000000000000000000000000000000000000000000000000000000000000000000000000000000000000000000000000000001000002100000000010000000000000000000000000000000000000000003000004384800000100000000010102010000000000000000000000000000000000000000000000000000000000000000000010000000000000000000000000001000000
....................................................................................................................................................................................................................................................................TGACGTTTCGCGGAACAAGC................................................................................................................................2094.564100000000000000000000000000000000000000000000000000000000000000000000000000000000000000000000000000000000000000000000000000000000000020000000000001000000000000000000000000000000000000000000000000000058261700000000000000000000000000000000000000000000000000000000000000000000000000000000000000000000000000000000000000000000000000000
............................................................................................................................................................................................................................................................AACGCTAATGACGTTTCGCGGAACAAGC................................................................................................................................2894.44400000000000000000000000000000000000000000100001000000010000000000000000000000000000000000000000000000000000000000000000000000000000000272020210000000000000000000000000000000000000000000000000000000000000000000050000000020305100000000000000000000000000000000000000000000000000000000000000000000001000000100000000000000000102000000
...........................................................................................................................................................................................................................................................................TCGCGGAACAAGCTAGAACTTGCTCAG..................................................................................................................2794.22380000000000000000000000000000000000000000000000101100000000000000000000000000000000100000000000000000000000000000000000000000000000002001000200000000000000000000000000000000000000000000000000001100003000100300220000100000100000000000000000000000000000000000000000000000000000000000000000000000112000000300000000000000000000100006
..............................................................................................................................................................................................TCTTCC---------AAAATAGGATA---------ATGA-TAGC..............................................................................................................................................................................2584.133300000000000000000000000000000000000000000000000000001000000000000000000000000000000000000000000000000000000000000000000000000000000000000005000000000000000000000000000000000000000000000000000000000000000000000000000000301323230000000000000000000000000000000000000000000000000000000000000000000000000000000000000000000000100000000
.............................................................................................................................................................................................................................................................................GCGGAACAAGCTAGAACTTGC......................................................................................................................2194.113700000000000000000000000000000000000000000000000000000000000000000000000000000000000000000000000000000000000000000000000000000000000000000000000000000000000000000000000000000000000000000000000000000061320300000000000001000000000000000000000000000000000000000000000000000000000010000000000000000000000000010000000000000000001000000
..................................................................................................................................................................................................................................................................AATGACGTTTCGCGGAACAAGCTAGA............................................................................................................................2693.89350000000000000000000000100000000000000000000000000000000000000000000000000000000000000000000000000000000000000000000000000000000000000002000000000000000000000000000000000000000000000000000000200000000000200010000000000030418120000000000000000000000000000000000000000000000000000000000000000000010000000212000000000000001001000000
..................................................................................................................................................................................................................................................................AATGACGTTTCGCGGAACAAGCTAG.............................................................................................................................2593.78340000000000000000000000000000000000000000000000000200000000000000000000000000000000000000000000000000000000000000000000000000000000000100000000000000200000000000000000000000000000003000000000000000002010000000000000000010303270000000000000000000000000000000000000000000000000000000000000000000001000000221000000000000000001000000
................................................................................................................................................................................................................................................ATAGCTACCTGGAACGCTAATGACGT..............................................................................................................................................2693.78340000000000000000000001000000000000000000000000000000000000000000000000000000000000000000000000000000000000000000000000000000000000000000000001000000010000000000000000000000000000000000000000000000004010600000030000100031102130000000000000000000000000000000000000000000000000000000000002000000100000000100000000000000000001000000
........................................................................................................................................................................................................................................................................................................................ATTGACGTTATGCTACTCTCAG..........................................................................22203.757500000000000000000000000000000000000000101010000000000000000000000000000000000000000000000000000010000000000000000000000000000000000010000000010030201001007000000000000000000000000000000000000000021000000000000000000000000019000000000000001000000000000000000000000000000020000010000000000000004000000000055000000000000000420000000
...............................................................................................................................................................................................................................................................GCTAATGACGTTTCGCGGAACAAGC................................................................................................................................2593.67330000000000000000000000000000000000000000000000000000000000000000000000000000000000000000000000000000000000000000000000000000000000100001010100000010000000000000000000000000000000000000000000000000000010001000000000101020217510000000000000000000000000000000000000000000000000000000000000000001200000000200000000000000000010000000
.....................................................................................................................................................................................................................................................................................................................................TACTCTCAGAGACTCACCTTAC----CGAAAC...................................................2893.67330000000000000000000000000000000000000000000000000000000000000000000000000000000000000000000000000000000000000000000000000000000000000000000000000000000000000000000000000000000000000000000000000000000000001000000000000058181117000000000000000000000000000000000000000000000000000000000000000000000000000000000000000000000000000000
..............................................................................................................................................................................................................................................................CGCTAATGACGTTTCGCGGAACAAGC................................................................................................................................2693.67330000000000000000000000000000000000000000000000000000000000000000000000000000000000000000000000000000000000000000000000000000000000010110110100000010100100000000000000000000000000000000000000002000000000000000000000000030304110000000000000000000000000000000000000000000000000000000000001000000200000000610000000000000000000000000
.....................................................................................................................................................................................T-------TTCTTCC---------AAAATAGGATA---------ATGA-TAGC..............................................................................................................................................................................2783.25260000000000000000000000000000000000000000000000000000000000000000000000000000000000010000000000000000000000000000000000000000000000200000000400000000000000100000000000000000000000000000000000000000000000001000000000000040413140000000000000000000000000000000000000000000000000000000000000000000000000000000000000000000000000000000
..................................................................................................................................................................................................................................................................................................................................................TCACCTTAC----CGAAACAAC------TTCCAA....................................2493.222900000000000000000000000000000000000000000000000000000000000000000000000000000000000000000000000000000000000000000000000000000000000000000000000000000000000000000000000000000000000000000000000000000000000000000000000000408010160000000000000000000000000000000000000000000000000000000000000000000000000000000000000000000000000000000
..................................................................................................................................................................................................................................................................................................................................................TCACCTTAC----CGAAACAAC------TTCCA.....................................2393.22290000000000000000000000000000000000000000000000000000000000100000000000000000000000000000000000000000000000000000000000000000000000000000000000000000000000000000000000000000000000000000000000000000000000000000000000000090606610000000000000000000000000000000000000000000000000000000000000000000000000000000000000000000000000000000
..................................................................................................................................................................................................................................................................................................................................................TCACCTTAC----CGAAACAAC------TTCCAAAT..................................2693.11280000000000000000000000000000000000000000000000000000000000000000000000000000000000000020000000000000000000000000000000000000000000000000000000000000000000000000000000000000000000000000000000000000000000000000000000000040703480000000000000000000000000000000000000000000000000000000000000000000000000000000000000000000000000000000
.....................................................................................................................................................................................................................................................................................................................................TACTCTCAGAGACTCACCTTAC----CGA......................................................25203.056100000000000000000000001000000000000000000000101000000000000000000000000000000000000000000000000000000000000000000000000000000000000000022000000000000000030000000000000000000000000000000000000000000000000010000000001300140965073000000001000000000000000000000000000000000000000000000000000000000000000000100000000000000000000000000
.......................................................................................................................................................................................................................................................................................................................................................TTAC----CGAAACAAC------TTCCAAATACTAGGA...........................2892.892600000000000000000000000000000000000000000000000000000000000000000000000000000000000000000000000000000000000000000000000000000000000000000000000000000000000000000000000000000000000000000000000000000000000000000000000000130306220000000000000000000000000000000000000000000000000000000000000000000000000000000000000000000000000000000
....................................................................................................................................................................................................................................................................TGACGTTTCGCGGAACAAGCTAGAA...........................................................................................................................2592.78250000000000000000000000000000000000000000000000000000000000000000000000000000000000000000000000000000000000000000000000000000000000000000000000000100000001000000000000000000000000000000000000000000003010000000020000000020211520000000000100000000000000000000000000000000000000000000000000000000000000000000000000000000001020000000
.....................................................................................................................................................................................................................................................................................................................................TACTCTCAGAGACTCACCTTAC----CGAA.....................................................26202.70540000000010000000000000000000000000000000000000000010100000000000000000000000000000000010000000000000000000010000000000000000000000000000000000000000000000000000000000000000000000000000000000000000000000020000000000000091968156000000000000000000000000000000000000000000000000000000000000000000010000000000000000000000000001000000
.....................................................................................................................................................................................................................................................TACCTGGAACGCTAATGACGT..............................................................................................................................................2192.67240000000000000000000000000000000000000000000000000000000000000000000000000000000000000000000000000000000000000000000000000000000000000000000000000000000000000000000000000000000000000000000000000000000200101000050000000000011100000000000000000000000000000000000000000000002200030000000000000000110000000010000000000000000110000000
.............................................................................................................................................................................................TTCTTCC---------AAAATAGGATA---------ATGA-TAGCT.............................................................................................................................................................................2782.632100000000000000000000000000000000000000000000001000000000000000000000000000000000000000000000000000000000000000000000000000000000000000000000000000010000000000000000000000000000000000000000021000000000000000000000000000101002110000000000000000000000000000000000000000000000000000000000000000000000000000000000000000000000100000000
.............................................................................................................................................................................................TTCTTCC---------AAAATAGGATA---------ATGA-TAGC..............................................................................................................................................................................2682.632100000000000000000000000000000000000000000000000000000000000000000000000000000000002000000000000000000000000000000000000000000000000010000003000000000000000000000000000000000000000000000000000000000010000000000000000000201000110000000000000000000000000000000000000000000000000000000000000000000000000000000000000000000000000000000
...................................................................................................................................................................................................................................................GCTACCTGGAACGCTAATGACGT..............................................................................................................................................2392.56230000000000000000000000100000000000000000000000000000000000000000000000000000000000000000000000000000000000000000000000000000000000000000000000000000000000000000000000000000000000000000000000000002000000000000000000000000100100000000000000000000000000000000000000000000000000000000000001000000000000000320000000000000002433000000
.............................................................................................................................................................................................................................................................................GCGGAACAAGCTAGAACTTGCT.....................................................................................................................2292.562300000000000000000000000000000000000000000000000001000000000000000000000000000000000000000000000000000000000000000000000000000000000000000000000000010000000000000000000000000000000000000000000000000025301000000000000000000000000000000000000000000000000000000000000000000000000000000000000000000001000000000000000000000000000000000
........................................................................................................................................................................................................................................................................GTTTCGCGGAACAAGCTAGAACT.........................................................................................................................2392.56230000000000000000000000000000000000000000000000000000000000000000000000000000000000000000000000000000000000000000000000000000000000001000000000000000010000000000000000000000000000000000000000000000006230000000000000000000002100000000000000000000000000000000000000000000000000000000000000000000000000000040000000000000002001000000
........................................................................................................................................................................................................................................................................................................................ATTGACGTTATGCTACTCTCAGAGACA.....................................................................27202.555100000000000000000000000000000000000000000000100000000000000000000000000000000000000000000000000000000000000000000000000000000000000000001000000000000000000000000000000000000000000000000000000000010000000000000000000000915318081000000000000000000000000000000000000000000000000000000000000000000000000000300000000000000000000000000
........................................................................................................................................................................................................................................................................................................................................................TAC----CGAAACAAC------TTCCAAATACTAGGA...........................2792.442200000000000000000000000000000000000000000000000000001000000000000000000000000000000000000000000000000000000000000000000000000000000000000000000000000000000000000000000000000000000000000000000000000000000000000000000000130400120000000000000000000001000000000000000000000000000000000000000000000000000000000000000000000000000000000
....................................................................................................................................................................................................................................................................TGACGTTTCGCGGAACAAGCTAG.............................................................................................................................2392.44220000000000000000000000000000000000000000000000000000000000000000000000000000000000000000000000000000000000000000000000000000000000000000000000000000000100000000000000000000000000000000000000000000000100200000000000000000202420000000000000000000000000000000000000000000000000000000000000000000000000000221000000000000000102000000
............................................................................................................................................................................................................................................................................CGCGGAACAAGCTAGAACT.........................................................................................................................1992.44220000000000000000000000000000000000000000000000000000000000000000000000000000000000000000000000000000000000000000000000000000000000000000000000000000000000000000000000000000000000000000000000000000002344900000000000000000000000000000000000000000000000000000000000000000000000000000000000000000000000000000000000000000000000000000
.......................................................................................................................................................................................................................................................................................................TCTTAGCCGACAGAAACATTGACGT........................................................................................25202.40480000000000000000000000010000000000001010101111000000200000100000000000000000000000000000000000000000000000002000000000000000000000000000000000004000000001100000000000000000000000000000000101003000200000001000250000100010000000000000000000000000000000000000000000000000000000000000000000000000201000000010000000000000002420000000
....................................................................................................................................................................................................................................................................................................................................................ACCTTAC----CGAAACAAC------TTCCAAATAC................................2692.33210000000000000000000000000000000000000000000000000000000000000000000000000000000000000100000000000000000000000000100000000000000000000000000000000000000000000000000000000000000000000000000000000000000000000000000000000080702020000000000000000000000000000000000000000000000000000000000000000000000000000000000000000000000000000000
...............................................................................................................................................................................................................................................AATAGCTACCTGGAACGCTAATGACGT..............................................................................................................................................2792.33210000000000000000000000000000000000000000000000200000000000000000000000000000000000000000000000000000000000000000000000000000000000000000000000000000000000000000000000000000000000000000000000000000003000000000000000000040005310000000000000000000000000000000000000000000000000000000000000000000100000000100000000000000000001000000
.................................................................................................................................................................................................................................................TAGCTACCTGGAACGCTAATGACG...............................................................................................................................................2492.22200000000000000000000000000000000000000000000000000000000000000000000000000000000000000000000000000000000000000000000000000000000000001100100000000000000000000000000000000000000000000000000000000000000010101000000000000010414220000000000000000000000000000000000000000000000000000000000000000000000000000000000000000000000000000000
.................................................................................................................................................................................................................TAGGATA---------ATGA-TAGCTTAACAATAGCTA.................................................................................................................................................................2892.22200000000000000000000000000000000000000000000000000000000000000000000000000000000000000000000000000000000000000000000000000000000000000000000000000000000000000000000000000000000000000000000000000000005400700000000000000000013000000000000000000000000000000000000000000000000000000000000000000000000000000000000000000000000000000000
.............................................................................................................................................................................................................AAAATAGGATA---------ATGA-TAGCTT............................................................................................................................................................................2182.13170000000000000000000000000000000000000000000000000000000000000000000000000000000000000000000000000000000000000000000000000000000000000000000000100000000000000000000000000000000000000000000000000000000000000000000000000000220002000000000000000000000000000000000000000000000500120000000000000001001000000000000000000000000000000000
................................................................................................................................................................................................................................................................CTAATGACGTTTCGCGGAACA...................................................................................................................................2192.111900000000000000000000000000000000000000000000000000000000000000000000000000000000000000000000000000000000000000000000000000000000000000000000000000000000000000000000000000000000000000000000000000000000000000000000000000010500110000000000000000000000000000000000000000000000000000000000000000000000000000000000000000000000200000000
.....................................................................................................................................................................................................................................................................GACGTTTCGCGGAACAAGCTAGAAC..........................................................................................................................2592.11190000000000000000000000000000000000000000000000000000000000000000000000000000000000000000000000000000000000000000000000000000000000000000000000000000000000000000000000000000000000000000000000000000002320300000000000200010101310000000000000000000000000000000000000000000000000000000000000000000000000000000000000000000000000000000
..TGC-----------------------------------------------------------------------------------------------------------------------------------------------------------------------------TCGT-------TTCTTCC---------AAAATAGGATA---------A......................................................................................................................................................................................26152.07310000000000000000000000000000000000000000100000100000200001010000000000000000000000000010000000000100000000000000100000000000000000000000000000002011200020100000000000000000000000000000000000100101000000001000040000000000201000000000000000000000000000000000000000000000000000000000000000000000200000000000000000000000000000000000
.........................................................................................................................................................................................................................................................................................................................TTGACGTTATGCTACTCTCAGAGAC......................................................................25202.054100000000000000000000000000000000000000000000000000000000000000000000000000000000000000000000000000000000000000000000000000000000000000002000000000000000001000000000000000000000000000000000000000000040000010000016000000040015020000000000000000000000000000000000000000000000000020000000000000000000000000100000000000000001010000000
...........................................................................................................................................................................................................................................................................TCGCGGAACAAGCTAGAACTTGCTCAGT.................................................................................................................2892.00180000000000000000000000000000000000000000000010000000000000000000000000000000000000000000000000000000000000000000000000000000000000000203100000000000000000000000000000000000000000000000000000000000009010100000000000000000000000000000000000000000000000000000000000000000000000000000000000000000000000000000000000000000000000000000
................................................................................................................................................................................................................................................................CTAATGACGTTTCGCGGAACAAGC................................................................................................................................2492.00180000000000000000000000000000000000000000000000000000000000000000000000000000000000000000000000000000000000000000000000000000000000000100010000000000000000000000000000000000000000000000000000000000000000000000000000000010705000000000000000000000000000000000000000000000000000000000000000000000000000000020000000000000000100000000
...................................................................................................................................................................................................................................................................................................................................................CACCTTAC----CGAAACAAC------TTCCAAATAC................................2792.00180000000000000000000000000000000000000000000000000000000000000000000000000000000000000000000000000000000000000000000000000000000000000000000000000000000000000000000000000000000000000000000000000000000000000000000000000030812040000000000000000000000000000000000000000000000000000000000000000000000000000000000000000000000000000000
........................................................................................................................................................................................................................................................................................................................ATTGACGTTATGCTACTCTCAGAGAT......................................................................26202.0040000000000000000000000000000000000000000000000000000000000000000000000000000000000000000000000000000000000000000000000000000000000000000000000100000000000000000000000000000000000000000000000000000300000000000000000000001002011370000000000000000000000000000000000000000000000000000000000001000000000000000020000000000000000000000000
...........................................................................................................................................................................................................................................TAACAATAGCTACCTGGAACGCTAA....................................................................................................................................................25191.89360000000000000000000000000000000000000000100000100010000000000000000000000000000000000000000000000000000000000000000000000000000000000000000000000100000000000000000000000000000000000000000020100000000010100000000000200090503320000000000000000000000000000000000000000000000000000000000000000000000000000200000000000000000010000000
....................................................................................................................................................................................................................................................CTACCTGGAACGCTAATGACGT..............................................................................................................................................2291.89170000000000000000000000000000000000000000000000000000000000000000000000000000000000000000000000000000000000000000000000000000000000000000000000000000000000000000000000000000000000000000000000000003000010101000000000000000001200000000000000000000000000000000000000000000000000000000000000000000000000000300000000000000002102000000
