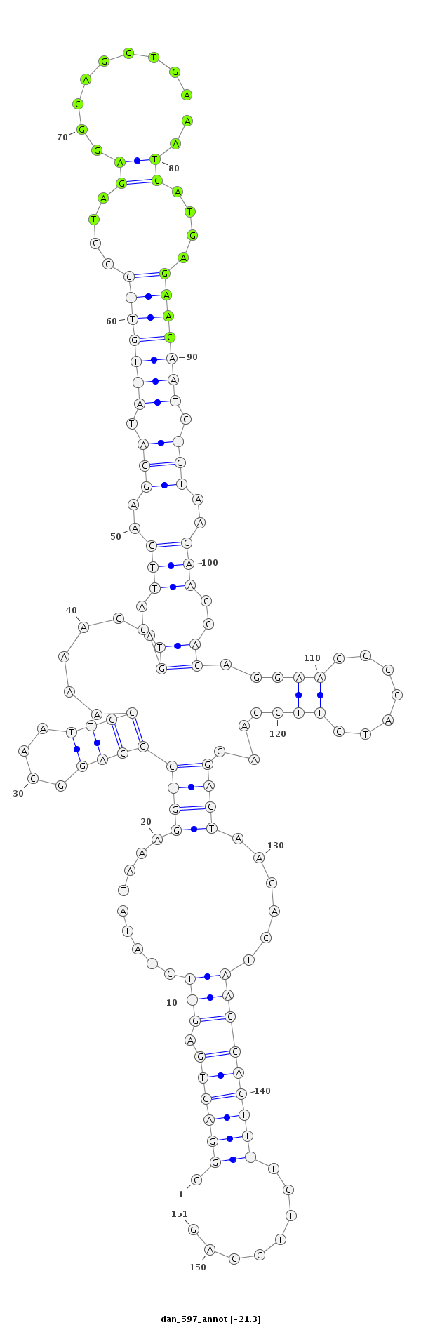
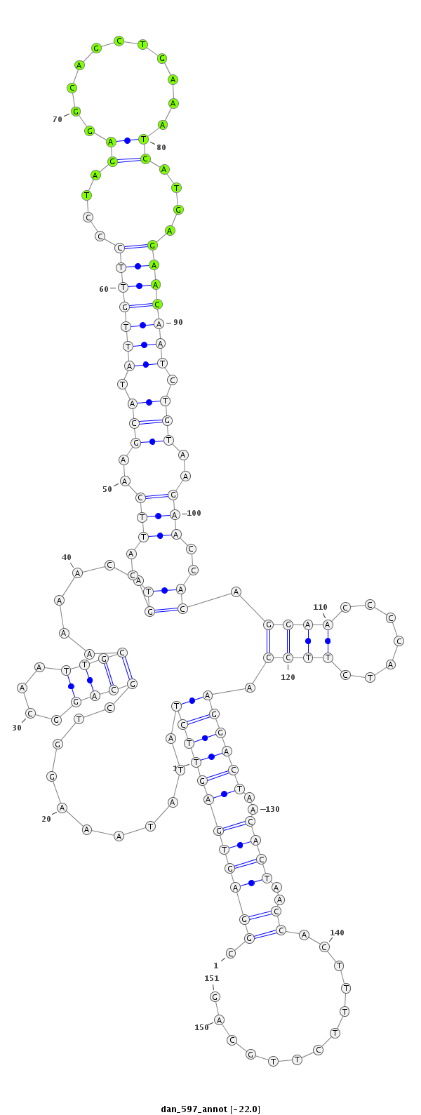
ID:

dan_597

Coordinate:

scaffold_12916:8047356-8047506 -

Confidence:

Candidate

Type:

Unknown

[View on UCSC Genome Browser {Cornell Mirror}]
Legend: mature star mismatch in alignment mismatch in read

Predicted structure

-21.7 -21.5 -21.3

Flybase annnotation

exon [dana_GLEANR_15269:2]; CDS [Dana\GF14507-cds]; intron [Dana\GF14507-in]

No Repeatable elements found

Sense Strand Reads

---------------------------------------------------------------------------------------------------------------------------------------------------------------------------------------------------------##################################################
CCGCTCAATATATCAAAATTAGAGTCTTCACCCAAAATTTCGCCTCTTATCGGAGTGAGTTCTATATAAAGGTCGCAGGCAATTGCAAAACAGTCATTCAAGCATATTGTTCCCTAGAGGCAGCTGAAATCATGAGAACAATCTGTAAGAACCACAGGAACCCCATCTTCCAAGGACTAACACTAACCACTTTTCTTGCAGTACTTGTGAGCGCCCTTTTCGTGGCCAGCATCAATGCCGCCAGCATTCAG
**************************************************.((((((((((((...........((((....))))......((..(((..(((.(((((((....((...........))....))))))).)))..)))..)).((((.......)))).))))))..))))..)).............**************************************************
Read size # Mismatch Hit Count Total Norm Total M058
embryo
V039
embryo
M044
female body
V105
male body
V055
head
..................................................................................................................TAGAGGCAGCTGAAATCATGAGAAC................................................................................................................ 25 0 1 3.00 3 2 1 0 0 0
.......................................................................................................................................................................................................CTTACTTGTGAGCGCCCTTTTCGT............................ 24 2 1 2.00 2 2 0 0 0 0
..............................................................................................................TCCCTAGAGGCAGCTGAAATCATGAG................................................................................................................... 26 0 1 2.00 2 2 0 0 0 0
......................................................................................................................GGCAGCTGAAATCATGAGAAC................................................................................................................ 21 0 1 2.00 2 2 0 0 0 0
.............................................................................................................................................................................................................................GGGGCCAGCATCAATGCCGC.......... 20 1 1 1.00 1 1 0 0 0 0
.......................................................................................................................GCAGCTGAAATCATGAGAAC................................................................................................................ 20 0 1 1.00 1 1 0 0 0 0
.............................................................................................................................................................................................................TGTGAGCGCCCTTTTCGTGGCC........................ 22 0 1 1.00 1 1 0 0 0 0
..............................................................................................................TCCCTAGAGGCAGCTGAAATCATGAGA.................................................................................................................. 27 0 1 1.00 1 1 0 0 0 0
..............................................................................................................................................................................................................GGGAGCGCCCTTTTCGTGGCCAGCATC.................. 27 1 1 1.00 1 1 0 0 0 0
.................................................................................................................CTAGAGGCAGCTGAAATC........................................................................................................................ 18 0 1 1.00 1 1 0 0 0 0
...............................................................................................................CCCTAGAGGCAGCTGAAATCATGAGA.................................................................................................................. 26 0 1 1.00 1 1 0 0 0 0
.............................................................................................................................................................................................................................GTGTCCAGCATCAATGCCGCCAGC...... 24 1 1 1.00 1 1 0 0 0 0
.............................................................................................................................................................................................................................GTGGCCAGCATCAATGCCGCC......... 21 0 1 1.00 1 1 0 0 0 0
..................................................................................................................................................................................................................GCGCCCTTTTCGTGGCCAGCATCAATGC............. 28 0 1 1.00 1 1 0 0 0 0
..............................................................................................................TCCCTAGAGGCAGCTGAAAT......................................................................................................................... 20 0 1 1.00 1 0 1 0 0 0
.....................................................................................................................AGGCAGCTGAAATCATGAGAAC................................................................................................................ 22 0 1 1.00 1 1 0 0 0 0
...................................................................................................................AGCTGCAGCTGAAATCATGAGAAC................................................................................................................ 24 2 1 1.00 1 1 0 0 0 0
...............................................................................................................CCCTAGAGGCAGCTGAAATCATGA.................................................................................................................... 24 0 1 1.00 1 1 0 0 0 0
...............................................................................................................................................................................................................................GGCTAGCATCAATGCCGCCAGC...... 22 1 1 1.00 1 1 0 0 0 0
.........................................................................................................................................................................................................................TTTCGTGGCCAGCATCAATGCCGCCA........ 26 0 1 1.00 1 1 0 0 0 0
............................................................................................................GTTCCCTAGAGGCAGCTGAAATC........................................................................................................................ 23 0 1 1.00 1 1 0 0 0 0
...................................................................................................AAGCATATTGTTCCCTAGAGGC.................................................................................................................................. 22 0 1 1.00 1 1 0 0 0 0
..................................................................................................................................................................................................................................CAGCATCAATGCCGCCAGC...... 19 0 1 1.00 1 1 0 0 0 0
...................................................................................................AAGCATATTGTTCCCTAGAGGCA................................................................................................................................. 23 0 1 1.00 1 1 0 0 0 0
....................................................................................................ATAATATTGTTCCCTAGAGGCAGCTGA............................................................................................................................ 27 2 1 1.00 1 1 0 0 0 0
..............................................................................................................TCCCTAGAGGCAGCTGAAATC........................................................................................................................ 21 0 1 1.00 1 0 1 0 0 0
.......................................................................................................................................................................................................CGTTCTTGTGAGCGCCCTTTTCGT............................ 24 2 1 1.00 1 1 0 0 0 0
..........................................................................................................TTTTTCCCTAGAGGCAGCTGA............................................................................................................................ 21 1 1 1.00 1 1 0 0 0 0
..................................................................................................................................................................................................................................CAGCATCAATGCCGCCAGCATTC.. 23 0 1 1.00 1 1 0 0 0 0
...........................................................................................................................................................................................................CGTGTGAGCGCCCTTTTCGTGGCCAGC..................... 27 1 1 1.00 1 1 0 0 0 0
.....................................................................................................................AGGCAGCTGAAATCATGA.................................................................................................................... 18 0 1 1.00 1 0 1 0 0 0
......................................................................................................................................................................................................................CCTTTTCGTGGCCAGCATC.................. 19 0 1 1.00 1 1 0 0 0 0
.................................................................................................................CTAGAGGCAGCTGAAATCATGAGAAC................................................................................................................ 26 0 1 1.00 1 1 0 0 0 0
.....................................................................................................GGATATTGTTCCCTAGAGGC.................................................................................................................................. 20 1 1 1.00 1 1 0 0 0 0
....................................................................................................AGCATATTGTTCCCTAGAGGCAGCC.............................................................................................................................. 25 1 1 1.00 1 1 0 0 0 0
...............................................................................................................CCCTAGAGGCAGCTGAAAT......................................................................................................................... 19 0 1 1.00 1 1 0 0 0 0
..............................................................................................................................................................................................................GTGTGCGCCCTTTTCGTGGCCAGC..................... 24 1 1 1.00 1 1 0 0 0 0
...................................................................................................................AGAGGCAGCTGAAATCATGAGAAC................................................................................................................ 24 0 1 1.00 1 0 1 0 0 0
.............................................................................................................................................................................................................................GTGGCCAGCATCAATGCCGCCAGC...... 24 0 1 1.00 1 1 0 0 0 0
...........................................................................................................................................................................................................CTTGTGAGCGCCCTTTTCGTGGCCAGC..................... 27 0 1 1.00 1 1 0 0 0 0
..............................................................................................................................................................................................................GTGAGCGCCCTTTTCGTGGCCAGC..................... 24 0 1 1.00 1 1 0 0 0 0
......................................................................................................................GACAGCTGAAATCATGAGAAC................................................................................................................ 21 1 1 1.00 1 1 0 0 0 0
........................................................................................................TATTGTTCCCTAGAGGCAGC............................................................................................................................... 20 0 1 1.00 1 1 0 0 0 0
....................................................................................................................................................................................CATTAACCAGTTTTCATGCAGT................................................. 22 3 3 0.67 2 0 0 1 1 0
................................................................GAAAAAGGTCGCAGGCAA......................................................................................................................................................................... 18 2 9 0.11 1 0 1 0 0 0
........................................................................................................................................................................................................................................CAGTGCGGCCAGCATTCA. 18 2 13 0.08 1 0 0 0 0 1
............TGAAAATTAGAGTGTTCA............................................................................................................................................................................................................................. 18 2 13 0.08 1 0 0 1 0 0
...............................................................................................................................................AGTAAGAACGACAGGAACCA........................................................................................ 20 3 15 0.07 1 1 0 0 0 0
..................................................................................................................................................AAGAACCACAAGAACCCGA...................................................................................... 19 2 20 0.05 1 1 0 0 0 0