..................................................................................................................................................................................................................................................................................................................................................TCACCTTAC----CGAAACAAC------TTCC......................................2291.89170000000000000000000000000000000000000000000000000000000000000000000000000000000000000000000000010000000000000000000000000000000000000000000000000000000000000000000000000000000000000000000000000000000000000000000000000030504220000000000000000000000000000000000000000000000000000000000000000000000000000000000000000000000000000000
.....................................................................................................................................................................................T-------TTCTTCC---------AAAATAGGATA---------ATGA-TAGCT.............................................................................................................................................................................2881.88150000000000000000000000000000000000000000000000000000000000000000000000000000000000000000000000000000000000000000000000000000000000000000000000000001000000000000000000000000000000000000000000100000000000000000000000100030331010000000000000000000000000000000000000000000000000000000000000000001000000000000000000000000000000000000
................................................................................................................................................................................................TTCC---------AAAATAGGATA---------ATGA-TAGCT.............................................................................................................................................................................2481.88150000000000000000000000000000000000000000000010000000000000000000000000000000000000000000000000001000000000000000000000000000000000001000000000000001000000000000000000000000000000000000000000000000000000000000000000000010720010000000000000000000000000000000000000000000000000000000000000000000000000000000000000000000000000000000
.......................................................................................................................................................................................................................................................................................................................CATTGACGTTATGCTACTCTCAGAGAC......................................................................27201.853700000000000000000000000000000000000000000000000002000000000000000000000000000000000000000000000000000000000000000000000000000000000000001000000000000000000000000000000000000000000000000000000000000000000000000000003000601130560000000000000000000000000000000000000000000000000000000000000000000000000000000000000000000000000000000
.....................................................................................................................................................................................................................................................................................................................................TACTCTCAGAGACTCACCTTAC----C........................................................23201.75350000000000000000000000000000000000000100110000200200010000000000000000000000000000000000000000000000000000000000000000000000000000000000300000000000000000000000000000000000000000000000000001000001000000000000000000000005180000000000000000000000000000000000000000000000020011000000000000000001000000000010000000000000000002000000
...................................................................................................................................................................................................C---------AAAATAGGATA---------ATGA-TAGCT.............................................................................................................................................................................2181.75140000000000000000000000000000000000000000000000000000000000000000000000000000000000000000000000000000000000000000000000000000000000000000000000000000000000000000000000000000000000000000000010100000000000000000000000000000210003000000000000000000000000000000000000000000001200020000000000000000100000000000000000000000000000000000
........................................................................................................................................................................................................................................................................................................................................................TAC----CGAAACAAC------TTCCAAATA.................................2191.67150000000000000000000000000000000000000000000000000000000000000000000000000000000000000000000000000000000000000000000000000000000000002000000000000000000000000000000000000000000000000000000000000000000000000000000000000050312200000000000000000000000000000000000000000000000000000000000000000000000000000000000000000000000000000000
......................................................................................................................................................................................................................................................................ACGTTTCGCGGAACAAGCTAG.............................................................................................................................2191.67150000000000000000000000000000000000000000000100000010000000000000000000000000000000000000000000000000000000000000000000000000000000000000000000000010000000000000000000000000000000000000000000000000000000000000000000030002120002000000000000000000000000000000000000000000000000000000000000000000002000000000000000000000000000000000
.................................................................................................................................................................................................................................................................TAATGACGTTTCGCGGAAC....................................................................................................................................1991.67150000000000000000000000000000000000000000000000000000000000000000000000000000000000000000000000000000000000000000000000000000000000002000000000000000000000000000000000000000000000000000000000000000003313200000000000000000000010000000000000000000000000000000000000000000000000000000000000000000000000000000000000000000000000000000
...............................................................................................................................................................................................................AATAGGATA---------ATGA-TAGCTTAACAATAGC...................................................................................................................................................................2891.67150000000000000000000000000000000000000000000000000000100000000000000000000000000000000000000000000000000000000000000000000000000000000001000000000000000000000000000000000000000000000000000000000000000000000000000000000020107010000000000000000000000000000000000000000000000000000000000000000000100000000100000000000000000000000000
.................................................................................................................................................................................................................................................................TAATGACGTTTCGCGGAACAAGCTA..............................................................................................................................2591.67150000000000000000000000000000000000000000000000000000000000000000000000000000000000000010000000000000000000000000000000000000000000000000000000100100000000000000000000000000000000000000000000000000100000000000000000001020200000000000000000000000000000000000000000000000010000000000000000000000001000000020000000000000000200000000
..................................................................................................................................................................................................................................................................................................................................................TCACCTTAC----CGAAACAAC------TTCCAAAA..................................2691.56140000000000000000000000000000000000000000000000000000000000000000000000000000000000000000000000000000000000000000000000000000000000000000000000000000000000000000000000000000000000000000000000000000000000000000000000000020009120000000000000000000000000000000000000000000000000000000000000000000000000000000000000000000000000000000
.....................................................................................................................................................................................................................................................................................................................................................CCTTAC----CGAAACAAC------TTCCAAATAC................................2591.56140000000000000000000000000000000000000000000000000000000000000000000000000000000000200000000000000000000000000000000000000000000000000000000000000000000000000000000000000000000000000000000000000000000000000000000000000010613100000000000000000000000000000000000000000000000000000000000000000000000000000000000000000000000000000000
...........................................................................................................................................................................................................................................................................TCGCGGAACAAGCTAGAACTTGCTC....................................................................................................................2591.56140000000000000000000000000000000000000010000000000000000000000000000000000000000000000010000000000000000000000000000000000000000000000030000100000000000000000000000000000000000000000000000000000000003002000000000000100000100000000000000000000000000000000000000000000000000000000000000000000000100000000000000000000000000000000000
................................................................................................................................................................................................................................................................................................................................TATGCTACTCTCAGAGACTCACCTTA..............................................................26201.553100000000000000000000000000000000000000000000000000000000000000000000000000000000000002000000000000000000000000000000000000000000000000000000000000000000000000000000000000000000000000000000000000000010000000000000001000100605060000000000000000000000000000000000000000000000000000000000000000000000000000000000000000000000000000000
........................................................................................................................................................................................................................................................................................................................ATTGACGTTATGCTACTCTCA...........................................................................21201.50300000000000000000000000000000000000000000000000000000000000000000000000000000000000000000000000000000000000000000000000000000000000003000000000000000000000200000000000000000000000000000000000000001000000000000000000001110225023000000000000000000000000000000000000000000000000120000000000000000000000000010000000000000000300000000
..............................................................................................................................................................................................TCTTCC---------AAAATAGGATA---------ATGA-..................................................................................................................................................................................21191.47280000000000000000000000000000000000000000000000000000000000000000000000000000000000000000000000000000000000000000000000000000000000306301120900000000000000000000000000000000000000000000000000000000000000000000000000000000000003000000000000000000000000000000000000000000000000000000000000000000000000000000000000000000000000000000
........................................................................................................................................................................................................................................................................................................................ATTGACGTTATGCTACTCTCAGAGACTCA...................................................................29201.45290000000000000000000000000000000000000000000000000010100000000000000000000000000000000000000000000000000000000000000000000000000000000000000000000000000000000000000000000000000000000000000000000000000000000000000000001090203460000000000000000000000000000000000000000000000000000000000000000000010000000000000000000000000100000000
.................................................................................................................................................................................................................TAGGATA---------ATGA-TAGCTTAACAATA.....................................................................................................................................................................2491.44130000000000000000000000000000000000000000000000000000000000000000000000000000000000000000000000001000000000000000000000000000000000000000000000000000000000000000000000000000000000000000000000000000003020100000000000000000311010000000000000000000000000000000000000000000000000000000000000000000000000000000000000000000000000000000
.............................................................................................................................................................................................................................................ACAATAGCTACCTGGAACGCTAATGA.................................................................................................................................................2691.44130000000000000000000000000000000000000000000000000000000000000000000000000000000000000000000000000000000000000000000000000000000000300001000100000000000000000000000000000000000000000000000000000000000000000000000000000020101310000000000000000000000000000000000000000000000000000000000000000000000000000000000000000000000000000000
...................................................................................................................................................................................................................................................................................................................................................CACCTTAC----CGAAACAAC------TTCCAAA...................................2491.44130000000000000000000000000000000000000000000000000000000000000000000000000000000000300000000000001000000000000000100000000000000000000000000000000000000000000000000000000000000000000000000000000000000000000000000000000040000220000000000000000000000000000000000000000000000000000000000000000000000000000000000000000000000000000000
.............................................................................................................................................................................................................................................ACAATAGCTACCTGGAACGCTAATGACGT..............................................................................................................................................2991.44130000000000000000000000000000000000000000000000000000000000000000000000000000000000000000000000000000000000000000000000000000000000000000000000000100000000000000000000000000000000000000000000000000000000000000126000000010002000000000000000000000000000000000000000000000000000000000000000000000000000000000000000000000000000000000
..................................................................................................................................................................................................................................................................................................................................................TCACCTTAC----CGAAACAAC------TTC.......................................2191.44130000000000000000000000000000000000000000001000000010000000000000000000000000000000000100000000000000000000000000000000000000000100000000000000000000000000000000000000000000000000000000000000000000000000000000000000000010300010000000000000000000000000000000000000000000002100010000000000000000000000000000000000000000000000000000
......................................................................................................................................................................................................................................................................ACGTTTCGCGGAACAAGCTAGAACT.........................................................................................................................2591.44130000000000000000000000000000000000000000000000000000000000000000000000000000000000000000000000000000000000000000000000000000000000000000000000000000000000000000000000000000000000000000000000000000000301001000000000300020001200000000000000000000000000000000000000000000000000000000000000000000000000000000000000000000000000000000
.......................................................................................................................................................................................................................................................................................................................................................TTAC----CGAAACAAC------TTCCAAATA.................................2291.33120000000000000000000000000000000000000000000000000000000000000000000000000000000000000000000000000000000000000000000000000000000000000000000000000000000000000000000000000000000000000000000000000000000000000000000000000020403120000000000000000000000000000000000000000000000000000000000000000000000000000000000000000000000000000000
........................................................................................................................................................................................................................................................................GTTTCGCGGAACAAGCTAGAACTTGCT.....................................................................................................................2791.33120000000000000000000000000000000000000000000000000000000000000000000000000000000000000000000000000000000000000000000000000000000000000000000110000000000002000000000000000000000000000000000000000000000000200000000000100000101200000000000000000000000000000000000000000000000000000000000000000000000000000010000000000000000000000000
...............................................................................................................................................................................................................................................................GCTAATGACGTTTCGCGGAACAAGCTAG.............................................................................................................................2891.33120000000000000000000000000000000000000000000000000000000000000000000000000000000000000000000000000000000000000000000000000000000000000000000000000010000300000000000000000000000000000000000000200000000000000000100000000000001000000000000000000000000000000000000000000000000000000000000000000000201000000100000000000000000000000000
................................................................................................................................................................................................................................................ATAGCTACCTGGAACGCTAATGACG...............................................................................................................................................2591.33120000000000000000000000000000000000000000000000000000000000000000000000000000000000000000000000000000000000000000000000000000000000000000000000000100000000000000000000000000000000000000000000000000001000000000070000000000110000000000000000000000000000000000000000000000000000000000000000000000001000000000000000000000000000000000
............................................................................................................................................................................................................................................................................CGCGGAACAAGCTAGAACTTGCT.....................................................................................................................2391.33120000000000000000000000000000000000000000000000000000000000000000000000000000000000000000000000000000000000000000000000000000000000000000000000000000000000000000000000000000000000000000000000000000002001900000000000000000000000000000000000000000000000000000000000000000000000000000000000000000000000000000000000000000000000000000
.....................................................................................................................................................................................................................................................................GACGTTTCGCGGAACAAGCTAGA............................................................................................................................2391.33120000000000000000000000100000000000000000000000000000000000000000000000000000000000000000000000000000000000000000000000000000000000000000000000000000000000000000000000000000000000000000000000000001003000000000000000100010100000000000000100000000000000000000000000000000000000000000000000000000001000000110000000000000000000000000
........................................................................................................................................................................................................................................................................................................................ATTGACGTTATGCTACTCTCAGAGT.......................................................................25201.30260000000000000000000000000000000000000000000010000000000000000000000000000000000000000000000000000000000000000000000000000000000000000000000000000000000000800000000000000000000000000000000000000000000000000000000000000050007050000000000000000000000000000000000000000000000000000000000000000000000000000000000000000000000000000000
............................................................................................................................................................................................................................................AACAATAGCTACCTGGAACGC.......................................................................................................................................................21201.25250000000000000000000000000000000000000000000000000010000000000000000000000000000000000000000000000000000000000000000000000000000000000000000000000001000200000000000000000000000000000000000000000000000010000000000000020001101103000000000000000000000000000000000000000000000100160000000000000000001000010100000000000000000000000000
.............................................................................................................................................................................................................................................................................GCGGAACAAGCTAGAACTT........................................................................................................................1991.22110000000000000000000000000000000000000000000000000000000000000000000000000000000000000000000000000000000000000000000000000000000000000000000000000000000000000000000000000000000000000000000000000000005400200000000000000000000000000000000000000000000000000000000000000000000000000000000000000000000000000000000000000000000000000000
.........................................................................................................................................................................................................................................................TGGAACGCTAATGACGTTTCGCGGA......................................................................................................................................2591.22110000000000000000000001000000000000000000000000000000000000000000000000000000000000000000000000000000000000000000000000000000000000000100000010000000100000000000000000000000000000000000000000000000000000000000000000000010500000000000000000000000000000000000000000000000000000000000000000000001000000000000000000000000000000000000
............................................................................................................................................................................................................................................................................CGCGGAACAAGCTAGAACTTG.......................................................................................................................2191.22110000000000000000000000000000000000000000000000000100000000000000000000000000000000000000000000000000000000000000000000000000000000000000000000000000000000000000000000000000000000000000000000000000000000100000000000000000000000000000000000000000000000000000000000000000000101030000000000000001012000000000000000000000000000000000
.............................................................................................................................................................................................................................................................ACGCTAATGACGTTTCGCGGAACAAGC................................................................................................................................2791.22110000000000000000000000000000000000000000000000000000000000000000000000000000000000000000000000000000000000000000000000000000000000001100110001000000000000000000000000000000000000000000000000000000000000000000000000000010000110000000000000000000000000000000000000000000000000000000000000000000000000000111000000000000000000000000
............................................................................................................................................................................................................................................................................CGCGGAACAAGCTAGAACTTGC......................................................................................................................2291.22110000000000000000000000000000000000000000000000000000000000000000000000000000000000000000000000000000000000000000000000000000000000000000000000000000000000000000000000000000000000000000000000000000002200400000000000000000110000000000000000000000000000000000000000000000000000000000000001000000000000000000000000000000000000000000
.............................................................................................................................................................................................................................................................ACGCTAATGACGTTTCGCGGAACA...................................................................................................................................2491.22110000000000000000000000000000000000000000000000000000000000000000000000000000000000000000000000000000000000000000000000000000000000000000000000000000000000000000000000000000000000000000000000000001000000001000000000000000310010000000000000000000000000000000000000000000000000000000000000000000010000000120000000000000000000000000
.........................................................................................................................................................................................................................................................................TTTCGCGGAACAAGCTAGAAC..........................................................................................................................2191.22110000000000000000000000000000000000000000000000000000000000000000000000000000000000000000000000000000000000000000000000000000000000000000000000000000000000000000000000000000000000000000000000000000001010000002000000000000111000000000000000000000000000000000000000000000001200010000000000000000000000000000000000000000000000000000
..................................................................................................................................................................................................................................................................AATGACGTTTCGCGGAACAAGC................................................................................................................................2291.22110000000000000000000000000000000000000000000000000000000000000000000000000000000000000000000000000000000000000000000000000000000000000000000000000000000000000000000000000000000000000000000000000000004000500000000000000000000000000000000000000000000000000000000000000000000000100000000000000000000000000010000000000000000000000000
.................................................................................................................................................................................................................TAGGATA---------ATGA-TAGCTTAACAATAG....................................................................................................................................................................2591.22110000000000000000000000000000000000000000000000000000000000000000000000000000000000000000000000000000000000000000000000000000000000000000000000060000000000000000000000000000000000004000000000000000000000000000000000000000100000000000000000000000000000000000000000000000000000000000000000000000000000000000000000000000000000000000
.................................................................................................................................................................................................................................................................TAATGACGTTTCGCGGAACAAGCT...............................................................................................................................2491.22110000000000000000000000000000000000000000000000000010000000000000000000000000000000000000000000000000000000000000000000000000000000000000000000000000000000000000000000000000000000000000000000002000000000100000000000000020201100000000000000000000000000000000000000000000000000000000000000000000100000000000000000000000000000000000
.....................................................................................................................................................................................................................................................................................................................................TACTCTCAGAGACTCACCTTAC----CG.......................................................24201.20240000000000000000000000000000000000000000000000000000000000000000000000000000000000000000000000000000000000000000000000000000000000000000000000000000000000000000000000000000000000000000000100000001000000000001000000000030542024000000000000000000000000000000000000000000000000000000000000000000000000000000000000000000000001000000
...............................................................................................................................................................................................................................................................................................................................TTATGCTACTCTCAGAGACTCACCT................................................................25201.20240000000000000000000000000000010000000000000000000000000000000000000000000000000000000000000000000000000000000000000000000000000000000000000000000000000000000000000000000000000010000000000000000000000000000000000000000030221390000000000000000000000000000000000000000000000000000000000000000000000000000000000000000000000200000000
....................................................................................................................................................................................................................................................CTACCTGGAACGCTAATGACGTT.............................................................................................................................................2391.11100000000000000000000000100000000000000000000010000000000000000000000000000000000000000000000000000000000000000000000000000000000000000000000000000000000000000000000000000000000000000000000000000000040000000000000000000000300010000000000000000000000000000000000000000000000000000000000000000000000000000000000000000000000000000000
.................................................................................................................................................................................................................................................TAGCTACCTGGAACGCTAATGACGTTT............................................................................................................................................2791.11100000000000000000000000000000000000000000000000100100000000000000000000000000000000000000000000000000000000000000000000000000000000001000000000000000000000000000000000000000000000000000000001000000020000000000000000000000102010000000000000000000000000000000000000000000000000000000000000000000000000000000000000000000000000000000
.............................................................................................................................................................................................................................................ACAATAGCTACCTGGAACGCTAATGACG...............................................................................................................................................2891.11100000000000000000000000000000000000000000000000000000000000000000000000000000000000000000000000000000000000000000000000000000000000000000000000000000000000000000000000000000000000000000000000000000000000000000000000000050112010000000000000000000000000000000000000000000000000000000000000000000000000000000000000000000000000000000
.................................................................................................................................................................................................................TAGGATA---------ATGA-TAGCTTAACAATAGCT..................................................................................................................................................................2791.11100000000000000000000000000000000000000000000000000000000000000000000000000000000000000000000000000000000000000000000000000000000000000100000000000000000000000000000000000000000000000000000000000000004030100000000000000000010000000000000000000000000000000000000000000000000000000000000000000000000000000000000000000000000000000000
............................................................................................................................................................................................................................................................................CGCGGAACAAGCTAGAACTTGCTCAG..................................................................................................................2691.11100000000000000000000000000000000000000000000000000100000000000000000000000000000000000010000000000000000000000000000000000000000000000000100000000000000000100000000000000000000000000000000010000000001010000000000000000000100000000000000000000000000000000000000000000000000000000000000000000001001000000000000000000000000000000000
..............................................................................................................................................................................................................................................CAATAGCTACCTGGAACGCTAATGA.................................................................................................................................................2591.11100000000000000000000000000000000000000000000000000000000000000000000000000000000000000000000000000000000000000000000000000000000000011000000000000000000000000000000000000000000000000000000000000000000000000000000000200000302010000000000000000000000000000000000000000000000000000000000000000000000000000000000000000000000000000000
......................................................................................................................................................................................................................TA---------ATGA-TAGCTTAACAATAGCTACCTGG............................................................................................................................................................2891.11100000000000000000000000000000000000000000000000000000000000000000000000000000000000000000000000000000000000000000000000000000000000005401000000000000000000000000000000000000000000000000000000000000000000000000000000000000000000000000000000000000000000000000000000000000000000000000000000000000000000000000000000000000000000000000
.......................................................................................................................................................................................................................................................................CGTTTCGCGGAACAAGCTAGAACTTGC......................................................................................................................2791.11100000000000000000000000000000000000000000000000000000000000000000000000000000000000000000000000000000000000000000000000000000000000000001000000000000000000000000000000000000000000000000000000000000000000200000000000000020203000000000000000000000000000000000000000000000000000000000000000000000000000000000000000000000000000000000
...........................................................................................................................................................................................................................................................................TCGCGGAACAAGCTAGAACTT........................................................................................................................2191.11100000000000000000000000000000000000000000000000000000000000000000000000000000000000000000000000000000000000000000000000000000000000000000000000000000000000000000000000000000000000000000000010000001001011300000000000000000000000000000000000000000000000000000000000000000000000000000000000000000100000000000000000000000000010000000
..........................................................................................................................................................................................................................................................................TTCGCGGAACAAGCTAGAACTTGCTCAG..................................................................................................................2891.11100000000000000000000000000000000000000000100000000000010000000000000000000000000000000000000000000000000000000000000000000000000000001000100010000000000000000000000000000000000000000000000000000000000000000000003000100000000000000000000100000000000000000000000000000000000000000000000000000000000000000000000000000000000000000000
...........................................................................................................................................................................................................................................TAACAATAGCTACCTGGAAC.........................................................................................................................................................20201.10220000000000000000000000000000000000000000000000000000000000000000000000000000000000000000000000000000000000000000000000000000000000003000000000000000000000000000000000000000000000000000000000000000000830600000000000000000001000000000000000000000000000000000000000000000000000010000000000000000000000000000000000000000000000000000
..........................................................................................................................................................................................................................................TTAACAATAGCTACCTGGAAC.........................................................................................................................................................21201.05210000000000000000000000000000000000000000000000000000000000000000000000000000000000000000000000000000000000000000000000000000000000001000000000000000000000000000000000000000000000000000000000000000000005700000000000000000040002000000000000000000000000000000000000000000000000110000000000000000000000000000000000000000000000000000
..............................................................................................................................................................................................................................................................................CGGAACAAGCTAGAACTTGCT.....................................................................................................................2191.0090000000000000000000000000000000000000000000000000000000000000000000000000000000000000000000000000000000000000000000000000000000000000000000000000000000000000000000000000000000000000000000000000000001020000000000000000000110004000000000000000000000000000000000000000000000000000000000000000000000000000000000000000000000000000000
.................................................................................................................................................................................................................................................................TAATGACGTTTCGCGGAACAAGCTAGAA...........................................................................................................................2891.0090000000000000000000000000000000000000000000000000000000000000000000000000000000000000000000000000000000000000000000000000000000000000000000000000000000000000000000000000000000000000000000000000000000000000000010000000130002100000000000000000000000000000000000000000000000000000000000000000000000000000000000000000000000001000000
...................................................................................................................................................................................................................................................................................................................................................CACCTTAC----CGAAACAAC------TTCCAAATA.................................2691.0090000000000000000000000000000000000000000000000000000000000000000000000000000000000000000000000000000000000000000000000000000000000000000000000000000000000000000000000000000000000000000000000000000000000000000000000000010401300000000000000000000000000000000000000000000000000000000000000000000000000000000000000000000000000000000
........................................................................................................................................................................................................................................................................................................................................................TAC----CGAAACAAC------TTCCAAATAC................................2291.0090000000000000000000000000000000000000000000000000000000000100000000000000000000000000000000000000000000000000000000000000000000000000000000000000000000000000000000000000000000000000000000000000000000000100000000000100010500000000000000000000000000000000000000000000000000000000000000000000000000000000000000000000000000000000000
..........................................................................................................................................................................................................................................................................TTCGCGGAACAAGCTAGAACTTGCTCA...................................................................................................................2791.0090000000000000000000000000000000000000000000000000000000000000000000000000000000000000000000000000000000000000000000000000000000000000001010000000000000000000000000000000000000000000000000000000000001000000000000000000010100000000000000000000000000000000000000000000000000000000000000000000000002000000200000000000000000000000000
...................................................................................................................................................................................................................................................GCTACCTGGAACGCTAATGACG...............................................................................................................................................2291.0090000000000000000000000000000000000000000000000000000000000000000000000000000000000000000000000000000000000000000000000000000000000000000000000000000000000000000000000000000000000000000000000000002000000000000000000000000000001000000000000000000000000000000000000000000000200020000000000000000000000000110000000000000000000000000
.......................................................................................................................................................................................................................................................................CGTTTCGCGGAACAAGCTAGA............................................................................................................................2191.0090000000000000000000000000000000000000000000000000000000000000000000000000000000000000000000000000000000000000000000000000000000000000100000000000000000000000000000000000000000000000000000000000000000000100000000000010000010000000000000000000000000000000000000000000000000100010000000000000000300000000000000000000000000000000000
........................................................................................................................................................................................................................................GCTTAACAATAGCTACCTGGAACGC.......................................................................................................................................................2591.0090000000000000000000000000000000000000000100000000000000000000000000000000000000000200000000000000000000000001000000000000000000000000000000000000001010000000000000000000000000000000000000000000000000000100000000000000000000000000000000000000000000000000000000000000000000000000000000000000000000000000110000000000000000000000000
....................................................................................................................................................................................................................................................................................................................................................ACCTTAC----CGAAACAAC------TTCCAAATA.................................2591.0090000000000000000000000000000000000000000000000000000000001000000000000000000000000000000000000000000000000000000000000000000000000000000000000000000000000000000000000000000000000000000000000000000000000000000000000000020300120000000000000000000000000000000000000000000000000000000000000000000000000000000000000000000000000000000
.....................................................................................................................................................................................T-------TTCTTCC---------AAAATAGGATA---------ATGA-TA................................................................................................................................................................................2581.0080000000000000000000000000000000000000000001000000020000000000000000000000000000000000000000000000000000000000000000000000000000000000000000000000000100000000000000000000000000000000000000000000000000000000000000000000000400000000000000000000000000000000000000000000000000000000000000000000000000000000000000000000000000000000000
..................................................................................................................................................................................................................................................AGCTACCTGGAACGCTAATGACGT..............................................................................................................................................2491.0090000000000000000000000000000000000000000000000000000000000000000000000000000000000000000000000000000000000000000000000000000000000000000000000003000000010100000000000000000000000000000000000000000000000000000000000000000000000000000000000000000000000000000000000000000000000000000000000000001000000000101000000000000000100000000
....................................................................................................................................................................................................................................................CTACCTGGAACGCTAATGACGTTT............................................................................................................................................2491.0090000000000000000000000000000000000000000100000100000000000000000000000000000000000000000000000000000000000000000000000000000000000000000000000000000000000000000000000000000000000000000000100000001010000000000000000000010000000000000000000000000000000000000000000000000000000000000000000000000000000000000000000000000000102000000
.......................................................................................................................................................................................................................................................................................................................................................TTAC----CGAAACAAC------TTCCAAATAC................................2391.0090000010000000000000000000000000000000000000000000000000000000000000000000000000000000000000000000000000000000000000000000000000000000000000000000000000000000000000000000000000000000000000000000000000000000000000000000010400120000000000000000000000000000000000000000000000000000000000000000000000000000000000000000000000000000000
..........................................................................................................................................................................................................................................................................................................................TGACGTTATGCTACTCTCAGAGACT.....................................................................25200.95190000000000000000000000000000000000000000000000000001000000000000000000000000000000000000000000000000000000000000000000000000000000000000000000000000000000000000000000000000000000000000000000000000004010000000040000000000400030000000000000000000000000000000000000000000000000000000000000000000100000000100000000000000000000000000
.........................................................................................................................................................................................................................................................................................................................TTGACGTTATGCTACTCTCAGAGACT.....................................................................26200.95190000000000000000000000000000000000000010000000000000000000000000000000000000000000000000000000000000000000000000000000000000000000000000000000000000000000000000000000000000000000000000000000000000004320200000000000000000103000000000000000000000000000000000000000000000000000000000000001000000000000000010000000000000000000100000
.....................................................................................................................................................................................................................................................................................................................................TACTCTCAGAGACTCACCTTAC----.........................................................22200.95190000000000000000000000000000000000000000000000000000100000000000000000000000000000000000000000000000000000000000000000000000000000000000000000000000000000000000000000000000000000000000000000000000000000000000000000030021030020000000000000000000000000000000000000000000000022000000000000000001000000000001000000000000000010000000
.........................................................................................................................................................................................................................................CTTAACAATAGCTACCTGGAACGC.......................................................................................................................................................24190.95180000000000000000000000000000000000000000000000000000100000000000000000000000000000000000000000000000000000000000000000000000000000000000000100000000000000000000000000000000000000000000000011000000000000000000000000000010202020000000001000000000000000000000000000000000000000000000000000000000100000000211000000000000000001000000
...........................................................................................................................................................................................................................................TAACAATAGCTACCTGGAACG........................................................................................................................................................21200.90180000000000000000000000000000000000000100000000000000000000000000000000000000000000000000000000000000000000000000000000000000000000000000000000000000000000000000000000000000000000000000000000000000000000000000000000000015100202000000000000000000000000000000000000000000000200010000000000000000001000000010000000000000000010000000
..........................................................................................................................................................................................................................................TTAACAATAGCTACCTGGAACGCTAA....................................................................................................................................................26190.89170000000000000000000000000000000000000000000000000000000001000000000000000000000000000000000000000000000000000000000100000000000000000000000020000000000000000000000000000000000000000000000010000000000000000000000000000020211130000000001000000000000000000000000000000000000000000000000000000000100000000000000000000000000000000000
...........................................................................................................................................................................................................................................TAACAATAGCTACCTGGAACGCTAAT...................................................................................................................................................26180.89160000000000000000000000000000010000000000100000000000000000000000000000000000000000000000000000000000000000000000000000000000000000000000000000000000000000000000000000000000000010000000000000000000000000000000000000000060301210000000000000000000000000000000000000000000000000000000000000000000000000000000000000000000000000000000
....................................................................................................................................................................................................................................................CTACCTGGAACGCTAATGAC................................................................................................................................................2090.8980000000000000000000000000000000000000000000000000000000000000000000000000000000000000000000000000000000000000000000000000000000000000000000000000000000000000000000000000000000000000000000000000000000000000000000000000000000000000000000000000000000000000000000000000000000100030000000000000001201000000000000000000000000000000000
.................................................................................................................................................................................................................................................TAGCTACCTGGAACGCTAATGA.................................................................................................................................................2290.8980000000000000000000000000000000000000000000000000000000000000000000000000000000000000000000000000000000000000000000000000000000000000002000000000000000000000000000000000000000000000000000000000000000000000000000000000020022000000000000000000000000000000000000000000000000000000000000000000000000000000000000000000000000000000000
..........................................................................................................................................................................................................................................................................TTCGCGGAACAAGCTAGAACTTGCTCAGT.................................................................................................................2990.8980000000000000000000000000000000000000000000000000000000000000000000000000000000000000000000000000000000000000000000000000000000000101320000000000000000000000000000000000000000000000000000000000000000000000000010000000000000000000000000000000000000000000000000000000000000000000000000000000000000000000000000000000000000000000000
.............................................................................................................................................................................................................................................................ACGCTAATGACGTTTCGCGGAAC....................................................................................................................................2390.8980000000000000000000000000000000000000000000000000000000000000000000000000000000000000000000000000000000000000000000000000000000000000000000000004000000000000000000000000000000000000000000000000000000000000000000000200000100000000000000000000000000000000000000000000000000000000000000000000000000000000000000000000000000010000000
.....................................................................................................................................................................................................................................................................................................................................TACTCTCAGAGACTCACCTTAC----CGAAACA..................................................2990.8980000000000000000000000000000000000000000000000000000000000000000000000000000000000000000000000000000000000000000000000000000000000000000000000000000000000000000000000000000000000000000000000000000000000010000000000000003010003000000000000000000000000000000000000000000000000000000000000000000000000000000000000000000000000000000
...........................................................................................................................................................................................................................................................................TCGCGGAACAAGCTAGAAC..........................................................................................................................1990.8980000000000000000000000000000000000000000000000000000000000000000000000000000000000000000000000000000000000000000000000000000000000000000000000000000000000000000000000000000000000000000000000000000004210100000000000000000000000000000000000000000000000000000000000000000000000000000000000000000000000000000000000000000000000000000
.....................................................................................................................................................................................................................................................................................................................................................CCTTAC----CGAAACAAC------TTCCAAATA.................................2490.8980000000000000000000000000000000000000000000000000000000000000000000000000000000000000000000000000000000000000000000000000000000000000000000000000000000000000000000000000000000000000000000000000000000000000000000000000011201300000000000000000000000000000000000000000000000000000000000000000000000000000000000000000000000000000000
..................................................................................................................................................................................................................................TGA-TAGCTTAACAATAGCTACCTGG............................................................................................................................................................2590.8980000000000000000000000000000000000000000000000000000000001000000000000000000000000000000000000000000000000000010000000000000000000102300000000000000000000000000000000000000000000000000000000000000000000000000000000000000000000000000000000000000000000000000000000000000000000000000000000000000000000000000000000000000000000000000
.................................................................................................................................................................................................................................................................................................................................................CTCACCTTAC----CGAAACAAC------TTCCAAA...................................2690.8980000000000000000000000000000000000000000000000000000000000000000000000000000000000000000000000000000000000000000000000000000000000000000000000000000000000000000000000000000000000000000000000000000000000000000000000000010012040000000000000000000000000000000000000000000000000000000000000000000000000000000000000000000000000000000
.....................................................................................................................................................................................................................ATA---------ATGA-TAGCTTAACAATAG....................................................................................................................................................................2190.8980000000000000000000000000000000000000000000000000100000000000000000000000000000000000000000000000000000000000000000000000000000000000000000000000000000000000000000000000000000000000000000000000000000000020000000000000001000000000000000000000000000000000000000000000000000000020000000000000000200000000000000000000000000000000000
...................................................................................................................................................................................................................................................................ATGACGTTTCGCGGAACAAGC................................................................................................................................2190.8980000000000000000000000000000000000000000010000000000000000000000000000000000000000000000000000000000000000000000000000000000000000000000000000000000000000000000000000000000000000000000000000000000000000100000000000000010200000000000000000000000000000000000000000000000000100010000000000000000001000000000000000000000000000000000
.................................................................................................................................................................................................TCC---------AAAATAGGATA---------ATGA-TAGC..............................................................................................................................................................................2280.8870000000000000000000000000000000000000000100000000000000000000000000000000000000000000000000000000000000000000000000000000000000000002100000200000000000000000000000000000000000000000000000000000000000000000000000000000000000001000000000000000000000000000000000000000000000000000000000000000000000000000000000000000000000000000000
...................................................................................................................................................................................................C---------AAAATAGGATA---------ATGA-TAGCTTAACA........................................................................................................................................................................2680.8870000000000000000000000000000000000000000000000000000000000000000000000000000000000000000000000000000000000000000000000000000000000000000000000000000000000000000000000000000000000000000000000000000000000000000000000000010202020000000000000000000000000000000000000000000000000000000000000000000000000000000000000000000000000000000
........................................................................................................................................................................................................................................................................................................................ATTGACGTTATGCTACTCTCAGAGACATC...................................................................29200.801600000000000000000000000000000000000000000000000000000000000000000000000000000000000000000000000000000000000000000000000000000000000000000000000000000000000000000000000000000000000000000000000000000000000000000000000000000000000000133000000000000000000000000000000000000000000000000000000000000000000000000000000000000000000000000
.......................................................................................................................................................................................................................................................................................................................CATTGACGTTATGCTACTCTCAGA.........................................................................24200.80160000000000000000000000000000000000000000001000000001000000000000000000000000000000000000000000000000000000000000000000000000000000000000000000000000000030000000000000000000000000000000000000000000000000000000000000000000004060000000000000000000000000000000000000000000000000000000000000000000000000000010000000000000000000000000
.......................................................................................................................................................................................................................................................................CGTTTCGCGGAACAAGCTAGAAC..........................................................................................................................2390.7870000000000000000000000000000000000000000000000000000000000000000000000000000000000000000000000000000000000000000000000000000000000000000000000000000000000000000000000000000000000000000000000000000000004100000000000001000000010000000000000000000000000000000000000000000000000000000000000000000000000000000000000000000000000000000