Anti-sense strand reads

GGCGAGTTATATAGTTTTAATCTCAGAAGTGGGTTTTAAAGCGGAGAATAGCCTCACTCAAGATATATTTCCAGCGTCCGTTAACGTTTTGTCAGTAAGTTCGTATAACAAGGGATCTCCGTCGACTTTAGTACTCTTGTTAGACATTCTTGGTGTCCTTGGGGTAGAAGGTTCCTGATTGTGATTGGTGAAAAGAACGTCATGAACACTCGCGGGAAAAGCACCGGTCGTAGTTACGGCGGTCGTAAGTC
**************************************************.((((((((((((...........((((....))))......((..(((..(((.(((((((....((...........))....))))))).)))..)))..)).((((.......)))).))))))..))))..)).............**************************************************
Read size # Mismatch Hit Count Total Norm Total V039
embryo
V055
head
M058
embryo
V106
head
V105
male body
.........................................................................................................................................TGTTGGGCATGCTTGGTGTCC............................................................................................. 21 3 1 1.00 1 1 0 0 0 0
.........................................................................................AGTGAGTGAGTTCGTATAACA............................................................................................................................................. 21 3 4 0.25 1 0 1 0 0 0
.......................CCGATGTGGGTTTTAAAG.................................................................................................................................................................................................................. 18 2 13 0.23 3 0 1 2 0 0
.........................................................................................................................................................TGTGCTTGGGGTAGAGGG................................................................................ 18 2 5 0.20 1 1 0 0 0 0
.......................................................................................................................................................GGTGTGCTTGGGGTAGAG.................................................................................. 18 2 7 0.14 1 0 1 0 0 0
........................CGATGTGGGTTTTAAAGC................................................................................................................................................................................................................. 18 2 8 0.13 1 0 0 0 1 0
...................ATGTCCGATGTGGGTTTTAA.................................................................................................................................................................................................................... 20 3 13 0.08 1 0 0 1 0 0
..........................................AGAGAATAGCCTCGCTAAAG............................................................................................................................................................................................. 20 3 13 0.08 1 0 1 0 0 0
..............................................................................................................................................................TTTGGGTAGAAGGTTCGTGG......................................................................... 20 3 13 0.08 1 0 0 0 0 1
...................ATCACCGATGTGGGTTTTAA.................................................................................................................................................................................................................... 20 3 13 0.08 1 0 0 1 0 0
......................CCAGATGTGGGTTTTAAA................................................................................................................................................................................................................... 18 2 13 0.08 1 0 0 1 0 0
.....................................................................................................................................................................................TGATTGGTGATAAGAAGG.................................................... 18 2 14 0.07 1 0 1 0 0 0
.................AAATCTCACACGTGGGTTTT...................................................................................................................................................................................................................... 20 3 15 0.07 1 0 1 0 0 0
...............................................................................................TTAGTTCGTTTAACAATGGA........................................................................................................................................ 20 3 17 0.06 1 0 0 1 0 0
........................................................................................................................................TCGTTAGACATACTGGGTG................................................................................................ 19 3 19 0.05 1 1 0 0 0 0
...................AAGACAGAAGTGGGTTTTAA.................................................................................................................................................................................................................... 20 3 20 0.05 1 0 0 1 0 0
................................................................................................................................................................................GAGTGTGATTGGGGAAGAG........................................................ 19 3 20 0.05 1 0 1 0 0 0