........................................................................................................................................................................................................................................................................................TAGAACTTGCTCAGTTCTTAGCCGA.......................................................................................................25180.78140000000000000000000000000000000000000000000000000000100000000000000000000000000000000000000000000000000000000000000000000000000000000000010000000000000000000000000000000000000000000000000000000011000000000000050000400000001000000000000000000000000000000000000000000000000000000000000000000000000000000000000000000000000000000000
..........................................................................................................................................................................................................................................................................TTCGCGGAACAAGCTAGA............................................................................................................................1890.7870000000000000000000000000000000000000000000000000000000000000000000000000000000000000000000000000000000000000000000000000000000000000000000000000000000000000000000000000000000000000000000000000000001410000000000000001000000000000000000000000000000000000000000000000000000000000000000000000000000000000000000000000000000000000000
......................................................................................................................................................................................................................................TAGCTTAACAATAGCTACCTGGAACGCT......................................................................................................................................................2890.7870000000000000000000000000000000000000000010000000000000000000000000000000000000000000000000000000000000000000000000000000000000000000000000001000001000001000000000000000000000000000000000000000000000000000000000000100000000000000000000000000000000000000000000000000000000000000000000000000001000000000100000000000000000000000000
....................................................................................................................................................................................................................GATA---------ATGA-TAGCTTAACAATAGCTA.................................................................................................................................................................2590.7870000000000000000000000000000000000000000000000000000000000000000000000000000000000000000000000000000000000000000000000000000000000000000000000000000000000000000000000000000000000000000000000000000000000400000000000000000210000000000000000000000000000000000000000000000000000000000000000000000000000000000000000000000000000000000
..........................................................................................................................................................................................................................................................................TTCGCGGAACAAGCTAGAACTTGCTC....................................................................................................................2690.7870000000000000000000000000000000000000000000000000000000000000000000000000000000000000000000000000000000000000000000000000000000000000001000000000000000000000000000000000000000000000000000000000200002000100000000000000000000000000000000000000000000000000000000000000000000000000000000000000000100000000000000000000000000000000000
................................................................................................................................................................................................................................................................CTAATGACGTTTCGCGGAAC....................................................................................................................................2090.7870000000000000000000000000000000000000000000000000000000000000000000000000000000000000000000000000000000000000000000000000000000000000000000000000000000000000000000000000000000000000000000000000000000000000000000000000000000000000000000000000000000000000000000000000000000300110000000000000000200000000000000000000000000000000000
......................................................................................................................................................................................................................................TAGCTTAACAATAGCTACCTGGAAC.........................................................................................................................................................2590.7870000000000000000000000000000000000000000000000000000000000000000000000000000000000000000000000000000000000000000000000000000000000000000000000000000000000000000000000000000000000000000000000000000000000000000000000100000302010000000000000000000000000000000000000000000000000000000000000000000000000000000000000000000000000000000
............................................................................................................................................................................................................................................................AACGCTAATGACGTTTCGCGGAACAA..................................................................................................................................2690.7870000000000000000000000000000000000000000000000000000000000000000000000000000000000000000000000000000000000000000000000000000000000000000000000000000000000000000000000000000000000000000000000000000000000000000000000100000010000000000000000000000000000000000000000000000000000000000000000000000000000000000000000000000001121000000
.........................................................................................................................................................................................................................................................................................................................................................AC----CGAAACAAC------TTCCAAATACTAGGATA.........................2890.7870000000000000000000000000000000000000000000000000000000000000000000000000000000000000000000000000000000000000000000000000000000000000000000000000000000000000000000000000000000000000000000000000200000000000000000000000010200020000000000000000000000000000000000000000000000000000000000000000000000000000000000000000000000000000000
..............................................................................................................................................................................................................................................CAATAGCTACCTGGAACGCTAATGACG...............................................................................................................................................2790.7870000000000000000000000000000000000000000000000000000000000000000000000000000000000000000000000000000000000000000000000000000000000000000000100000000000000000000000000000000000000000000000000000000000000000000000000000020002020000000000000000000000000000000000000000000000000000000000000000000000000000000000000000000000000000000
.................................................................................................................................................................................................................TAGGATA---------ATGA-TAGCTTAACAAT......................................................................................................................................................................2390.7870000000000000000000000000000000000000000000000000000000000000000000000000000000000000000000000000000000000000000000000000000000000000000000000000000000000000000000000000000000000000000000000000000002040000000000000000000100000000000000000000000000000000000000000000000000000000000000000000000000000000000000000000000000000000000
................................................................................................................................................................................................................................................................................................................................TATGCTACTCTCAGAGACTCACCT................................................................24200.751500000000000000000000000000000000000000000000010000000000001000000000000000000000000000000000000000000000000000000000000000000000000000000000000000000000000000000000000000000000000000000000000000000000000000000000000000100300000000000000000000000000000000000000000000000000000000000000000000000000000000000000000000000000000000000
...............................................................................................................................................................................................................................................................................................................................TTATGCTACTCTCAGAGACTC....................................................................21200.75150000000000000000000000000000000000000000000000000010000000000000000000000000000000000000000000000000000000000000000000000000000000000000000000000000000000000000000000000000000000000000000000000000000000001000000000000010230002000000000000000000000000000000000000000000000100010000000000000001001000000000000000000000000000001000
................................................................................................................................................................................................TTCC---------AAAATAGGATA---------ATGA-TAGCTTA...........................................................................................................................................................................2680.7560000000000000000000000000000000000000000000000000000000000000000000000000000000000000000000000000000000000000000000000000000000000000000000000000010000000000000000000000000000000000000000000000000000000000010000000000000300010000000000000000000000000000000000000000000000000000000000000000000000000000000000000000000000000000000
.........................................................................................................................................................................................................................................................................................................................TTGACGTTATGCTACTCTCAGAGACTC....................................................................27200.75150000000000000000000000000000000000000000000000000000000000000000000000000000000000000000000000000000000000000000000000000000000000000000000000000000000000000000000000000000000000000000000000000001000000000000000000000010306400000000000000000000000000000000000000000000000000000000000000000000000000000000000000000000000000000000
.........................................................................................................................................................................................................................................CTTAACAATAGCTACCTGGAACGCT......................................................................................................................................................25190.68130000000000000000000000000000000000000000000000000000000000000000000000000000000000000000000000000000000000000000000000000000000000000000000000000000000000000000000000000000000000000000000000000000000000000000000000000010301010000000000000000000000000000000000000000000000000000000000000000000001000000301000000000000000011000000
......................................................................................................................................................................................................................................................................ACGTTTCGCGGAACAAGCTAGA............................................................................................................................2290.6760000000000000000000000000000000000000000000000000000000000000000000000000000000000000000000000000000000000000000000000000000000000000000000000000000000000000000000000000000000000000000000000000001000010000000000000000011000000000000000000000000000000000000000000000000000200000000000000000000000000000000000000000000000000000000
..................................................................................................................................................................................................................................................................................................................................................TCACCTTAC----CGAAACAAC------T.........................................1990.6760000000000000000000000000000000000000000000000000000000000000000000000000000000000000000000000000000000000000000000000000000000000000000000000000000000000000000000000000000000000000000000000000000000000000000040000000000200000000000000000000000000000000000000000000000000000000000000000000000000000000000000000000000000000000000
..............................................................................................................................................................................................................................................CAATAGCTACCTGGAACGCTAATGAA................................................................................................................................................2690.6760000000000000000000000000000000000000000000000000000000000000000000000000000000000000000000000000000000000000000000000000000000000000000000000000000000000600000000000000000000000000000000000000000000000000000000000000000000000000000000000000000000000000000000000000000000000000000000000000000000000000000000000000000000000000000
..................................................................................................................................................................................................................................................................................................................................................TCACCTTAC----CGAAACAAC------TTCCAAT...................................2590.6760000000000000000000000000000000000000000000000000000000000000000000000000000000000000000000000000000000000000000000000000000000000000000000000000000000000000000000000000000000000000000000000000000000020000000000000000010200010000000000000000000000000000000000000000000000000000000000000000000000000000000000000000000000000000000
.............................................................................................................................................................................................................................................................................GCGGAACAAGCTAGAACTTGCTCAG..................................................................................................................2590.6760000000000000000000000000000000000000000000000000000000000000000000000000000000000000000000000000000000000000000000000000000000000000000000100000000000000000000000000000000000000000000000000002000000000200000000000000000100000000000000000000000000000000000000000000000000000000000000000000000000000000000000000000000000000000000
................................................................................................................................................................................................................ATAGGATA---------ATGA-TAGCTTAACAATAGC...................................................................................................................................................................2790.6760000000000000000000000100000000000000000000000000000000000000000000000000000000000000000000000000000000000000000000000000000000000000100000000100000000000000000000000000000000000000000000000000000000000000000000000000020001000000000000000000000000000000000000000000000000000000000000000000000000000000000000000000000000000000000
..................................................................................................................................................................................................................................................................AATGACGTTTCGCGGAACAAG.................................................................................................................................2190.6760000000000000000000000000000000000010000000000000000000000000000000000000000000000000000000000000000000000000000000000000000000000000000000000000000000000000000000000000000000000000000000000010000000000000000000000000000010001000000000000000000000000000000000000000000000100100000000000000000000000000000000000000000000000000000
...............................................................................................................................................................................................................................................................................................................................................GACTCACCTTAC----CGAAACAAC------..........................................2190.6760000000000000000000000000000000000000000000000000000000000000000000000000000000000000000000000000000000000000000000000000000000000000000000000000000000000000000000000000000000000006000000000000000000000000000000000000000000000000000000000000000000000000000000000000000000000000000000000000000000000000000000000000000000000000000
..........................................................................................................................................................................................................................................................................................................................................................C----CGAAACAAC------TTCCAAATACTAGGATA.........................2790.6760000000000000000000000000000000000000000000000000000000000010000000000000000000000000000000000000000000000000000000000000000000000000000000000000000000000000000000000000000000000000000000000000000000000000000000000000010000220000000000000000000000000000000000000000000000000000000000000000000000000000000000000000000000000000000
..........................................................................................................................................................................................................................................................................TTCGCGGAACAAGCTAGAAC..........................................................................................................................2090.6760000000000000000000000000000000000000000000000000000000000000000000000000000000000000000000000000000000000000000000000000000000000000000000000000000000000000000000000000000000000000000000000000000000000200300000000100000000000000000000000000000000000000000000000000000000000000000000000000000000000000000000000000000000000000000
.............................................................................................................................................................................................................................................ACAATAGCTACCTGGAACGCTAATGAC................................................................................................................................................2790.6760000000000000000000000000000000000000000000000000000000000000000000000000000000000000000000000000000000000000000000000000000000000000000000000000000000000000000000000000000000000000000000000000000000000100000000000000020000120000000000000000000000000000000000000000000000000000000000000000000000000000000000000000000000000000000
.............................................................................................................................................................................................................................................................................................................................CGTTATGCTACTCTCAGAGACTCACC.................................................................26200.65130000000000000000000000000000000000000000000000000000000000000000000000000000000000000000000000000000000000000000000000000000000000000000000000000000000000200000000000000000000000000000000000000000000000000000000000000040322000000000000000000000000000000000000000000000000000000000000000000000000000000000000000000000000000000000
...........................................................................................................................................................................................................................................TAACAATAGCTACCTGGAACGCTA.....................................................................................................................................................24190.63120000000000000000000000000000000000000000001000000000000000000000000000000000000000000000000000000000000000000000000000000000000000000100000020000100100000000000000000000000000000000000000000000000000000000000000000010001102000000000000000000000000000000000000000000000000000000000000000000000000000000000000000000000000100000000
..................................................................................................................................................................................................CC---------AAAATAGGATA---------ATGA-TAGC..............................................................................................................................................................................2180.6350000000000000000000000000000000000000000000000000000000000000000000000000000000000000000000000000000000000000000000000000000000000000000000000000000000000000000000000000000000000000000000000000000003000000000000000000000000002000000000000000000000000000000000000000000000000000000000000000000000000000000000000000000000000000000
............................................................................................................................................................................................................................................................................................................................ACGTTATGCTACTCTCAGAGA.......................................................................21200.60120000000000000000000000000000000000000000000000000000000000000000000000000000000000000000000000000000000000000000000000000000000000000000000100000000000000000000000000000000000000000000000000000000000000000000000000000013050001000000000000000000000000000000000000000000000000000000000000000000010000000000000000000000000000000000
.....................................................................................................................................................................................................................................................................................................................................TACTCTCAGAGACTCACCTTAC----CGAAA....................................................27200.60120000000000000000000000000000000000000000000000000000000000000000000000000000000000000000000000000000000000000000000100000000000000000000000000000000000000000000000000000000000000000000000000000000000000000000000000000002000206000000000000000000000000000000000000000000000000000000000000000000000000000100000000000000000000000000
......................................................................................................................................................................................................................................................................................................TTCTTAGCCGACAGAAACATTGACGT........................................................................................26200.60120000000000000000000000000000000000000000000000000000000000000000000000000000000000000000000000000000000000000000000000000000000000000000000000005000000000000000000000000000000000000000000100000000000000000000000000301000100000010000000000000000000000000000000000000000000000000000000000000000000000000000000000000000000000000000
..........................................................................................................................................................................................................................................................................................................TAGCCGACAGAAACATTGACGT........................................................................................22200.60120000000000000000000000000000000000000000000000000000000000100000000000000000000000000000000000000000000000000000000000000000000000000000000020000000000000000000000000000000000000000000000000000000000000000000000000000000000001000000000000000000000000000000000000000000010100040000000000000000000000000200000000000000000000000000
..................................................................................................................................................................................TCGT-------TTCTTCC---------AAAATAGGATA---------ATGA-..................................................................................................................................................................................26150.6090000000000000000000000000000000000000000000000000000000001020000000000000000000000200000000000001000000000000000000000000000000000001000000000000000000000000000000000000000000000000000000000000000000000000000000000000000100000000000000000000000000000000000000000000000000000000000000000000000000000000000000000000000000001000000
..........................................................................................................................................................................................................................................TTAACAATAGCTACCTGGAACGCTA.....................................................................................................................................................25190.58110000000000000000000000000000000000000000000000000000100000000000000000000000000000000000000000000000000000000000000000000000000000000000000010000000000002000000000000000000000000000000000000000001000000000000000000001020001011000000000000000000000000000000000000000000000000000000000000000000000000000000000000000000000000000000
..........................................................................................................................................................................................................................................TTAACAATAGCTACCTGGAACGCT......................................................................................................................................................24190.58110000000000000000000000000000000000000000100000000000000000000000000000000000000000000000000000000000000000000000000000000000000000000000000000000000000000000000000000000000000000000000000000000000001000000000000000100010301010000000000000000000000000000000000000000000000000000000000000000000100000000000000000000000000100000000
..............................................................................................................................................................................................................................................................................................................................................................................TTCCAAATACTAGGATATAAATTT..................2490.5650000000000000000000000000000000000000000000000000000000000000000000000000000000000000000000000000000000000000000000000000000000000000000000000000000000000000000000000000000000000000000000000000000000000000000000000000000050000000000000000000000000000000000000000000000000000000000000000000000000000000000000000000000000000000000
..............................................................................................................................................................................................................................................CAATAGCTACCTGGAACGCTAATGAC................................................................................................................................................2690.5650000000000000000000000000000000000000000000000000000000000000000000000000000000000000000000000000000000000000000000000000000000000000000000000000000000000000000000000000000000000000000000000000000000000000000000000000010010210000000000000000000000000000000000000000000000000000000000000000000000000000000000000000000000000000000
............................................................................................................................................................................................................................................................AACGCTAATGACGTTTCGCGGAACAAG.................................................................................................................................2790.5650000000000000000000000000000000000000000000000000000000001000000000000000000000000000000000000000000000000000000000000000000000000000000000000000000000000000000000000000000000000000000000000000000000000000000000000000000000000000000000000000000000000000000000000000000000000000000000000000001000000000010000000000000000002000000
............................................................................................................................................................................................................................................................AACGCTAATGACGTTTCGCGG.......................................................................................................................................2190.5650000000000000000000000000000000000000000100000000000000000000000000000000000000000000000000000000000000000000000000000000000000000000000000000000000000000000000000000000000000000000000000000000000000000000000000000000001000000000000000000000000000000000000000000000000000000000000000000000000000000000100000000000000000200000000
...........................................................................................................................................................................................................................................................................TCGCGGAACAAGCTAGAACTTG.......................................................................................................................2290.5650000000000000000000000000000000000000000000000000100000000000000000000000000000000000000000000000000000000000000000000000000000000000000000000000000000000000000000000000000000000000000000000000000000210000000000000000000000000000000000000000000000000000000000000000000001000000000000000000000000000000000000000000000000000000000
...............................................................................................................................................................................................................................................AATAGCTACCTGGAACGCTAATGACG...............................................................................................................................................2690.5650000000000000000000000000000000000000000000000000000000000000000000000000000000000000000000000000000000000000000000000000000000000000000000000000000000000000000000000000000000000000000000000000000000000000000000000000020101100000000000000000000000000000000000000000000000000000000000000000000000000000000000000000000000000000000
.............................................................................................................................................................................................................................................................ACGCTAATGACGTTTCGCGG.......................................................................................................................................2090.5650000000000000000000000000000000000001000000000000001000000000000000000000000000000000000000000000000000000000000000000000000000000000000000000000000001000000000000000000000000000000000000000000000000000000000000000000000000000000000000000000000000000000000000000000000000000000000000000000000000000000020000000000000000000000000
..................................................................................................................................................................................................................AGGATA---------ATGA-TAGCTTAACAATAG....................................................................................................................................................................2490.5650000000000000000000000000000000000000000000000000000000000000000000000000000000000000000000000000000000000000000000000000000000000000020000000000000000000000000000000000000000000000000000000000000000000000000000000000010100010000000000000000000000000000000000000000000000000000000000000000000000000000000000000000000000000000000
...........................................................................................................................................................................................................................................................................TCGCGGAACAAGCTAGAACTTGCTCA...................................................................................................................2690.5650000000000000000000000000000000000000000000000000000000000000000000000000000000000000000000000000000000000000000000000000000000000000100000000000000000000000000000000000000000000000000000000000000002000001000000000000000000000000000000000000000000000000000000000000000000000000000000000000000100000000000000000000000000000000000
.......................................................................................................................................................................................................................................................................................................................................................TTAC----CGAAACAAC------TTCCAAA...................................2090.5650000000000000000000000000000000000000000000000000000000000000000000000000000000000000000000000000000000000000000000000000000000000000000000000000000000000000000000000000000000000000000000000000000000000000000000000000000102110000000000000000000000000000000000000000000000000000000000000000000000000000000000000000000000000000000
.................................................................................................................................................................................................................TAGGATA---------ATGA-TAGCTTAAC.........................................................................................................................................................................2090.5650000000000000000000000000000000000000000000000000000000000000000000000000000000000000000000000000000000000000000000000000000000000000000000000000000000000000000000000000000000000000000000000000000000020300000000000000000000000000000000000000000000000000000000000000000000000000000000000000000000000000000000000000000000000000000
....................................................................................................................................................................................................................................................................................................................................................ACCTTAC----CGAAACAAC------TTCCAAA...................................2390.5650000000000000000000000000000000000000000000000000000000000000000000000000000000000000000000000000000000000000000000000000000000000000000000000000000000000000000000000000000000000000000000000000000000000000000000000000000113000000000000000000000000000000000000000000000000000000000000000000000000000000000000000000000000000000000
....................................................................................................................................................................................................................................A-TAGCTTAACAATAGCTACCTGGAACGC.......................................................................................................................................................2890.5650000000000000000000000000000000000000010000000000000000000000000000000000000000000000000000000000000000000000000000000000000000000000000000000000001000000000000000000000000000000000000000000000000000000000010000000100000000000000000000000000000000000000000000000000000000000000000000000000000001000000000000000000000000000000000
.......................................................................................................................................................................................................................................AGCTTAACAATAGCTACCTGGAACGC.......................................................................................................................................................2690.5650000000000000000000000000000000000000000000000000000000000000000000000000000000000000000000000001000000000001000000000000000000000000000000000000000000000000000000000000000000000000000000000001000000000000000000000000000000000000000000000000000000000000000000000000000000000000000000000000000000000000020000000000000000000000000
.....................................................................................................................................................................................................................................................................................................................................................CCTTAC----CGAAACAAC------TTCCAAA...................................2290.5650000000000000000000000000000000000000000000000000000000000000000000000000000000000000000000000001000000000000000000000000000000000000000000000000000000000000000000000000000000000000000000000000000000000000000000000000010101010000000000000000000000000000000000000000000000000000000000000000000000000000000000000000000000000000000
............................................................................................................................................................................................................................................................AACGCTAATGACGTTTCGCGGAACA...................................................................................................................................2590.5650000000000000000000000000000000000000000000000000000000000000000000000000000000000000000000000000000000000000000000000000000000000000000000000000000000000000000000000000000000000000000000000000000000000000000000000000000201000000000000000000000000000000000000000000000000000000000000000000000100000000000000000000000001000000000
........................................................................................................................................................................................................................................................................................................................ATTGACGTTATGCTACTCTCAGACT.......................................................................25200.55110000000000000000000000000000000000000000000000000000000000000000000000000000000000000000000000000000000000000000000000000000000000000000000000000000000000000000000000000000000000000000000000000000000000000000000000000000105500000000000000000000000000000000000000000000000000000000000000000000000000000000000000000000000000000000
....................................................................................................................................................................................GT-------TTCTTCC---------AAAATAGGATA---------ATGA-TA................................................................................................................................................................................2680.5040000000000000000000000000000000000000000000000000000000000000000000000000000000000000000000000000000000000000000000000000000000000000000000000000000000000000000000000000000000000000000000000000000020000000000000000000010100000000000000000000000000000000000000000000000000000000000000000000000000000000000000000000000000000000000
.................................................................................................................................................................................................TCC---------AAAATAGGATA---------ATGA-TAGCTTA...........................................................................................................................................................................2580.5040000000000000000000000000000000000000000000000000000000000000000000000000000000000000000000000000000000000000000000000000000000000000000000000000000000000000000000000000000000000000000000000000000000000000000000000000000100010000000000000000000000000000000000000000000000000000000000000000000000000000000000000000000000101000000
....................................................................................................................................................................................GT-------TTCTTCC---------AAAATAGGATA---------ATGA-TAGC..............................................................................................................................................................................2880.5040000000000000000000000000000000000000000000000000000000000000000000000000000000000000000000000000000000000000000000000000000000000000000000000000000000000000000000000000000000000000000000000000000000000000000000000000020200000000000000000000000000000000000000000000000000000000000000000000000000000000000000000000000000000000000
................................................................................................................................................................................................TTCC---------AAAATAGGATA---------ATGA-TAGC..............................................................................................................................................................................2380.5040000000000000000000000000000000000000000000000000000000000000000000000000000000000000000000000000000000000000000000000000000000000001000000200000000000000000000000000000000000000000000000000000000000000000000000000000000100000000000000000000000000000000000000000000000000000000000000000000000000000000000000000000000000000000000
..................................................................................................................................................................................TCGT-------TTCTTCC---------AAAATAGGATA---------.......................................................................................................................................................................................22160.5080000000000000000000000000000000000000000000000000000000000000000000000000000000000000000000000000000000000000000000000000000000000000000000000000000000000000000000000000000000000000000000000000000000110300000000000000000200100000000000000000000000000000000000000000000000000000000000000000000000000000000000000000000000000000000
................................................................................................................................................................................................TTCC---------AAAATAGGATA---------ATGA-TA................................................................................................................................................................................2180.5040000000000000000000000000000000000000000000000000000000000000000000000000000000000000000000000000000000000000000000000000000000000000000000000000000100000000000000000000000000000000000000000000000000000100000000000000000110000000000000000000000000000000000000000000000000000000000000000000000000000000000000000000000000000000000
.................................................................................................................................................................................................TCC---------AAAATAGGATA---------ATGA-TAGCTTAA..........................................................................................................................................................................2680.5040000000000000000000000000000000000000000000000000000000000000000000000000000000000000000000000000000000000000000000000000000000000000000000000000000000000000000000000000000000000000000000000000000000000000000000000000010201000000000000000000000000000000000000000000000000000000000000000000000000000000000000000000000000000000000
.........................................................................................................................................................................................................................................................................................................TTAGCCGACAGAAACATTGACGT........................................................................................23200.50100000000000000000000000000000000000000000000000110000000000000000000000000000000000000000000000000000000000000000000000000000000000000000000000000000010100000000000000000000000000000000000000003000000000000000000000000100000000000000000000000000000000000000000000000000000000000000000000000000001000000010000000000000000000000000
........................................................................................................................................................................................................................................................................................................................ATTGACGTTATGCTACTCTCAGAGAAA.....................................................................27200.50100000000000000000000000000000000000000000000000000000000000000000000000000000000000000000000000000000000000000000000000000000000000000000000000007000000000000000000000000000000000000000000000000001000000000000000000000000001100000000000000000000000000000000000000000000000000000000000000000000000000000000000000000000000000000000
.................................................................................................................................................................................................TCC---------AAAATAGGATA---------ATGA-TAGCTTAAC.........................................................................................................................................................................2780.5040000000000000000000000000000000000000000000000001000000000000000000000000000000000000000000000000000000000000000000000000000000000000000000000000000000000000000000000000000000000000000000000000000000000000000000000000000200010000000000000000000000000000000000000000000000000000000000000000000000000000000000000000000000000000000
.............................................................................................................................................................................................................AAAATAGGATA---------ATGA-TAGCT.............................................................................................................................................................................2080.5040000000000000000000000000000000000000000000000000000000000000000000000000000000000000000000000000000000000000000000000000000000000000000000000000000000000000000000000000000000000000000000000000000000000000000000000000000000000000000000000000000000000000000000000000000001300000000000000000000000000000000000000000000000000000000
.................................................................................................................................................................................................................................................TAGCTACCTGGAACGCTAAT...................................................................................................................................................20200.50100000000000000000000000000000000000000000000000000000000000000000000000000000000000000000000000000000000000000000000000000000000000000200000000000000000000000000000000000000000000000000000000000000000000000000000000000000200000000000000000000000000000000000000000000000000001230000000000000000000000000000000000000000000000000000
.............................................................................................................................................................................................................................................ACAATAGCTACCTGGAACGCT......................................................................................................................................................21200.50100000000000000000000000000000000000000000000000000000000000000000000000000000000000000000000000000000000000000000000000000000000000000000000000000000000000000000000000000000000000000000000000000000000000200000000000000000000101000000000000000000000000000000000000000000000000030000000000000001200000000000000000000000000000000000
.........................................................................................................................................................................................................................................CTTAACAATAGCTACCTGGAACGCTA.....................................................................................................................................................26190.4790000000000000000000000000000000000000000000000000000000001000000000000000000000000000000000000000000000000000000000000000000000000000000000000000000000000300000000000000000000000000000000000100002000000000000000000000000000110000000000000000000000000000000000000000000000000000000000000000000000000000000000000000000000000000000
......................................................................................................................................................................................................................................................................................GCTAGAACTTGCTCAGTTCTTAGCCGA.......................................................................................................27170.4780000000000000000000000000000000000000000000000000000000000000000000000000000000000008000000000000000000000000000000000000000000000000000000000000000000000000000000000000000000000000000000000000000000000000000000000000000000000000000000000000000000000000000000000000000000000000000000000000000000000000000000000000000000000000000
..TGC-----------------------------------------------------------------------------------------------------------------------------------------------------------------------------TCGT-------TTCTTCC---------AAAATAGGATA---------.......................................................................................................................................................................................25150.4770000000000000000000000000000000000000000000010000000000000000000000000000000000000000000000000000000000000000000000000000000000000000000000000003000010000000000000000000000000000000000000000000000000000000000000000000000100100000000000000000000000000000000000000000000000000000000000000000000000000000000000000000000000000000000
...........................................................................................................................................................................................................................................TAACAATAGCTACCTGGAACGC.......................................................................................................................................................22200.4590000000000000000000000000000000000000000000000000100000000000000000000000000000000000000000000000000000000000000000000000000000000000000000210000000000000000000000000000000000000000000000000000000000000000000000000000000210110000000000000000000000000000000000000000000000000000000000000000000000000000000000000000000000000000000
...........................................................................................................................................................................................................................................................................................................AGCCGACAGAAACATTGACGT........................................................................................21200.4590000000000000000000000000000000000002000000000001000100000000000000000000000000000000000000000000000000000000000000000000000000000000000000000000000000000000000000000000000000000000000000000000000000000000000000000040000000000000000000000000000000000000000000000000000000000000000000000000000000000000010000000000000000000000000
........................................................................................................................................................................................................................................................................................................................ATTGACGTTATGCTACTCTCAGAGAA......................................................................26200.4590000000000000000000000000000000000000000000000000100000000000000000000000000000000000000000000000000000000000000000000000000000000000000000000000000000000100000000000000000000000000000000000000000000000001000000000000000100010000000000000000000000000000000000000000000000000000000000000000000100000000201000000000000000000000000
...............................................................................................................................................................................................................................................................................................TGCTCAGTTCTTAGCCGACAGAAACATT.............................................................................................28200.4590000000000000000000000000000000000000000000000000100000000100000000000000000000000000000000000000000000000000000000000000000000000000000000000000000000000000000000000000000000000000000000000000100000000000000000000000020001030000000000000000000000000000000000000000000000000000000000000000000000000000000000000000000000000000000
...............................................................................................................................................................................................................................................................................................TGCTCAGTTCTTAGCCGACAGAAAC................................................................................................25200.4590000000000000000000000000000000000000000100000000000000000000000000000000000000000000000000000000000000000000000100000000000000000000000000000000000000000000000000000000000000000000000000000000000000000000000000000000040000210000000000000000000000000000000000000000000000000000000000000000000000000000000000000000000000000000000
................................................................................................................................................................................................................................................................................................................................TATGCTACTCTCAGAGACTCACCTTAC----C........................................................28200.4590000000000000000000000000000000000000000000000000000000000000000000000000000000000000000000000000000000000000000000000000000000000000000000000000000000000000000000000000000000000000000000000000000000000000000000000000010204110000000000000000000000000000000000000000000000000000000000000000000000000000000000000000000000000000000
..........................................................................................................................................................................................................................................................................................................TAGCCGACAGAAACATTGACGTTATGC...................................................................................27200.4590000000000000000000000000000000000000000000000000000000000000000000000000000000000110000000000000000000000000000100000000000000000000000000000000000000000000000000000000000000000000000000000000000000000000000000000000010000020000000000000000000000000000000000000000000000000000000000001000000001000000100000000000000000000000000
..................................................................................................................................................................................................................................................................................................TCAGTTCTTAGCCGACAGAAAC................................................................................................22200.4590000000000000000000000000000000000000000000000000000000000010000000000000000000000000000000000000000000000000000000000000000000000000001000000000000000000000000000000000000000000000000000000000000000000000000000000000020100220000000000000000000000000000000000000000000000000000000000000000000000000000000000000000000000000000000
................................................................................................................................................................................................................................................................................................................................TATGCTACTCTCAGAGACTCACCTT...............................................................25200.4590000000000000000000000000000000000000000000000000000000000000000000000000000000000000000000000000000000000000000000000000000000000000000000000000000000000000000000000000000000000000000000000000000030000000000000000000000301110000000000000000000000000000000000000000000000000000000000000000000000000000000000000000000000000000000
......................................................................................................................................................................................................................TA---------ATGA-TAGCTTAACAATAGC...................................................................................................................................................................2190.4440000000000000000000000000000000000000000000000000000000000000000000000000000000000000000000000000000000000000000000000000000000000200000000000000000000000000000000000000000000000000000000000000000000000000000000000000001010000000000000000000000000000000000000000000000000000000000000000000000000000000000000000000000000000000000
..........................................................................................................................................................................................................................................TTAACAATAGCTACCTGGAACGCTAAT...................................................................................................................................................27180.4480000000000000000000000000000000000000000000000000000000000000000000000000000000000000000000000000000000000000000000000000000000000000000000000000000000000000000000000000000000000000000000000000000000000000000000000000030103010000000000000000000000000000000000000000000000000000000000000000000000000000000000000000000000000000000
..........................................................................................................................................................................................................................................................................TTCGCGGAACAAGCTAGAACTTGCATC...................................................................................................................2790.4440000000000000000000000000000000000000000000000000000000000000000000000000000000000000000000000000000000000000000000000000000000000000000000000000000000000000000000000000000000000000000000000000000000000000000000000000000000000000040000000000000000000000000000000000000000000000000000000000000000000000000000000000000000000000000
..................................................................................................................................................................................................................................................AGCTACCTGGAACGCTAATGACG...............................................................................................................................................2390.4440000000000000000000000000000000000000000000000000000000000000000000000000000000000000000000000000000000000000000000000000000000000000000000000000000000000200000000000000000000000000000000000000000000000000000000000010000000000000000000000000000000000000000000000000000000000000000000000000000000000000000000000000000000001000000
.................................................................................................................................................................................................................................................TAGCTACCTGGAACGCTAATGAC................................................................................................................................................2390.4440000000000000000000000000000000000000000000000000000000000000000000000000000000000000000000000000000000000000000000000000000000000000000000000000000000000000000000000000000000000000000000000000000000000100000000000000000300000000000000000000000000000000000000000000000000000000000000000000000000000000000000000000000000000000000
.....................................................................................................................................................................................................................................................................GACGTTTCGCGGAACAAGCTAGAA...........................................................................................................................2490.4440000000000000000000000000000000000000000000000000000000000000000000000000000000000000000000000000000000000000000000000000000000000000000000000000000000000000000000000000000000000000000000000100001000000000000000000000000101000000000000000000000000000000000000000000000000000000000000000000000000000000000000000000000000000000000
................................................................................................................................................................................................................ATAGGATA---------ATGA-TAGCTTAACAATA.....................................................................................................................................................................2590.4440000000000000000000000000000000000000000000000000000000000000000000000000000000000000000000000000000000000000000000000000000000000000000000000000000000000000000000000000000000000000000000000000000000020000000000000000000200000000000000000000000000000000000000000000000000000000000000000000000000000000000000000000000000000000000
.....................................................................................................................................................................................................................................................................................................................................................CCTTAC----CGAAACAAC------TTCCAAAT..................................2390.4440000000000000000000000000000000000000000000000000000000000000000000000000000000000000000000000000000000000000000000000000000000000000000000000000000000000000000000000000000000000000000000000000000000000000000000000000000200011000000000000000000000000000000000000000000000000000000000000000000000000000000000000000000000000000000
............................................................................................................................................................................................................................................................AACGCTAATGACGTTTCGCGGAAC....................................................................................................................................2490.4440000000000000000000000000000000000000000000000000000000000000000000000000000000000000000000000000000000000000000000000000000000000000000000000000000000000000000000000000000000000000000000000000000000000200000000000000000100000000000000000000000000000000000000000000000000000000000000000000000000000000000000000000000000100000000
...................................................................................................................................................................................................................................................................ATGACGTTTCGCGGAACAAGCTAGAACT.........................................................................................................................2890.4440000000000000000000000000000000000000000000000000000000000000000000000000000000000000000000000000000000000000000000000000000000000000000000000000000000000000000000000000000000000000000000000000000000000000000000000000000111100000000000000000000000000000000000000000000000000000000000000000000000000000000000000000000000000000000
............................................................................................................................................................................................................................................................................CGCGGAACAAGCTAGAACTTGCTC....................................................................................................................2490.4440000000000000000000000000000000000000000000000000000000000000000000000000000000000000000000000000000000000000000000000000000000000000000004000000000000000000000000000000000000000000000000000000000000000000000000000000000000000000000000000000000000000000000000000000000000000000000000000000000000000000000000000000000000000000000
.................................................................................................................................................................................................................TAGGATA---------ATGA-TAGCTTAACA........................................................................................................................................................................2190.4440000000000000000000000000000000000000000000000000000000000000000000000000000000000000000000000000000000000000000000000000000000000000000010000000000000000000000000000000000000000000000000000000000000020000000000000000000000000000000000000000000000000000000000000000000000000010000000000000000000000000000000000000000000000000000
.....................................................................................................................................................................................................................................................................GACGTTTCGCGGAACAAGC................................................................................................................................1990.4440000000000000000000000000000000000000000000000000000000000000000000000000000000000000000000000000000000000000000000000000000000000000000000000000000000000000000000000000000000000000000000000000000002020000000000000000000000000000000000000000000000000000000000000000000000000000000000000000000000000000000000000000000000000000000
........................................................................................................................................................................................................................................................................................................................................................TAC----CGAAACAAC------TTCCAAATACTAGGATA.........................2990.4440000000000000000000000000000000000000000000000000000000001000000000000000000000000000000000000000000000000000000000000000000000000000000000000000000000000000000000000000000000000000000000000000000000000000000000000000020100000000000000000000000000000000000000000000000000000000000000000000000000000000000000000000000000000000000