Re-alignment of all predicted orthologs

Species Coordinate ID Alignment
droAna3 scaffold_12916:8047306-8047556 - dan_597 CCGC--------------TCAATATATCAAAATTAGAGTCTTCACCCAAAA---------------------------------------------------------------------TTTCGCCTCTTATCGGAGTGAGTTCTATATAAAGGTCGCAGGCAATTGCAAAACAGTCATTCAAGCATATTGTTCCC--TAGAGG--------------------------------------------------------CAGCTGA---A---ATCATGAGAACAATCTGTA-AGAACCA---------CAGGAACCC-----------------------------CA-----------------------------TCTTCCAAGGACTAA-CACTA-ACCA----------C--TT--TTCTTGCAGTACTTGTGAG---CGCCCTTTTCGTGGCCAGCATCAATGCCGCCAGCATT---------------------CAG
droBip1 scf7180000396554:661182-661470 - CCGC--------------TCAATATATCAAAATTAGAGAATTCGCCCAAAATGCATAAGTACCTGCCGCTT---TTTTATCAGAAAA------------AAG------------------TTACGCACCTTATCGGAATGATTTCTATATAAAGGTCGCGGGGAATTGCAAAAGAGTCATTCAAGCACATTGTTCCA--TAGT--------------------------------------------------------AGCAGCTGA---AACCATG---AGAACAATCTGTA-AGAACCA---------CAGGAATCC-----------------------------CA-----------------------------ACATCCAAGGACTAA-TACTA-ACCA----------CTACT--TCTTTACAGTACTTGTGAGC---GCCCTTTTCGTGGCAAGTATCAACGCCGCCAGCATT---------------------CAG
droKik1 scf7180000302136:10569-10920 - CCAA------------AATCAA--------------GGTCGCCGCCAAAGGCAG---AGTAAGTGCACTTTCTATACAACAGAAATACTGATAAGGC--CAGTAAATGGAGTAGAGGTACATCCATATCAACTGAGAGAGGCTTTCATATAAAAACTGGCGACTCTTGCGAAACCGTCATTCGAGCCCATTGCTCCC--TACAAGTCTA-CCG-----C----------AGCT-TCCAGAAGCAACA---CGAAGGAATAGCTGCCAA---CAGAATGAACAGTGCAATAGGTA-TGAACTC---------AAGGACCTCGGACCCTCCAGGTCGAA------------------------------------------------CGAAGACTAA-------CCCG----------TCTCC--CTCTTCCAGTGCTTGCCTGCGTCGCCATTTTGGTGGCGAGCACCAGTGCAGCCAGTCTG---------------------CAG
droFic1 scf7180000453932:713990-714344 + TCGAGTAACCATCAAAAATCAC--------------GGTTACCGCCGAAGACGCAGTAGTATCTACCCTAT-CAATTTATCGAAATAAAGATAAGGGGGAAG------------------ACATAGCTTTTTTCACAAATGGCTTCATATAAAAGCAAGC-ACACTTGCGAAACAGTCAGTCAAGCCTATCGGTCTG--TACACGACCTACTATTGTTCAAGCTT-GGTAGTG-AAAAGGATCCCCG---AAAAGGAATAGCTGCCGA--CAATAATGAAATTTGCGATAGGTA-TAAAGTC---------AAGAGGATTGCA---------------------------------------------------------A-TACCCAGAAATAA-------CCCC----------TCCTG--ATCTTTCAGTAATTGCCTGTGCCGCCGTTTTGGTGGCCAGCATGGATGCAGCCAGCGTG---------------------CAG
droEle1 scf7180000486799:11631-11973 + ATGAG-------------TAAC--------------CAT-CGCGCACAAGGCATAATAGTATCTGCCCAAT-CTTTTTATCGAAATAGCGATAAGGG--GAG------------------ATACCTGGCTTTTGA----------CATATAAAGACCAGC-GCACTTGCGACACATTCATTCAAGCTTATTGCTCTG--TACTAGACTTATTGTTTTGCAAGCATAGATAGTA-ACTAGTATCCTAA---CACTGGAATAGCTGCAGT---TGGAATGAATTCATCAATAGGTA-CGAATCG------AAAAAG-------AACCCTACAGCCGAATC-----------TA-----------------------------CCAACAAAGGACTAA-------GACA----------TCTTT--CCCTTACAGTAATTGCCTGTGTCGCCGTTTTGGTGGCCAGCATTAACGCCGCTAGTGTG---------------------CAG
droRho1 scf7180000768908:4224-4569 + T-----------------------------------------CGCCCAAGGCGTAGTTGTATCTGGCCCAT-CTATCAATCAAAATACCGATAACGG--TAG------------------ATATCAATTTTGTGACAAAGGGCTTCATATAAAGGCCAGC-GCACTTGCGACACATTCATTCAAGCTTATTGGTCTG--TGCAAGTCTTATTATTGTGCAAGCATAAGAAGTA-CCAAGGAGCCTCA---CAAAGGAATAGCTGACAT---TAGAATGAATTTTTTAATAGGTA-TGACTCGGAAAAATTCTAA-------AAAGCCGCAGCCGAAAC-----------CG-----------------------------CGAACAAAGGACTAA-------CACA----------TCTCT--CACTTACAGTACTTGCCTGCGCTGCACTTTTGGTGGCCAGCACCAATGCCGCCAGTGTA---------------------CAG
droTak1 scf7180000413278:1157-1492 + CCGC--------------ACAC---------------------------GATACAATAGTATGGGCCTCAT-CAATTTATCGAAAACCAGATAAGGGAGGAG------------------ATACTCGTATTGTGACAAAGGGCTTCATATAAAAGACAGT-CGACTTGCGAAACAGTCATTAAAGCTTATTGGTCTG--TACAAGACTTATAATTGTGCAAGCTTAGGCAGTTGAAAAGAAGGACCA---AAGAGGAATATTTTCTAG---TAGAATGAAATTTGTCATAGGTA-AGTAACAGATAAATTTGTG-------CACTTT--C---------------------------------------------------ACTCGAAGGTGTTA-------ACCA----------TCACA--TCCTTGCAGTAATTGCCTGCGTCGCCCTTTCGGTGGTCGGTATCAATGCCGCCAGCGTG---------------------CAG
droEug1 scf7180000409676:388443-388774 - C-----------------------------------------CGCCCAAGACGCAATAGTGTGTGGCCTG-----TCTATCAAAAACTCGATAAGGG--GAG------------------ATACTCATCTTGAGACAAAGGGCTTCATATAAAAGACTGT-GCACTTGCAAAACAGTCATTAAAGCGTGTTCGTCAG--CACGAGACTT---ATTGTGCAAGCTTAAATAATA-CAAAGGAACTCTA---AACAGGAATAGCTGCCGA---CAAAATGAAAGTTGCCTTTGGTA-TGAAAGGGATACAGTTAAG-------GAGTCTGAAGACGA-----------------------------------------------CACTAAGGACTAA-------ACCA----------TCTTT--TCCTTCCAGTAATTGCCTGTGCCGCCCTTTTCGTGGCTAGCATCAGTGCCGCTAGTGTG---------------------CAG
dm3 chr2L:6151859-6152179 + ATGA--------------TCAC--------------GCT-TCCGCCAAAGTCGCAATAGTATGTT-CATAT-ATTTTTTTCGTGACTCCGATAAGGT----------------------------------GTGACAAAGTGCTTCATATAAAAGGCGGT-GCACTTGCGAAACAATCATTACAGCTTATTGGTCTG--TACAAGACTTAATATTGTGCAAGC------------AAAGGAGTCGCA---AAGAGGAACAGCTGTCCA---TAGAATGAAATACGCCATAGGTAACGA-----ATTTGTTTGTG-------CACCCTATAGACCGA-----------------------------------------------ACCAAGGACTAA-------ACCA----------TCTTA--TTCTTGCAGTAATTGCATGTGCCGCCCTTGCGGTGGCCAGCATCAATGCCGCCAGTGTG---------------------CAG