.................................................................................................................................................................................................................................................................TAATGACGTTTCGCGGAACAAGCA...............................................................................................................................2490.4440000000000000000000000000000000000000000000000000000000000000000000000000000000000000000000000000000000000000000000000000000000000000000000000000000000003000000000000000000000000000000000000000000000000000000000000000000000100000000000000000000000000000000000000000000000000000000000000000000000000000000000000000000000000000000
........................................................................................................................................................................................................................................................................................................................................................TAC----CGAAACAAC------TTCCAAATACA...............................2390.4440000000000000000000000000000000000000000000000000000000000000000000000000000000000000200000000000000000000000000100000000000000000000000000000000000000000000000000000000000000000000000000000000000000000000000000000000000100000000000000000000000000000000000000000000000000000000000000000000000000000000000000000000000000000000000
...................................................................................................................................................................................................................................................GCTACCTGGAACGCTAATGAC................................................................................................................................................2190.4440000000000000000000000000000000000000000000000000000000000000000000000000000000000000000000000000000000000000000000000000000000000000000000000000000000000000000000000000000000000000000000000000000000000000000000000000100000000000000000000000000000000000000000000000000000000020000000000000000001000000000000000000000000000000000
.....................................................................................................................................................................................................................................................................GACGTTTCGCGGAACAAGCTAG.............................................................................................................................2290.4440000000000000000000000100000000000000000000000000010000000000000000000000000000000000000000000000000000000000000000000000000000000000000000000000000000000000000000000000000000000000000000000000000000000200000000000000000000000000000000000000000000000000000000000000000000000000000000000000000000000000000000000000000000000000000
.....................................................................................................................................................................................................................ATA---------ATGA-TAGCTTAACAATAGCTA.................................................................................................................................................................2490.4440000000000000000000000000000000000000000000000000000000000000000000000000000000000000000000000000000000000000000000000000000000000000000000000000000000000000000000000000000000000000000000000000000004000000000000000000000000000000000000000000000000000000000000000000000000000000000000000000000000000000000000000000000000000000000
.........................................................................................................................................................................................................................................................................TTTCGCGGAACAAGCTAGAACTT........................................................................................................................2390.4440000000000000000000000000000000000000000000000000000000000000000000000000000000000000000000000000000000000000000000000000000000000000000000000000000000000000000000000000000000000000000000000000000000000000020000000000000010010000000000000000000000000000000000000000000000000000000000000000000000000000000000000000000000000000000
...................................................................................................................................................................................................................................................................................................................................................................ACAAC------TTCCAAATACTAGGAT..........................2190.4440000000000000000000000000000000000000000000000000000000000000000000000000000000000000000000000000000000000000000000000000000000000000000000000000000000000000000000000000000000000000000000000000000000000000000000000000000030001000000000000000000000000000000000000000000000000000000000000000000000000000000000000000000000000000000
................................................................................................................................................................................................................ATAGGATA---------ATGA-TAGCTTAAC.........................................................................................................................................................................2190.4440000000000000000000000000000000000000000000000000000000000000000000000000000000000000000000000000000000000000000000000000000000000000000000000000000000000000000000000000000000000000000000000000000000000000000000000000000000000000000000000000000000000000000000000000000000000000000000000000000004000000000000000000000000000000000
............................................................................................................................................................................................................................................................................................................................................AGAGACTCACCTTAC----CGAAAC...................................................2190.4440000000000000000000000000000000000000000000000000000000000000000000000000000000000000000000000000000000000000000000000000000000000000000000000000000000000000000000000000000000000000000000000000000000000000000000000000010000000000000000000000000000000000000000000000000000000300000000000000000000000000000000000000000000000000000
....................................................................................................................................................................................................................................................................TGACGTTTCGCGGAACAAGCT...............................................................................................................................2190.4440000000000000000000000000000000000000000000000000000000000000000000000000000000000000000000000000000000000000000000000000000000000000000000000000000000000000000000000000000000000000000000000000000000000000000000000010000000000000000000000000000000000000000000000000000000200100000000000000000000000000000000000000000000000000000
droSec2
TTTGCCC-G---TTTTCA--AGGAAT--GGTTGAAAGTATGATGGAAAAAATGTTCTCCCAA-----------------------------ATGACGCAGCTTATTGCTTCC-----------------------------------------------------------------------------ATTCTCA---------A-TGCCAAATCAT---GGAA---ATAAGACTGAACATAGTCATTTGGAATGCTAACGGCCTGCAGAGGAGCAGAGCCGAGGTAGAATACCTTATAAAAACGGAAGCGATTGACATACTCCTTGTATCCGAAACCCATTTTTGTCCCC--------------------------------------------------------SizeHit CountTotal NormTotalM054
Female-body
V113
Male-body
V114
Embryo
V115
Head
........................................................................................................................................................................................................................................................................................................................ATTGACATACTCCTTGTATCCGAAACC.....................................................................27202.304646000
................................GAAAGTATGATGGAAAAAATGTTCTCC.............................................................................................................................................................................................................................................................................................................................................................27200.651311011
................................................................................................................................................................................................................................A---ATAAGACTGAACATAGTCATTTG.............................................................................................................................................................2440.2511000
.........................T--GGTTGAAAGTATGATGGAAAAAATG...................................................................................................................................................................................................................................................................................................................................................................26200.2552021
................................GAAAGTATGATGGAAAAAATGTTCTC..............................................................................................................................................................................................................................................................................................................................................................26200.2044000
................................GAAAGTATGATGGAAAAAATGTTC................................................................................................................................................................................................................................................................................................................................................................24200.1530102
............................................................................................................................................................................................................................................GAACATAGTCATTTGGAATGCT......................................................................................................................................................22200.1022000
........................................................................................................................................................................................................................................................................................................................ATTGACATACTCCTTGTATCCGAAAT......................................................................26200.1022000
..............................................................................................................................................................................................................................................................TGCTAACGGCCTGCAGAGGAGC....................................................................................................................................22170.0611000
.......................................................................................................................................................................................................................................................TTTGGAATGCTAACGGCCTGC............................................................................................................................................21180.0610001
............................................................................................................................................................................................................................................GAACATAGTCATTTGGAATGCTAACGGT................................................................................................................................................28200.0511000
............................................................................................................................................................................................................................................GAACATAGTCATTTGGAATGCTCT....................................................................................................................................................24200.0511000
.............................................................................................................................................................................................................................................AACATAGTCATTTGGAATGCTAACGGC................................................................................................................................................27200.0511000
.......................................................................................................................................................................................................................................................................................................................GATTGACATACTCCTTGTATCCG..........................................................................23200.0511000
........................................................TCCCAA-----------------------------ATGACGCAGCTTATTGCTTCC-----------------------------------------------------------------------------A..........................................................................................................................................................................................................................28200.0511000
...................................................TGTTCTCCCAA-----------------------------ATGACGCAGCTTA................................................................................................................................................................................................................................................................................................................24200.0510010
...............................................................................................................................................................................................................................................CATAGTCATTTGGAATGCTAACGGC................................................................................................................................................25200.0511000
......................................................................................................................................................................................................................................................................................................................CGATTGACATACTCCTTGTATCCG..........................................................................24200.0511000
................................GAAAGTATGATGGAAAAAATGT..................................................................................................................................................................................................................................................................................................................................................................22200.0510010
.........................................................................................................................................................................................................................................................................TGCAGAGGAGCAGAGCCGT............................................................................................................................19200.0510001
............................................................AA-----------------------------ATGACGCAGCTTATTGCTTCC-----------------------------------------------------------------------------A..........................................................................................................................................................................................................................24200.0511000
.........................................................................................................................................................................................................................................................................................................................TTGACATACTCCTTGTATCCG..........................................................................21200.0511000
.............................................................................................................................................................................................................................................AACATAGTCATTTGGAATGCTAAC...................................................................................................................................................24200.0511000
............................................................................................................................................................................................................................................GAACATAGTCATTTGGAATGCTAAT...................................................................................................................................................25200.0511000
...................................................................................................................................................................................................................................................................................................................AAGCGATTGACATACTCCTTGTATCCGAA........................................................................29200.0511000
........................................................TCCCAA-----------------------------ATGACGCAGCTTATTGCTT..........................................................................................................................................................................................................................................................................................................25200.0511000
droYak3
GTTCTGA-T----TTCGA--AAAAAT--G----------------------------------------------------------------------------------------------------------------------------------------------------------------------------------------ATA---------GTCTCAAACCTAAAAATCGGATTATGGAACGCAAGAGGGTTAGTACAGAAGAACGAAGAACTTCGACTTTTTCTTACTGACCACTCTATAGACATCATGCTAATTACTGAAACTCATATGCGCCCTGGACTAAAA------GTATACACTCCAGGCTATGAACAATAT------------TATSizeHit CountTotal NormTotalM026
Head
M043
Female-body
M056
Embryo
V046
Embryo
V052
Head
V058
Head
V120
Male-body
SRR1275488
Male larvae
SRR1275486
Male prepupae
SRR1275484
Male prepupae
GSM1528802
follicle cells
......................................................................................................................................................................................................................................................................................................................................AATTACTGAAACTCATATGCGCCC..........................................................2491.221119100000000
.....................................................................................................................................................................................................................................................................................................................................TAATTACTGAAACTCATATGCGCCC..........................................................2591.221109200000000
..................................................................................................................................................................................................................................................CGGATTATGGAACGCAAGAGGGT...............................................................................................................................................2381.00808000000000
..................................................................................................................................................................................................................................................CGGATTATGGAACGCAAGAGG.................................................................................................................................................2180.88706000010000
.............................................................................................................................................................................................................................................................ACGCAAGAGGGTTAGTACAGAA.....................................................................................................................................2270.86601000050000
..................................................................................................................................................................................................................................................CGGATTATGGAACGCAAGAGGG................................................................................................................................................2280.63505000000000
...............................................................................................................................................................................................................................................................GCAAGAGGGTTAGTACAGAA.....................................................................................................................................2070.57403000010000
...........................................................................................................................................................................................................................................................................GTACAGAAGAACGAAGAACTT........................................................................................................................2170.57402000020000
..................................................................................................................................................................................................................................................CGGATTATGGAACGCAAGAGGGTTAG............................................................................................................................................2680.50404000000000
.............TTCGA--AAAAAT--G----------------------------------------------------------------------------------------------------------------------------------------------------------------------------------------ATA---------GTCTCAAACCT............................................................................................................................................................................2660.50301200000000
..................................................................................................................................................................................................................................................CGGATTATGGAACGCAAGAGGGTT..............................................................................................................................................2480.50404000000000
............................................................................................................................................................................................................................................................................TACAGAAGAACGAAGAACTTCGACT...................................................................................................................2570.43303000000000
......................................................................................................................................................................................................................................AAACCTAAAAATCGGATTATGG............................................................................................................................................................2270.43301000020000
.......................................................................................................................................................................................................................................................TATGGAACGCAAGAGGGTTA.............................................................................................................................................2080.38300000030000
......................................................................................................................................................................................................................................................................................................................................AATTACTGAAACTCATATGCGCCCTGGA......................................................2880.38321000000000
..................................................................................................................................................................................................................................................CGGATTATGGAACGCAAGAG..................................................................................................................................................2080.38303000000000
............................................................................................................................................................................................................................................AAAAATCGGATTATGGAACGCAAGA...................................................................................................................................................2560.33201000010000
.....................................................................................................................................................................................................................................................................................................................................TAATTACTGAAACTCATATGCGCCCT.........................................................2690.33303000000000
........................................................................................................................................................................................................................................................................................................................................TTACTGAAACTCATATGCGCCCT.........................................................2390.33302000010000
...................................................................................................................................................................................................................................CTCAAACCTAAAAATCGGATTATGG............................................................................................................................................................2570.29200000020000
...............................................................................................................................................................................................................................................................GCAAGAGGGTTAGTACAGAAGAACGA...............................................................................................................................2670.29201000010000
................................................................................................................................................................................................................................................................................................CGACTTTTTCTTACTGACCACT..................................................................................................2270.29211000000000
............................................................................................................................................................................................................................................................................TACAGAAGAACGAAGAACTT........................................................................................................................2070.29201000010000
........................................................................................................................................................................................................................................................ATGGAACGCAAGAGGGTTA.............................................................................................................................................1980.25200000020000
....................................................................................................................................................................................................................................................GATTATGGAACGCAAGAGGGTTA.............................................................................................................................................2380.25201000010000
.................................................................................................................................................................................................................................................TCGGATTATGGAACGCAAGAGGG................................................................................................................................................2380.25201100000000
.......................................................................................................................................................................................................................................................................................................................................ATTACTGAAACTCATATGCGCCCT.........................................................2490.22201000010000
......................................................................................................................................................................................................................................................................................................................................AATTACTGAAACTCATATGCGCC...........................................................2390.22210100000000
....................................................................................................................................................................................................................................................................................................................................CTAATTACTGAAACTCATATGCGCC...........................................................2590.22201000010000
.........................................................................................................................................................................................................................................................................................................................................TACTGAAACTCATATGCGCCCT.........................................................2290.22201000010000
.......................................................................................................................................................................................................................................AACCTAAAAATCGGATTATGGA...........................................................................................................................................................2260.17110000000000
...........................................................................................................................................................................................................................................TAAAAATCGGATTATGGAACGCAAGA...................................................................................................................................................2660.17101000000000
..........................................................................................................................................................................................................................................................................................................TTACTGACCACTCTATAGACAT........................................................................................2260.17100000010000
..........................................................................................................................................................................................................................................CTAAAAATCGGATTATGGAA..........................................................................................................................................................2060.17100000010000
...........................................................................................................................................................................................................................................TAAAAATCGGATTATGGAACGCAAGAGG.................................................................................................................................................2860.17100000010000