droSim2 2l:5947601-5947937 + ATGA--------------TCAC--------------GCT-TCCGCCAAAGTCGCAATAGTATGTT-CCAAT-ATTTTTGTCGAAATTTCGATAAGGT----------------------------------GTGACACAGTGCTTCATATAAAAGGCGGT-GCACTTGCGAAACAATCATTACAGCTTATTGGTCTG--TACAAGACTTAATATTGTGCAAGC------------AAAGGAGTCGCA---AAAAGGAATAGCTGTCTA---TAGAATGAAATACGCCATAGGTAACGA-----ATTTGTTTGTG-------CACCCTATAGACCGAAG-----------CG-----------------------------TCTACCAAGGACTAA-------ACAA----------TCTTA--TTCTTGCAGTAATTGCCTGTGCCGCCCTTGCGGTGGCCAGCATCAATGCCGCCAGTGTGCCGGGC------------GTGCAG
droSec2 scaffold_5:4222265-4222615 + ATGA--------------TCAC--------------GCT-TCCGCCAAAGTCGCAATAGTATGTT-CCAAT-ATTTTTGTGGAAATACCGATAAGGT----------------------------------GTGACAAAGTGCTTCATATAAAAGGCGGT-TCACTTGCGAAACAATCATTACAGCTTATTGGTCTGTGTACAAGACTTAATATTGTGCAAGC------------AAAGGAGTCGCA---AAAAGGAATAGCTGTCTA---TAGAATGAAATACGCCATAGGTAACGA-----ATTTGTTTGTG-------CACCCTATAGACCGAAG-----------CG-----------------------------TCTACCAAGGACTAA-------ACCA----------TCTTA--TTCTTGCAGTAATTGCCTGTGCCGCCCTTGCGGTGGCCAGCATCAATGCCGCCAGTGTGCCGGGCGTGCATCCGGGCGTGCAG
droYak3 2L:6760633-6760956 - ATGA--------------TCAC--------------GCTTTCCGCCAAAGTCGCAATAGTATGTTTCCTTA-AATTTTGTCGAAACTCTGATAAGGC----------------------------------ACAACAAACTGCTTCATATAAAAGGCGGT-GCACTTGCGAAACAGTCATTACAGCTTATTGGTCTG--TACAAGAATTATTATTGTGCAAAC------------AAAGGAGTCGCA---AAAAGGAATAGCTGTCGA---TAGAATGAAATTTGCCACAGGTAACGA-----ATTTGTTTGTG-------C--TCTATAGACCAAAG-----------C---------------------------------GCCAAGGACTAA-------CCCA----------TCTTA--TCCTTACAGTAATTGCCTGTGCTGCCCTCTGGGTAGCCAGCATCAATGCCGCCAGTGTG---------------------CAG
droEre2 scaffold_4929:15077955-15078284 + ATGA--------------TCAC--------------GCTATCCGCCAAAGTCGCAATAGTATTTTTCCTAT-ATTTTTGTCGAAACTCCGATAAGGT----------------------------------GTGATAAAGTGCTTCATATAAAAGGGGGT-GCACTTGCGAAACAGTCATTACAGTTTATTGTTCGG--TACAAGACTTATTATTGTGCAAGC------------AAAGGAGCTGCA---AAAAGGAATAGCTGTCGA---TAGAATGAAATTGGCCATAGGTAACGA-----ATTTGTTTGTG-------CAGTCTATAGACCAAAG-----------CG-----------------------------TCTGCCAAGGACTAA-------ACCA----------TCTTA--TTCTTGCAGTAATTGCCTGTGCCGCCCTTTCGGTGATCGGCATCAATGCCGTTAGTGTG---------------------CAG
dp5 4_group1:428-691 - AAAG--------------------------------------------------------------------------------------------------------------------ATACGCATCTTCCGTGCGAGGCCTCTGTATAAAAGCCAGCGGCACTTGCGAAACAGTCATTCCAGTACAGCACTTTG--TACA--------------GCAAGA------AG---AACAGAACCCGCACTCAAAAGGAATAGCTGCCAAACTAAGAATGAAGAGCACATTCGGTA-TGAATCT---------CGGA--------CTAT-------------------------------------------TTGCTGCCCAA-CAGCAAGGACTAA-------CCCA-------CA-TCCTAACCCATTGCAGTAATTGCCTGTGCCGCCATCCTGGTGGCCAGTATCAGTGCCGCCAGCGTG------------------------
droPer2 scaffold_1:1-37 - T-----------------------------------------------------------------------------------------------------------------------------------------------CTGTATAAAAGCCAGCGGCACTTGCGAAACAGTCAT--------------------------------------------------------------------------------------------------------------------------------------------------------------------------------------------------------------------------------------------------------------------------------------------------------------------------------------
droWil2 scf2_1100000004521:7597346-7597461 - ATGA--------------AAAC--------------AAT----------------------------------------------------------------------------------------------------------------------------------------------------------------------------------------------------------------------TGGAATAAATGCCGT----------------------------------------------------------------------------------------------------------------------AAGGATCAAACACTAACCCG-------CAAGTATT--CTCTTTCAGCTCTTGCCTGTCTGGCCGTTTTGGTGGCCACCATCGGTGCTGCCAAAATT---------------------CAA
droVir3 scaffold_10051:812-905 - C-------------------------------------------------------------------------------------------------------------------------------------------------------------------------------------------------------------------------------------------------------------------------------------------------------------------------------------------------------------------------------------------------AAGGACTAA-CCCTA-CCTATATCCGTT--TAACC--CCTTTCTAGTCCTTACCTGCCTGGCTCTACTGGTGGCCACCACGGGTGCCGCCAACATA---------------------AGG
droMoj3 scaffold_6500:13442212-13442413 - TTTG------------TATCAA--------GTTCGAA------GCCCCAG----------------------------------------------------------------------------------------------------------------CAAAAGCA----------------------------------------------------------------------------A---AACAGGAATAGCTGTCC------------------------------------------------------CGCTCTCTCGGCCGATTGAAGATGAGAGCCCATTACGGTATGTGGGCACTTGCAAC---ACCATCAAGGACTTA-------ACTATAAATGTCTGATCTC--GTCTTTTAGTCCTTGCCTGCCTGGCTGTTTTGGTGGCTACCACTGGAGCCGCCAACATA---------------------CGA
droGri2 scaffold_15252:2706310-2706370 - ----------------------------------------------------------------------------------------------------------------------------------------------------------------------------------------------------------------------------------------------------------------------------------------------------------------------------------------------------------------------------------------------------------------------------------------TCTTACAGTCCTTGCCTGCCTGGCTCTTCTGGTGGCCACCACCAGTGCTGCCAATATA---------------------AGA

Re-alignment of all predicted orthologs with sRNA reads

Species Read alignment
droAna3
CCGC--------------TCAATATATCAAAATTAGAGTCTTCACCCAAAA---------------------------------------------------------------------TTTCGCCTCTTATCGGAGTGAGTTCTATATAAAGGTCGCAGGCAATTGCAAAACAGTCATTCAAGCATATTGTTCCC--TAGAGG--------------------------------------------------------CAGCTGA---A---ATCATGAGAACAATCTGTA-AGAACCA---------CAGGAACCC-----------------------------CA-----------------------------TCTTCCAAGGACTAA-CACTA-ACCA----------C--TT--TTCTTGCAGTACTTGTGAG---CGCCCTTTTCGTGGCCAGCATCAATGCCGCCAGCATT---------------------CAGSizeHit CountTotal NormTotalM044
Female-body
M058
Embryo
V039
Embryo
V055
Head
V105
Male-body
V106
Head
.......................................................................................................................................................................................................TAGAGG--------------------------------------------------------CAGCTGA---A---ATCATGAGAAC............................................................................................................................................................................................................................2513.003021000
.................................................................................................................................................................................................TCCC--TAGAGG--------------------------------------------------------CAGCTGA---A---ATCATGAG...............................................................................................................................................................................................................................2612.002020000
...........................................................................................................................................................................................................GG--------------------------------------------------------CAGCTGA---A---ATCATGAGAAC............................................................................................................................................................................................................................2112.002020000
............................................................................................................................................................................................................G--------------------------------------------------------CAGCTGA---A---ATCATGAGAAC............................................................................................................................................................................................................................2011.001010000
....................................................................................................................................................................................................................................................................................................................................................................................................................................................TGTGAG---CGCCCTTTTCGTGGCC.............................................2211.001010000
.................................................................................................................................................................................................TCCC--TAGAGG--------------------------------------------------------CAGCTGA---A---ATCATGAGA..............................................................................................................................................................................................................................2711.001010000
....................................................................................................................................................................................................C--TAGAGG--------------------------------------------------------CAGCTGA---A---ATC....................................................................................................................................................................................................................................1811.001010000
..................................................................................................................................................................................................CCC--TAGAGG--------------------------------------------------------CAGCTGA---A---ATCATGAGA..............................................................................................................................................................................................................................2611.001010000
.......................................................................................................................................................................................................................................................................................................................................................................................................................................................................GTGGCCAGCATCAATGCCGCC..............................2111.001010000
.........................................................................................................................................................................................................................................................................................................................................................................................................................................................G---CGCCCTTTTCGTGGCCAGCATCAATGC..................................2811.001010000
.................................................................................................................................................................................................TCCC--TAGAGG--------------------------------------------------------CAGCTGA---A---AT.....................................................................................................................................................................................................................................2011.001001000
..........................................................................................................................................................................................................AGG--------------------------------------------------------CAGCTGA---A---ATCATGAGAAC............................................................................................................................................................................................................................2211.001010000
..................................................................................................................................................................................................CCC--TAGAGG--------------------------------------------------------CAGCTGA---A---ATCATGA................................................................................................................................................................................................................................2411.001010000
...................................................................................................................................................................................................................................................................................................................................................................................................................................................................TTTCGTGGCCAGCATCAATGCCGCCA.............................2611.001010000
...............................................................................................................................................................................................GTTCCC--TAGAGG--------------------------------------------------------CAGCTGA---A---ATC....................................................................................................................................................................................................................................2311.001010000
......................................................................................................................................................................................AAGCATATTGTTCCC--TAGAGG--------------------------------------------------------C....................................................................................................................................................................................................................................................2211.001010000
............................................................................................................................................................................................................................................................................................................................................................................................................................................................................CAGCATCAATGCCGCCAGC...........................1911.001010000
......................................................................................................................................................................................AAGCATATTGTTCCC--TAGAGG--------------------------------------------------------CA...................................................................................................................................................................................................................................................2311.001010000
.................................................................................................................................................................................................TCCC--TAGAGG--------------------------------------------------------CAGCTGA---A---ATC....................................................................................................................................................................................................................................2111.001001000
............................................................................................................................................................................................................................................................................................................................................................................................................................................................................CAGCATCAATGCCGCCAGCATT---------------------C..2311.001010000
..........................................................................................................................................................................................................AGG--------------------------------------------------------CAGCTGA---A---ATCATGA................................................................................................................................................................................................................................1811.001001000
................................................................................................................................................................................................................................................................................................................................................................................................................................................................CCTTTTCGTGGCCAGCATC.......................................1911.001010000
....................................................................................................................................................................................................C--TAGAGG--------------------------------------------------------CAGCTGA---A---ATCATGAGAAC............................................................................................................................................................................................................................2611.001010000
.......................................................................................................................................................................................AGCATATTGTTCCC--TAGAGG--------------------------------------------------------CAGCC................................................................................................................................................................................................................................................2511.001010000
..................................................................................................................................................................................................CCC--TAGAGG--------------------------------------------------------CAGCTGA---A---AT.....................................................................................................................................................................................................................................1911.001010000
........................................................................................................................................................................................................AGAGG--------------------------------------------------------CAGCTGA---A---ATCATGAGAAC............................................................................................................................................................................................................................2411.001001000
.......................................................................................................................................................................................................................................................................................................................................................................................................................................................................GTGGCCAGCATCAATGCCGCCAGC...........................2411.001010000
..................................................................................................................................................................................................................................................................................................................................................................................................................................................CTTGTGAG---CGCCCTTTTCGTGGCCAGC..........................................2711.001010000