......................................................................................................................................................................................................................................AAACCTAAAAATCGGATTATGGA...........................................................................................................................................................2360.17100000010000
........................AT--G----------------------------------------------------------------------------------------------------------------------------------------------------------------------------------------ATA---------GTCTCAAACCTAAAAATCGGAT.................................................................................................................................................................2860.17100000010000
...................................................................................................................................................................................................................................................................................................CTTTTTCTTACTGACCACTCTATAGACA.........................................................................................2860.17101000000000
......................................................................................................................................................................................................................................AAACCTAAAAATCGGATTATGGAA..........................................................................................................................................................2460.17100000010000
..........................................................................................................................................................................................................................................CTAAAAATCGGATTATGGAAC.........................................................................................................................................................2160.17100000010000
...........................................................................................................................................................................................................................................................................................................TACTGACCACTCTATAGACATCATGC...................................................................................2660.17101000000000
.....................................................................................................................................................................................................................................................................................................TTTTCTTACTGACCACTCTATAGACA.........................................................................................2660.17101000000000
...............................................................................................................................................................................................................................................AATCGGATTATGGAACGCAAGAGGGT...............................................................................................................................................2660.17100000010000
.....................AAAAT--G----------------------------------------------------------------------------------------------------------------------------------------------------------------------------------------ATA---------GTCTCAAACCTA...........................................................................................................................................................................2160.17101000000000
......................................................................................................................................................................................................................................................................................................TTTCTTACTGACCACTCTATAGACA.........................................................................................2560.17101000000000
.................................................................................................................................................................................................................................GTCTCAAACCTAAAAATCGGATTATGGAA..........................................................................................................................................................2960.17100000010000
...................................................................................................................................................................................................................................CTCAAACCTAAAAATCGGATTATGGA...........................................................................................................................................................2660.17100000010000
........T----TTCGA--AAAAAT--G----------------------------------------------------------------------------------------------------------------------------------------------------------------------------------------ATA---------GTCTCAAACCT............................................................................................................................................................................2760.17110000000000
....TGA-T----TTCGA--AAAAAT--G----------------------------------------------------------------------------------------------------------------------------------------------------------------------------------------ATA---------GTCTCAAACC.............................................................................................................................................................................2960.17100100000000
.....................................................................................................................................................................................................................................CAAACCTAAAAATCGGATTATG.............................................................................................................................................................2270.14100000010000
.......................................................................................................................................................................................................................................................................................GAAGAACTTCGACTTTTTCTTACT.........................................................................................................2470.14110000000000
........................................................................................................................................................................................................................................................................................AAGAACTTCGACTTTTTCTTACT.........................................................................................................2370.14101000000000
.............................................................................................................................................................................................................................................................ACGCAAGAGGGTTAGTACAGAAG....................................................................................................................................2370.14101000000000
......................................................................................................................................................................................................................................................................GGTTAGTACAGAAGAACGAAGAAC..........................................................................................................................2470.14101000000000
.........................................................................................................................................................................................................................................................................................AGAACTTCGACTTTTTCTTACTGACC.....................................................................................................2670.14101000000000
............................................................................................................................................................................................................................................................................TACAGAAGAACGAAGAACTTCGACC...................................................................................................................2570.14100100000000
.....................................................................................................................................................................................................................................CAAACCTAAAAATCGGATTATGG............................................................................................................................................................2370.14100000010000
................................................................................................................................................................................................................................................................CAAGAGGGTTAGTACAGAAGAACGAAG.............................................................................................................................2770.14100000010000
..................................................................................................................................................................................................................................................................AGAGGGTTAGTACAGAAGAACGAAGAA...........................................................................................................................2770.14100000010000
.........................................................................................................................................................................................................................................................................TAGTACAGAAGAACGAAGAACT.........................................................................................................................2270.14100000010000
.............................................................................................................................................................................................................................................................................ACAGAAGAACGAAGAACTT........................................................................................................................1970.14110000000000
................................................................................................................................................................................................................................................................................................CGACTTTTTCTTACTGACCACTCT................................................................................................2470.14101000000000
...........................................................................................................................................................................................................................................................GAACGCAAGAGGGTTAGTACAGAA.....................................................................................................................................2470.14100000010000
............................................................................................................................................................................................................................................................AACGCAAGAGGGTTAGTACAGAAGAACG................................................................................................................................2870.14100000010000
..................................................................................................................................................................................................................................................................................................................CACTCTATAGACATCATGCT..................................................................................2070.14101000000000
...............................................................................................................................................................................................................................................................GCAAGAGGGTTAGTACAGA......................................................................................................................................1970.14100000010000
...............................................................................................................................................................................................................................................................................................................GACCACTCTATAGACATCATG....................................................................................2170.14101000000000
.................................................................................................................................................................................................................................................................AAGAGGGTTAGTACAGAAGAAC.................................................................................................................................2270.14100000010000
...............................................................................................................................................................................................................................................................................................................GACCACTCTATAGACATCATGCT..................................................................................2370.14101000000000
.................................................................................................................................................................................................................................GTCTCAAACCTAAAAATCGG...................................................................................................................................................................2070.14101000000000
...........................................................................................................................................................................................................................................................................GTACAGAAGAACGAAGAACTTC.......................................................................................................................2270.14101000000000
.....................................................................................................................................................................................................................................................................................ACGAAGAACTTCGACTTTTTCTT............................................................................................................2370.14101000000000
.............................................................................................................................................................................................................................................................ACGCAAGAGGGTTAGTACAGAAGAAC.................................................................................................................................2670.14101000000000
.......................................................................................................................................................................................................................................................................GTTAGTACAGAAGAACGAAGA............................................................................................................................2170.14100000010000
............................................................................................................................................................................................................................................................................TACAGAAGAACGAAGAACTTCGACTT..................................................................................................................2670.14101000000000
..............................................................................................................................................................................................................................................................................................TTCGACTTTTTCTTACTGACCACTCTA...............................................................................................2770.14101000000000
...........................................................................................................................................................................................................................................................................GTACAGAAGAACGAAGAACTTCGACT...................................................................................................................2670.14100000010000
.............................................................................................................................................................................................................................................................ACGCAAGAGGGTTAGTACAGAC.....................................................................................................................................2270.14100000010000
...........................................................................................................................................................................................................................................................GAACGCAAGAGGGTTAGTACAGA......................................................................................................................................2370.14101000000000
...................................................................................................................................................................................................................................................................GAGGGTTAGTACAGAAGAACGA...............................................................................................................................2270.14100000010000
...........................................................................................................................................................................................................................................................................................AACTTCGACTTTTTCTTACTGACCAC...................................................................................................2670.14101000000000
...........................................................................................................................................................................................................................................................GAACGCAAGAGGGTTAGTAC.........................................................................................................................................2080.13100000010000
......................................................................................................................................................................................................................................................................................................................................................................AA------GTATACACTCCAGGCTATGAACA...................2580.13101000000000
....................................................................................................................................................................................................................................................GATTATGGAACGCAAGAGGGTTATG...........................................................................................................................................2580.13101000000000
.......................................................................................................................................................................................................................................................TATGGAACGCAAGAGGGTTAGTAC.........................................................................................................................................2480.13100000010000
..................................................................................................................................................................................................................................................................................................................................TGCTAATTACTGAAACTCATATGCGCCC..........................................................2880.13101000000000
.................................................................................................................................................................................................................................................................................................................................................................ACTAAAA------GTATACACTCCAGGCTA.........................2480.13101000000000
................................................................................................................................................................................................................................................................................................................................................................................ATACACTCCAGGCTATGAACAATAT------------...2580.13100000010000
................................................................................................................................................................................................................................................................................................................................................................................ATACACTCCAGGCTATGAACA...................2180.13101000000000
.....................................................................................................................................................................................................................................................ATTATGGAACGCAAGAGGGT...............................................................................................................................................2080.13101000000000
................................................................................................................................................................................................................................................................................................................................................................GACTAAAA------GTATACACTCCAG.............................2180.13101000000000
..................................................................................................................................................................................................................................................CGGATTATGGAACGCAAGA...................................................................................................................................................1980.13100000010000
.........................................................................................................................................................................................................................................................................................................................................TACTGAAACTCATATGCGCCCTGGA......................................................2580.13101000000000
.............................................................................................................................................................................................................................................................................................................................CATCATGCTAATTACTGAAACTCATA.................................................................2680.13101000000000
.....................................................................................................................................................................................................................................................................................................................................................................AAA------GTATACACTCCAGGCTATGAACA...................2680.13101000000000
................................................................................................................................................................................................................................................................................................................................................................................ATACACTCCAGGCTATGAAC....................2080.13101000000000
....................................................................................................................................................................................................................................................GATTATGGAACGCAAGAGG.................................................................................................................................................1980.13100000010000
...............................................................................................................................................................................................................................................................................................................................TCATGCTAATTACTGAAACTC....................................................................2180.13101000000000
.....................................................................................................................................................................................................................................................ATTATGGAACGCAAGAGGGTTA.............................................................................................................................................2280.13100000010000
...........................................................................................................................................................................................................................................................................................................................................................CCCTGGACTAAAA------GTATACACTCCA..............................2580.13101000000000
....................................................................................................................................................................................................................................................GATTATGGAACGCAAGAGGGTT..............................................................................................................................................2280.13101000000000
.............................................................................................................................................................................................................................................................................................................................................GAAACTCATATGCGCCCTGGACT....................................................2380.13101000000000
........................................................................................................................................................................................................................................................................................................................................TTACTGAAACTCATATGCGCCCTGGA......................................................2680.13100000010000
.........................................................................................................................................................................................................................................................................................................................................TACTGAAACTCATATGCGCCCTGGACT....................................................2780.13101000000000
.....................................................................................................................................................................................................................................................ATTATGGAACGCAAGAGGG................................................................................................................................................1980.13100000010000
....................................................................................................................................................................................................................................................GATTATGGAACGCAAGAGGG................................................................................................................................................2080.13101000000000
...................................................................................................................................................................................................................................................GGATTATGGAACGCAAGAGGGTTA.............................................................................................................................................2480.13100000010000
.........................................................................................................................................................................................................................................................TGGAACGCAAGAGGGTTAGTA..........................................................................................................................................2180.13101000000000
...............................................................................................................................................................................................................................................................................................................................................................GGACTAAAA------GTATACACTCCAGGC...........................2480.13101000000000
.................................................................................................................................................................................................................................................................................................................................................................ACTAAAA------GTATACACTCCAGGCTATG.......................2680.13101000000000
...........................................................................................................................................................................................................................................................................................................................................CTGAAACTCATATGCGCCCTGGAC.....................................................2480.13101000000000
.............................................................................................................................................................................................................................................................................................................................................GAAACTCATATGCGCCCTGGACTA...................................................2480.13101000000000
.................................................................................................................................................................................................................................................TCGGATTATGGAACGCAAGAGGGT...............................................................................................................................................2480.13100100000000
...........................................................................................................................................................................................................................................................................................................................................CTGAAACTCATATGCGCCCTGG.......................................................2280.13101000000000
..................................................................................................................................................................................................................................................CGGATTATGGAACGCAAGAGGGC...............................................................................................................................................2380.13100100000000
...................................................................................................................................................................................................................................................................................................................................................................TAAAA------GTATACACTCCAGGCTATGAA.....................2680.13101000000000
................................................................................................................................................................................................................................................................................................................................................................GACTAAAA------GTATACACTCCA..............................2080.13101000000000
......................................................................................................................................................................................................................................................................................................................................AATTACTGAAACTCATATGCGCCCT.........................................................2590.11110000000000
.....................................................................................................................................................................................................................................................................................................................................TAATTACTGAAACTCATATGCGC............................................................2390.11101000000000
.......................................................................................................................................................................................................................................................................................................................................ATTACTGAAACTCATATGCGC............................................................2190.11101000000000
.........................................................................................................................................................................................................................................................................................................................................TACTGAAACTCATATGCGCCC..........................................................2190.11100000010000
..................................................................................................................................................................................................................................................CGGATTATGGAACGCAAGAGGAC...............................................................................................................................................23130.08100100000000
droEre2
CAACAGC--------------------------------------------------------------------------A-GACACAGCAGCAGGG----------------------------------GC-------------------------AAATTCTTAATTTGCTTGCTGCC-------CT----CCAAGCGCAACGATCAACAAT---------ATGATGCCGCTGCGCATTCTAATGTGGAACGCCGATGGCGTTTCCACGAAGCTGCCAGAGCTTGAGTGCTTTGCGCGACAAAATAAGATCGATGTCATACTAATTAGTGAGACTCACTGCCGAGG------AAACTTTGTGCCAAAAATATATGGCTTTGATGCATAT------------CCASizeHit CountTotal NormTotalM055
Female-body
M057
Embryo
V060
Head
V040
Embryo
V107
Male-body
V108
Head
GSM1528801
follicle cells
.................................................................................................................................................................................................................................................................................................................................ATACTAATTAGTGAGACTCACTGCC..............................................................25201.252525000000
.................................................................................................................................................................................................................................................................................................................................ATACTAATTAGTGAGACTCACTGCCGA............................................................27200.801616000000
.................................................................................................................................................................................................................................................................................................................................ATACTAATTAGTGAGACTCACTGC...............................................................24200.601211000100
..................................................................................................................................................................................................................AACAAT---------ATGATGCCGCTGCGC........................................................................................................................................................................21200.60128000310
.................................................................................................................................................................................................................................................................................................................................ATACTAATTAGTGAGACTCACTGCCG.............................................................26200.3577000000
..................................................................................................................................................................................................................AACAAT---------ATGATGCCGCTGCGCAT......................................................................................................................................................................23200.2555000000
....................................................................................................................................................................................................................................................................TGGCGTTTCCACGAAGCTGCCAGAG...........................................................................................................................25200.2550000005
...............................................................................................................................................................................................................ATCAACAAT---------ATGATGCCGCTGCGCAT......................................................................................................................................................................26200.2550000005
.....................................................................................................................................................................................................................................................................................TGCCAGAGCTTGAGTGCTTTGCGCGAC........................................................................................................27200.2040000004
............................................................................................................................................................................................................................................GCGCATTCTAATGTGGAACGCCGAC...................................................................................................................................................25200.2040000004
...................................................................................................................................................................................................................................................................................................TGCTTTGCGCGACAAAATAAGATCGA...........................................................................................26200.2040000004
..................................................................................................................................................................................................................AACAAT---------ATGATGCCGCTGCGCA.......................................................................................................................................................................22200.1533000000
...........................................................................................................................................................................................................................................................................TCCACGAAGCTGCCAGAGCTTGAG.....................................................................................................................24200.1533000000
..................................................................................................................................................................................................................AACAAT---------ATGATGCCGCTGCGCATTC....................................................................................................................................................................25200.1533000000
........................................................................................................................................................................................................................................................................................................................................TTAGTGAGACTCACTGCCGAG...........................................................21200.1532000100
......................................................................................................................................................................................................................................................................................................TTTGCGCGACAAAATAAGATCGATG.........................................................................................25200.1022000000
.................................................................................................................................................................................................................................................TTCTAATGTGGAACGCCGATGGC................................................................................................................................................23200.1022000000
.................................................................................................................................................................................................................................................................................................................................ATACTAATTAGTGAGACTCACTG................................................................23200.1022000000
.............................................................................................................................................................................................................................................................................................................................................................G------AAACTTTGTGCCAAAAATAT................................21200.1022000000
...............................................................................................................................................................................................................ATCAACAAT---------ATGATGCCGCTGCGC........................................................................................................................................................................24200.1022000000
.................................................................................................................................................................................................................................................................................................................................ATACTAATTAGTGAGACTCACTGCCA.............................................................26200.1022000000
.................................................................................................................................................................................................................................................................................................................................ATACTAATTAGTGAGACTCACTGCCT.............................................................26200.1022000000
.............................................................................................................................................................................................................................................................................................CTTGAGTGCTTTGCGCGACAAAATAAGAA..............................................................................................29200.1020000002
..................................................................................................................................................................................TGCC-------CT----CCAAGCGCAACGATC......................................................................................................................................................................................................21200.1022000000
.........................................................................................................................................................................................................................................................................................................................................TAGTGAGACTCACTGCCGAGG------....................................................21200.1022000000
........................................................................................................................................................................................................................................................................................................TGCGCGACAAAATAAGATCGATG.........................................................................................23200.1022000000
...................................................................................................................................................................................................................................................................................................TGCTTTGCGCGACAAAATAAGATCGATG.........................................................................................28200.0511000000
...........................................................................................................................................................................................................................................................................TCCACGAAGCTGCCAGAGCTTGAGT....................................................................................................................25200.0511000000
...................................................................................................................................................................................................................................................................................................................................ACTAATTAGTGAGACTCACTGCCGAGG------....................................................27200.0511000000
.........................................................................................................................................................................................................................................................................TTTCCACGAAGCTGCCAGAGCTTGAGA....................................................................................................................27200.0511000000
..................................................................................................................................................................................................................................................................................................................................................TCACTGCCGAGG------AAACTTTGTGCC........................................24200.0511000000
.........................................................................................................................................................................................................................................................................................AGAGCTTGAGTGCTTTGCGCGACAAAA....................................................................................................27200.0511000000
.............................................................................................................................................................................................................................................................................................CTTGAGTGCTTTGCGCGACAAA.....................................................................................................22200.0511000000
.................................................................................................................................................................................................................................................................................................................................ATACTAATTAGTGAGACTCA...................................................................20200.0511000000
.............................................................................................................................................................................................................................................CGCATTCTAATGTGGAACGCCG.....................................................................................................................................................22200.0511000000
...................................................................................................................................................................................................................ACAAT---------ATGATGCCGCTGCGC........................................................................................................................................................................20200.0511000000
...............................................................................................................................................................................................................................................................................CGAAGCTGCCAGAGCTTGAGTGCTA................................................................................................................25200.0511000000
...............................................................................................................................................................................................................ATCAACAAT---------ATGATGCCGCTGCGT........................................................................................................................................................................24200.0511000000
....................................................................................................................................................................................................................................................TAATGTGGAACGCCGATGGC................................................................................................................................................20200.0511000000
...................................................................................................................................................................................GCC-------CT----CCAAGCGCAACGATC......................................................................................................................................................................................................20200.0511000000
................................................................................................................................................................................................................................................................................................................AAAATAAGATCGATGTCATAC...................................................................................21200.0511000000
.........................................................................................................................................................................................................................................................................TTTCCACGAAGCTGCCAGAGCTTGAG.....................................................................................................................26200.0511000000
....................................................................................................................................................................................................................................................TAATGTGGAACGCCGATGG.................................................................................................................................................19200.0511000000
............................................................................................................................................................................................................................................................................................................................................TGAGACTCACTGCCGAGG------AAACTTTG............................................26200.0511000000
CAACAGC--------------------------------------------------------------------------A-GACACAGCAGCAGGG----------------------------------GC-------------------------.........................................................................................................................................................................................................................................................25200.0511000000
...............................................................................................................................................................................................................................................................................CGAAGCTGCCAGAGCTTGAGTGC..................................................................................................................23200.0511000000
..................................................................................................................................................................................................................................................................................................................................TACTAATTAGTGAGACTCACTGCCG.............................................................25200.0511000000
....................................................................................................................................................................................................................................................TAATGTGGAACGCCGATGGCGTT.............................................................................................................................................23200.0511000000
....AGC--------------------------------------------------------------------------A-GACACAGCAGCAGGG----------------------------------GC-------------------------AAATTC...................................................................................................................................................................................................................................................27200.0511000000
.........................................................................................................................................................................................................................................................................................................................................................CGAGG------AAACTTTGTGCCAAAAATAT................................25200.0511000000
....................................................................................................................................................................................................................................................TAATGTGGAACGCCGATGGCGTTTC...........................................................................................................................................25200.0511000000
...............................................................................................................................................................................................................................................................................CGAAGCTGCCAGAGCTTGAGTG...................................................................................................................22200.0511000000
............................................................................................................................................................................................................................................................................................GCTTGAGTGCTTTGCGCGACAAAA....................................................................................................24200.0511000000
.................................................................................................................................................................................................................................................................................................................................ATACTAATTAGTGAGACTCACTGCCATC...........................................................28200.0511000000
..............................................................................................................................................................................................T----CCAAGCGCAACGATCAACAAT---------ATGA...................................................................................................................................................................................26200.0511000000
.............................................................................................................................................................................................................................................CGCATTCTAATGTGGAACC........................................................................................................................................................19200.0511000000
..................................................................................................................................................................................................................................................................................................................................TACTAATTAGTGAGACTCACTG................................................................22200.0511000000
..................................................................................................................................................................................................................................................................................................................................TACTAATTAGTGAGACTCACTGCCGA............................................................26200.0511000000
...............................................................................................................................................................AAATTCTTAATTTGCTTGCTGCC-------CT----C....................................................................................................................................................................................................................26200.0511000000
.......................................................................................................................................................................................................................................................TGTGGAACGCCGATGGCGTT.............................................................................................................................................20200.0511000000
............................................................................................................................................................................................................................................................................................................................................TGAGACTCACTGCCGAGG------AAA.................................................21200.0511000000
..................................................................................................................................................................................................................AACAAT---------ATGATGCCGCTGCGCATTCTAA.................................................................................................................................................................28200.0511000000
.......................................................................................................................................................................................................................................................................................................TTGCGCGACAAAATAAGATCGATG.........................................................................................24200.0511000000
..................................................................................................................................................................................................................AACAAT---------ATGATGCCGCTGCGCATTCT...................................................................................................................................................................26200.0511000000
......................................................................................................................................................................................................................................................................................................................................................TGCCGAGG------AAACTTTGTGCC........................................20200.0511000000
..........................................................................................................................................................................................................................................................................TTCCACGAAGCTGCCAGAGCTTGAG.....................................................................................................................25200.0511000000
.................................................................................................................................................................................................................................................................................................................................................CTCACTGCCGAGG------AAACTTTG............................................21200.0510000100
...................................................................................GACACAGCAGCAGGG----------------------------------GC-------------------------AAATTCTT.................................................................................................................................................................................................................................................25200.0511000000
...............................................................................................................................................................................................................ATCAACAAT---------ATGATGCCGCTGCGCATA.....................................................................................................................................................................27200.0511000000
.....................................................................................................................................................................................................................................................................................................................................................CTGCCGAGG------AAACTTTGTGCC........................................21200.0511000000
.....................................................................................................................................................................................C-------CT----CCAAGCGCAACGATCAAC...................................................................................................................................................................................................21200.0510100000
...............................................................................................................................................................................................................ATCAACAAT---------ATGATGCCGCTGCG.........................................................................................................................................................................23200.0510001000
......................................................................................................................................................................................................................................................................................................................................AATTAGTGAGACTCACTGCCG.............................................................21200.0511000000

Generated: 05/17/2015 at 11:10 PM