.....................................................................................................................................................................................................................................................................................................................................................................................................................................................GTGAG---CGCCCTTTTCGTGGCCAGC..........................................2411.001010000
...........................................................................................................................................................................................TATTGTTCCC--TAGAGG--------------------------------------------------------CAGC.................................................................................................................................................................................................................................................2011.001010000
droBip1
CCGC--------------TCAATATATCAAAATTAGAGAATTCGCCCAAAATGCATAAGTACCTGCCGCTT---TTTTATCAGAAAA------------AAG------------------TTACGCACCTTATCGGAATGATTTCTATATAAAGGTCGCGGGGAATTGCAAAAGAGTCATTCAAGCACATTGTTCCA--TAGT--------------------------------------------------------AGCAGCTGA---AACCATG---AGAACAATCTGTA-AGAACCA---------CAGGAATCC-----------------------------CA-----------------------------ACATCCAAGGACTAA-TACTA-ACCA----------CTACT--TCTTTACAGTACTTGTGAGC---GCCCTTTTCGTGGCAAGTATCAACGCCGCCAGCATT---------------------CAGSizeHit CountTotal NormTotal
No Reads
droKik1
CCAA------------AATCAA--------------GGTCGCCGCCAAAGGCAG---AGTAAGTGCACTTTCTATACAACAGAAATACTGATAAGGC--CAGTAAATGGAGTAGAGGTACATCCATATCAACTGAGAGAGGCTTTCATATAAAAACTGGCGACTCTTGCGAAACCGTCATTCGAGCCCATTGCTCCC--TACAAGTCTA-CCG-----C----------AGCT-TCCAGAAGCAACA---CGAAGGAATAGCTGCCAA---CAGAATGAACAGTGCAATAGGTA-TGAACTC---------AAGGACCTCGGACCCTCCAGGTCGAA------------------------------------------------CGAAGACTAA-------CCCG----------TCTCC--CTCTTCCAGTGCTTGCCTGCGTCGCCATTTTGGTGGCGAGCACCAGTGCAGCCAGTCTG---------------------CAGSizeHit CountTotal NormTotal
No Reads
droFic1
TCGAGTAACCATCAAAAATCAC--------------GGTTACCGCCGAAGACGCAGTAGTATCTACCCTAT-CAATTTATCGAAATAAAGATAAGGGGGAAG------------------ACATAGCTTTTTTCACAAATGGCTTCATATAAAAGCAAGC-ACACTTGCGAAACAGTCAGTCAAGCCTATCGGTCTG--TACACGACCTACTATTGTTCAAGCTT-GGTAGTG-AAAAGGATCCCCG---AAAAGGAATAGCTGCCGA--CAATAATGAAATTTGCGATAGGTA-TAAAGTC---------AAGAGGATTGCA---------------------------------------------------------A-TACCCAGAAATAA-------CCCC----------TCCTG--ATCTTTCAGTAATTGCCTGTGCCGCCGTTTTGGTGGCCAGCATGGATGCAGCCAGCGTG---------------------CAGSizeHit CountTotal NormTotal
No Reads
droEle1
ATGAG-------------TAAC--------------CAT-CGCGCACAAGGCATAATAGTATCTGCCCAAT-CTTTTTATCGAAATAGCGATAAGGG--GAG------------------ATACCTGGCTTTTGA----------CATATAAAGACCAGC-GCACTTGCGACACATTCATTCAAGCTTATTGCTCTG--TACTAGACTTATTGTTTTGCAAGCATAGATAGTA-ACTAGTATCCTAA---CACTGGAATAGCTGCAGT---TGGAATGAATTCATCAATAGGTA-CGAATCG------AAAAAG-------AACCCTACAGCCGAATC-----------TA-----------------------------CCAACAAAGGACTAA-------GACA----------TCTTT--CCCTTACAGTAATTGCCTGTGTCGCCGTTTTGGTGGCCAGCATTAACGCCGCTAGTGTG---------------------CAGSizeHit CountTotal NormTotal
No Reads
droRho1
T-----------------------------------------CGCCCAAGGCGTAGTTGTATCTGGCCCAT-CTATCAATCAAAATACCGATAACGG--TAG------------------ATATCAATTTTGTGACAAAGGGCTTCATATAAAGGCCAGC-GCACTTGCGACACATTCATTCAAGCTTATTGGTCTG--TGCAAGTCTTATTATTGTGCAAGCATAAGAAGTA-CCAAGGAGCCTCA---CAAAGGAATAGCTGACAT---TAGAATGAATTTTTTAATAGGTA-TGACTCGGAAAAATTCTAA-------AAAGCCGCAGCCGAAAC-----------CG-----------------------------CGAACAAAGGACTAA-------CACA----------TCTCT--CACTTACAGTACTTGCCTGCGCTGCACTTTTGGTGGCCAGCACCAATGCCGCCAGTGTA---------------------CAGSizeHit CountTotal NormTotal
No Reads
droTak1
CCGC--------------ACAC---------------------------GATACAATAGTATGGGCCTCAT-CAATTTATCGAAAACCAGATAAGGGAGGAG------------------ATACTCGTATTGTGACAAAGGGCTTCATATAAAAGACAGT-CGACTTGCGAAACAGTCATTAAAGCTTATTGGTCTG--TACAAGACTTATAATTGTGCAAGCTTAGGCAGTTGAAAAGAAGGACCA---AAGAGGAATATTTTCTAG---TAGAATGAAATTTGTCATAGGTA-AGTAACAGATAAATTTGTG-------CACTTT--C---------------------------------------------------ACTCGAAGGTGTTA-------ACCA----------TCACA--TCCTTGCAGTAATTGCCTGCGTCGCCCTTTCGGTGGTCGGTATCAATGCCGCCAGCGTG---------------------CAGSizeHit CountTotal NormTotal
No Reads
droEug1
C-----------------------------------------CGCCCAAGACGCAATAGTGTGTGGCCTG-----TCTATCAAAAACTCGATAAGGG--GAG------------------ATACTCATCTTGAGACAAAGGGCTTCATATAAAAGACTGT-GCACTTGCAAAACAGTCATTAAAGCGTGTTCGTCAG--CACGAGACTT---ATTGTGCAAGCTTAAATAATA-CAAAGGAACTCTA---AACAGGAATAGCTGCCGA---CAAAATGAAAGTTGCCTTTGGTA-TGAAAGGGATACAGTTAAG-------GAGTCTGAAGACGA-----------------------------------------------CACTAAGGACTAA-------ACCA----------TCTTT--TCCTTCCAGTAATTGCCTGTGCCGCCCTTTTCGTGGCTAGCATCAGTGCCGCTAGTGTG---------------------CAGSizeHit CountTotal NormTotal
No Reads
dm3
ATGA--------------TCAC--------------GCT-TCCGCCAAAGTCGCAATAGTATGTT-CATAT-ATTTTTTTCGTGACTCCGATAAGGT----------------------------------GTGACAAAGTGCTTCATATAAAAGGCGGT-GCACTTGCGAAACAATCATTACAGCTTATTGGTCTG--TACAAGACTTAATATTGTGCAAGC------------AAAGGAGTCGCA---AAGAGGAACAGCTGTCCA---TAGAATGAAATACGCCATAGGTAACGA-----ATTTGTTTGTG-------CACCCTATAGACCGA-----------------------------------------------ACCAAGGACTAA-------ACCA----------TCTTA--TTCTTGCAGTAATTGCATGTGCCGCCCTTGCGGTGGCCAGCATCAATGCCGCCAGTGTG---------------------CAGSizeHit CountTotal NormTotalGSM154618
Ovary
GSM154620
Ovary
GSM154621
Ovary
GSM154622
Ovary
GSM180328
Head
GSM180329
Mixed-body
GSM180330
Embryo
GSM180331
Embryo
GSM180332
Embryo
GSM180333
Embryo
GSM180334
Larvae
GSM180335
Disc
GSM180336
Pupae
GSM180337
S2
GSM231091
Ovary
GSM239041
Head
GSM239050
Head
GSM239051
S2
GSM239052
S2
GSM246084
Head
GSM266765
S2
GSM280082
Ovary
GSM280083
Ovary
GSM280084
Ovary
GSM280085
Testis
GSM280086
Ovary
GSM280087
S2-NP
GSM280088
S2-NP
GSM312995
Head
GSM313160
Head
GSM313161
Head
GSM313162
Head
GSM313163
Head
GSM313164
Head
GSM313165
Head
GSM343287
Embryo
GSM379050
Ovary
GSM379051
Ovary
GSM379052
Ovary
GSM379053
Ovary
GSM379054
Ovary
GSM379055
Ovary
GSM379056
Ovary
GSM379057
Ovary
GSM379058
Ovary
GSM379059
Ovary
GSM379060
Ovary
GSM379061
Ovary
GSM379062
Ovary
GSM379063
Ovary
GSM379064
Ovary
GSM379065
Ovary
GSM379066
Ovary
GSM379067
Ovary
GSM424739
S2
GSM424740
S2
GSM424741
S2
GSM467729
Female-body
GSM467730
Female-body
GSM467731
Female-body
M002
CS
M003
Male-body
M004
Male-body
M005
ML-DmD32
M006
ML-DmD32
M029
OSC
M030
OSC
M031
OSC
M032
S2-R+
M033
S2-R+
M034
S2-R+
M035
S2-R+
M036
S2-R+
M037
S2-R+
M038
S2-R+
M039
S2-R+
M048
S2-R+
OSS2
OSS
OSS6
OSS
OSS7
OSS
OSS8
OSS
S1
Head
S10
Embryo
S11
Embryo
S12
Embryo
S13
Embryo
S14
Embryo
S15
S2-GMR
S16
Kc
S17
Larvae
S18
Larvae
S19
Pupae
S2
Head
S20
Pupae
S21
Disc
S22
Head
S23
Female-body
S24
Male-body
S25
Larvae
S26
Larvae
S27
Pupae
S28
Pupae
S29
Head
S3
Male-body
S30
S2-GMR
S31
S2
S32
S2
S33
Kc
S34
Kc
S35
Kc
S4
Female-body
S5
Disc
S6
Embryo
S7
Embryo
S8
S2
S9
Embryo
SRR001337
Head
SRR001338
Head
SRR001339
Head
SRR001340
Head
SRR001341
Head
SRR001342
Head
SRR001343
Head
SRR001344
Head
SRR001345
Head
SRR001346
Head
SRR001347
Head
SRR001348
Head
SRR001349
Head
SRR001664
Head
SRR010951
Ovary
SRR010952
Ovary
SRR010953
Ovary
SRR010954
Ovary
SRR010955
Ovary
SRR010956
Ovary
SRR010957
Ovary
SRR010958
Ovary
SRR010959
Ovary
SRR010960
Ovary
SRR014268
Embryo
SRR014269
Embryo
SRR014270
Embryo
SRR014271
Embryo
SRR014272
Embryo
SRR014273
Ovary
SRR014274
Ovary
SRR014275
Ovary
SRR014276
Ovary
SRR014277
Ovary
SRR014278
Ovary
SRR014279
Ovary
SRR014280
Ovary
SRR014281
Ovary
SRR014282
Ovary
SRR023197
S2
SRR023399
S2
SRR023400
S2
SRR023402
S2
SRR023407
S2
SRR029028
S2
SRR029029
S2
SRR029030
S2
SRR029031
S2
SRR029032
S2
SRR029033
S2
SRR029608
Head
SRR029633
Head
SRR030145
gb3
SRR031692
Head
SRR031693
Head
SRR031694
Head
SRR031696
Head
SRR031697
Head
SRR031698
Head
SRR031699
Head
SRR031700
Head
SRR031701
Head
SRR031702
Head
SRR031703
Head
SRR031704
Head
SRR032092
S2
SRR032093
S2
SRR032094
S2
SRR032095
S2-NP
SRR032096
S2-NP
SRR032152
Head
SRR060643
Testis
SRR060644
Ovary
SRR060645
Testis
SRR060646
Ovary
SRR060647
Ovary
SRR060648
Ovary
SRR060649
Ovary
SRR060650
Testis
SRR060651
Ovary
SRR060652
Testis
SRR060653
Ovary
SRR065151
Ovary
SRR065152
Ovary
SRR065153
Ovary
SRR065154
Ovary
SRR065155
Ovary
SRR065800
Ovary
SRR065801
Ovary
SRR065802
Ovary
SRR065803
Ovary
SRR065804
Ovary
SRR065805
Ovary
SRR065806
Ovary
SRR065807
Ovary
SRR097865
S2-NP
SRR097866
S2-NP
SRR097867
S2-NP
SRR298536
Ovary
SRR298537
Ovary
SRR298711
Ovary
SRR298712
Ovary
SRR317110
Ovary
SRR317111
Ovary
SRR317112
Ovary
SRR317113
Ovary
SRR317114
Ovary
SRR317115
Ovary
SRR317116
Ovary
SRR317117
Ovary
SRR341115
S2
SRR341116
S2
SRR341117
S2
SRR341118
S2
SRR351332
Mixed-body
SRR351333
Mixed-body
T004
OSC
T005
CME-L1
V001
Embryo
V002
Embryo
V003
S2
V006
Female-body
V007
Head
V008
S2
V009
CME-L1
V010
ML-DmD20-C5
V011
Sg4
V012
Male-body
V013
Head
V014
DTT
V015
DreRFHV
V018
Kc167
V019
GM2
V020
S2-R+
V021
ML-DmD21
V022
ML-DmD32
V023
Head
V024
Kc167
V025
S2-R+
V026
1182-2H
V027
ML-DmD21
V028
CME-W1-Cl.8+
V029
ML-DmD9
V030
ML-DmD8
V031
GM2
V032
S1
V033
CME-W1-Cl.8+
V034
ML-DmD16-C3
V035
ML-DmD32
V036
ML-DmD20-C5
V037
S2
V038
S2
V063
Ovary
V0632
Ovary
V064
Ovary
V0642
Ovary
V065
Ovary
V0652
Ovary
V066
Ovary
V0662
Ovary
V067
S2-NP
V073
mbn2
V074
S3
V075
ML-DmBG1-C1
V076
ML-DmBG3-C2
V077
Head
V078
Head
V079
Head
V080
Head
V081
Embryo
V082
Embryo
V083
Male-body
V084
Female-body
V085
CME-W2
V086
Female-body
V088
Ovary
V0882
Ovary
V089
Ovary
V0892
Ovary
V090
Male-body
V091
fGS/OSS
V092
Male-body
V093
Male-body
V094
S2-R+
V095
S2-R+
V096
Ovary
V097
Ovary
V098
Ovary
V125
ML-DmD9
V126
CME-L1
V127
G2
V128
S3
V129
ML-DmBG1-C1
V130
ML-DmBG3-C2
V131
ML-DmD16-C3
V132
ML-DmD32
V133
Sg4
V134
ML-DmD8
V135
CME-W2
V136
Male-body
V137
Head
V138
Male-body
V139
Female-body
V140
Female-body
V141
Female-body
V142
Female-body
V144
OSC
V145
S2
V146
S1
V147
1182-2H
V148
mbn2
GSM1528798
follicle cells
...................................................................................................................................................................................................................................................CGCA---AAGAGGAACAGCTGTCCA---TA.........................................................................................................................................................................................................................................2418.0080000000000000000000000000000000000000000000000000000000000000000000000000000000000000000000000000000000000000000000700000000000000000000000000000000000000000000000000000000000000000000000000000000000000000000000000000000000000000000001000000000000000000000000000000000000000000000000000000000000000000000000000000000000000000000
............................................CCAAAGTCGCAATAGTATGTT-........................................................................................................................................................................................................................................................................................................................................................................................................................................................2112.0020000000000000000000000000000000000000000000000000000000000000000000000000000000000000000000000000000000000000000000000000000000000000000000000000000000000000000000000000000000000000000000000000000000000000000000000000000000000000000000000000000000000000000000000000000000000110000000000000000000000000000000000000000000000000000
..................................................................................................................................................................................................CTG--TACAAGACTTAATAT....................................................................................................................................................................................................................................................................................................1811.0010000000000000000000000000000000000000000000000000000000000000000000000000000000000000000000000100000000000000000000000000000000000000000000000000000000000000000000000000000000000000000000000000000000000000000000000000000000000000000000000000000000000000000000000000000000000000000000000000000000000000000000000000000000000000000
...................................................................................................................................................................................................................................................CGCA---AAGAGGAACAGCTGTCC...............................................................................................................................................................................................................................................2111.0010000000000000000000000000000000000000000000000000000000000000000000000000000000000000000000000000000000000000000010000000000000000000000000000000000000000000000000000000000000000000000000000000000000000000000000000000000000000000000000000000000000000000000000000000000000000000000000000000000000000000000000000000000000000000000
............................................................................................................................................................................................................................................AAGGAGTCGCA---AAGAGGA.........................................................................................................................................................................................................................................................1811.0010000000000000000000000000000000000000000000000000000000000000000000000000000000000000000000100000000000000000000000000000000000000000000000000000000000000000000000000000000000000000000000000000000000000000000000000000000000000000000000000000000000000000000000000000000000000000000000000000000000000000000000000000000000000000000
.........................................................................................................................................................................................................................GCAAGC------------AAAGGAGTCGCA---................................................................................................................................................................................................................................................................1811.0010000000000000000000000000000000000000000000000000000000000000000000000000000000000000000000000100000000000000000000000000000000000000000000000000000000000000000000000000000000000000000000000000000000000000000000000000000000000000000000000000000000000000000000000000000000000000000000000000000000000000000000000000000000000000000
.................................................................................................................................................................................................................................................GTCGCA---AAGAGGAACAGCTGTCCA---TAGA.......................................................................................................................................................................................................................................2811.0010000000000000000000000000000000000000000000000000000000000000000000000000000000000000000000000000000000000000000000000000000000000000000000000000000000000000000000000000000000000000000000000000000000000000000000000000000000000000000001000000000000000000000000000000000000000000000000000000000000000000000000000000000000000000000
..........................................................................................................................................................................................................................................................................................................................................................................................................................................................................GCCAGCATCAATGCCGCCA.............................1911.0010000000000000000000000000000000000000000000000000000000000000000000000000000000000000000000000000001000000000000000000000000000000000000000000000000000000000000000000000000000000000000000000000000000000000000000000000000000000000000000000000000000000000000000000000000000000000000000000000000000000000000000000000000000000000000
..............................................................................................................................................................................................................CTTAATATTGTGCAAGC------------AAAGGAGT.......................................................................................................................................................................................................................................................................2511.0010000000000000000000000000000000000000000000000000000000000000000000000000000000000000000000000000000000000000000000000000000000000000000000000000000000000000000000000000000000000000000000000000000000000000000000000000000000000000000001000000000000000000000000000000000000000000000000000000000000000000000000000000000000000000000
...........................................................................................................................................................................................................................................AAAGGAGTCGCA---AAGAGGAACAGCT...................................................................................................................................................................................................................................................2511.0010000000000000000000000000000000000000000000000000000000000000000000000000000000000000000000000000001000000000000000000000000000000000000000000000000000000000000000000000000000000000000000000000000000000000000000000000000000000000000000000000000000000000000000000000000000000000000000000000000000000000000000000000000000000000000
......................................................................................................................................................................................CAGCTTATTGGTCTG--TACA...............................................................................................................................................................................................................................................................................................................1911.0010000000000000000000000000000000000000000000000000000000000000000000000000000000000000000000000100000000000000000000000000000000000000000000000000000000000000000000000000000000000000000000000000000000000000000000000000000000000000000000000000000000000000000000000000000000000000000000000000000000000000000000000000000000000000000
....................................................................................................................................................................................................................ATTGTGCAAGC------------AAAGGAGT.......................................................................................................................................................................................................................................................................1911.0010000000000000000000000000000000000000000000000000000000000000000000000000000000000000000000000000000000000000000000000000000000000000000000000000000000000000000000000000000000000000000000000000000000000000000000000000000000000000000000100000000000000000000000000000000000000000000000000000000000000000000000000000000000000000000
.....................................................................................................................................................................................................................................................CA---AAGAGGAACAGCTGTCC...............................................................................................................................................................................................................................................1911.0010000000000000000000000000000000000000000000000000000000000000000000000000000000000000000000000000010000000000000000000000000000000000000000000000000000000000000000000000000000000000000000000000000000000000000000000000000000000000000000000000000000000000000000000000000000000000000000000000000000000000000000000000000000000000000
.....................................................................................................................................................................................................................................................CA---AAGAGGAACAGCTGTCCA---T..........................................................................................................................................................................................................................................2111.0010000000000000000000000000000000000000000000000000000000000000000000000000000000000000000000100000000000000000000000000000000000000000000000000000000000000000000000000000000000000000000000000000000000000000000000000000000000000000000000000000000000000000000000000000000000000000000000000000000000000000000000000000000000000000000
.......................................................................................................................................................................................AGCTTATTGGTCTG--TACAAGA............................................................................................................................................................................................................................................................................................................2111.0010000000000000000000000000000000000000000000000000000000000000000000000000000000000000000000000000010000000000000000000000000000000000000000000000000000000000000000000000000000000000000000000000000000000000000000000000000000000000000000000000000000000000000000000000000000000000000000000000000000000000000000000000000000000000000
.......................................................................................................................................................................................................................................................................GTCCA---TAGAATGAAATAC..............................................................................................................................................................................................................................1811.0010000000000000000000000000000000000000000000000000000000001000000000000000000000000000000000000000000000000000000000000000000000000000000000000000000000000000000000000000000000000000000000000000000000000000000000000000000000000000000000000000000000000000000000000000000000000000000000000000000000000000000000000000000000000000000
............................................................................................................................................................................................................................................................................................................................................................................................................................................................................CAGCATCAATGCCGCCAGTGTG---------------------CA.2411.0010000000000000000000000000000000000000000000000000000000000000000000000000000000000000000000000000000000000000000000000000000000000000000000000000000000000000000000000000000000001000000000000000000000000000000000000000000000000000000000000000000000000000000000000000000000000000000000000000000000000000000000000000000000000000000
............................................................................................................................................................................................................................................................................................................................................................................................................................................................................CAGCATCAATGCCGCCAGT...........................1911.0010000000000000000000000000000000000000000000000000000000000000000000000000000000000000000010000000000000000000000000000000000000000000000000000000000000000000000000000000000000000000000000000000000000000000000000000000000000000000000000000000000000000000000000000000000000000000000000000000000000000000000000000000000000000000000
....................................................................................................................................................................................................................................................GCA---AAGAGGAACAGCTGTCC...............................................................................................................................................................................................................................................2011.0010000000000000000000000000000000000000000000000000000000000000000000000000000000000000000000100000000000000000000000000000000000000000000000000000000000000000000000000000000000000000000000000000000000000000000000000000000000000000000000000000000000000000000000000000000000000000000000000000000000000000000000000000000000000000000
...............................................................................................................................................................................................................TTAATATTGTGCAAGC------------AAAGGAGTC......................................................................................................................................................................................................................................................................2511.0010000000000000000000000000000000000000000000000000000000000000000000000000000000000000000000000100000000000000000000000000000000000000000000000000000000000000000000000000000000000000000000000000000000000000000000000000000000000000000000000000000000000000000000000000000000000000000000000000000000000000000000000000000000000000000
....................................................................................................................................................................................................G--TACAAGACTTAATATTGT.................................................................................................................................................................................................................................................................................................1911.0010000000000000000000000000000000000000000000000000000000000000000000000000000000000000000000000000001000000000000000000000000000000000000000000000000000000000000000000000000000000000000000000000000000000000000000000000000000000000000000000000000000000000000000000000000000000000000000000000000000000000000000000000000000000000000
.....................................................................................................................................................................................................................................................................CTGTCCA---TAGAATGAAATACG.............................................................................................................................................................................................................................2111.0010000000000000000000000000000000000000000000000000000000000000000000000000000000000000000000000000000000000000000000000000000000000000000000000000000000000000000000000000000000000000000000000000000000000000000000000000000000000000000000000000000000000000000000000000000000100000000000000000000000000000000000000000000000000000000
........................................................................................................................................................................................................................................................................TCCA---TAGAATGAAATACGCCATAGGT.....................................................................................................................................................................................................................2611.0010000000000000000000000000000000000000000000000000000000000000000000000000000000000000000000000000000000000000000000000000000000000000000000000000000000000000000000000000000000000000000000000000000000000000000000000000000001000000000000000000000000000000000000000000000000000000000000000000000000000000000000000000000000000000000
....................................................................................................................................................................................................................ATTGTGCAAGC------------AAAGGAGTC......................................................................................................................................................................................................................................................................2011.0010000000000000000000000000000000000000000000000000000000000000000000000000000000000000000000000000000000000000000000000000000000000000000000000000000000000000000000000000000000000000000000000000000000000000000000000000000000000000000000100000000000000000000000000000000000000000000000000000000000000000000000000000000000000000000
droSim2
ATGA--------------TCAC--------------GCT-TCCGCCAAAGTCGCAATAGTATGTT-CCAAT-ATTTTTGTCGAAATTTCGATAAGGT----------------------------------GTGACACAGTGCTTCATATAAAAGGCGGT-GCACTTGCGAAACAATCATTACAGCTTATTGGTCTG--TACAAGACTTAATATTGTGCAAGC------------AAAGGAGTCGCA---AAAAGGAATAGCTGTCTA---TAGAATGAAATACGCCATAGGTAACGA-----ATTTGTTTGTG-------CACCCTATAGACCGAAG-----------CG-----------------------------TCTACCAAGGACTAA-------ACAA----------TCTTA--TTCTTGCAGTAATTGCCTGTGCCGCCCTTGCGGTGGCCAGCATCAATGCCGCCAGTGTGCCGGGC------------GTGCAGSizeHit CountTotal NormTotalM023
Head
M024
Male-body
M025
Embryo
M053
Female-body
O001
Testis
O002
Head
SRR553485
Ovary
SRR553486
Ovary
SRR553487
Ovary
SRR553488
Ovary
SRR618934
Ovary
V044
Embryo
SRR902008
Ovary
SRR902009
Testis
SRR1275487
Male larvae
SRR1275485
Male prepupae
SRR1275483
Male prepupae
.................................................................................................................................................................................................................................................GTCGCA---AAAAGGAATAGCT...................................................................................................................................................................................................................................................1917.00700600000000100000
.......................................................................................................................................................................................................................................................................GTCTA---TAGAATGAAATACGCCATA........................................................................................................................................................................................................................2416.00600600000000000000
.........................................................................................................................................................................................................................................................................CTA---TAGAATGAAATACGCC...........................................................................................................................................................................................................................1915.00500400000000100000
...................................................................................................................................................................................................................................................CGCA---AAAAGGAATAGCTGT.................................................................................................................................................................................................................................................1912.00200000000000200000
......................................................................................................................................................................................................................................................................TGTCTA---TAGAATGAAATACGCC...........................................................................................................................................................................................................................2212.00200200000000000000
.................................................................................................................................................................................................................................................GTCGCA---AAAAGGAATAGCTGTCTA---T..........................................................................................................................................................................................................................................2512.00200200000000000000
.........................................................................................................................................................................................................................................................................CTA---TAGAATGAAATACGCCAT.........................................................................................................................................................................................................................2112.00200200000000000000
................................................................................................................................................................................................................................................................................................................................................................................................................................................................................ATCAATGCCGCCAGTGTGCC......................2012.00200200000000000000
...................................................................................................................................................................................TTACAGCTTATTGGTCTG--...................................................................................................................................................................................................................................................................................................................1811.00100000000001000000
..............................................................................................................................................................................................................CTTAATATTGTGCAAGC------------AAAGGAGT.......................................................................................................................................................................................................................................................................2511.00100100000000000000
.................................................................................................................................................................................................................................................GTCGCA---AAAAGGAATAGCTGTCT...............................................................................................................................................................................................................................................2311.00100100000000000000
..........................................................................................................................................................................................TTATTGGTCTG--TACAAGA............................................................................................................................................................................................................................................................................................................1811.00100100000000000000
..................................................................................................................................................................................ATTACAGCTTATTGGTCTA--...................................................................................................................................................................................................................................................................................................................1911.00100100000000000000
..................................................................................................................................................................................ATTACAGCTTATTGGTCTG--...................................................................................................................................................................................................................................................................................................................1911.00100100000000000000
.......................................................................................................................................................................................AGCTTATTGGTCTG--TACAAG.............................................................................................................................................................................................................................................................................................................2011.00100100000000000000
........................................................................................................................................................................................................................................................................TCTA---TAGAATGAAATACGCCATA........................................................................................................................................................................................................................2311.00100100000000000000
............................................................................................................................................................................................................GACTTAATATTGTGCAAGC------------AAAGGAGT.......................................................................................................................................................................................................................................................................2711.00100000000000100000
.......................................................................................................................................................................................................................................................................GTCTA---TAGAATGAAATACGCC...........................................................................................................................................................................................................................2111.00100100000000000000
...............................................................................................................................................................................................................................................GAGTCGCA---AAAAGGAATAGCT...................................................................................................................................................................................................................................................2111.00100000000000100000
droSec2
ATGA--------------TCAC--------------GCT-TCCGCCAAAGTCGCAATAGTATGTT-CCAAT-ATTTTTGTGGAAATACCGATAAGGT----------------------------------GTGACAAAGTGCTTCATATAAAAGGCGGT-TCACTTGCGAAACAATCATTACAGCTTATTGGTCTGTGTACAAGACTTAATATTGTGCAAGC------------AAAGGAGTCGCA---AAAAGGAATAGCTGTCTA---TAGAATGAAATACGCCATAGGTAACGA-----ATTTGTTTGTG-------CACCCTATAGACCGAAG-----------CG-----------------------------TCTACCAAGGACTAA-------ACCA----------TCTTA--TTCTTGCAGTAATTGCCTGTGCCGCCCTTGCGGTGGCCAGCATCAATGCCGCCAGTGTGCCGGGCGTGCATCCGGGCGTGCAGSizeHit CountTotal NormTotalM054
Female-body
V113
Male-body
V114
Embryo
V115
Head
..........................................................................................................................................................................................TTATTGGTCTGTGTACAAGAC...........................................................................................................................................................................................................................................................................................................2112.0020020
...................................................................................................................................................................................................................................................CGCA---AAAAGGAATAGCTGT.................................................................................................................................................................................................................................................1912.0020020
....................................................................................................................................................................................................................................................GCA---AAAAGGAATAGCTGT.................................................................................................................................................................................................................................................1811.0010010
..........................................................................................................................................................................................................AAGACTTAATATTGTGCAAGC------------AAAG...........................................................................................................................................................................................................................................................................2511.0010010
.................................................................................................................................................................................................................................................GTCGCA---AAAAGGAATAGCTGT.................................................................................................................................................................................................................................................2111.0010010
..................................................................................................................................................................................ATTACAGCTTATTGGTCTG.....................................................................................................................................................................................................................................................................................................................1911.0010010
....................................................................................................................................................................................................................ATTGTGCAAGC------------AAAGGAGTCGCA---................................................................................................................................................................................................................................................................2311.0010010
..................................................................................................................................................................................................................................................TCGCA---AAAAGGAATAGCTGT.................................................................................................................................................................................................................................................2011.0010010
........................................................................................................................................................................................GCTTATTGGTCTGTGTACAAGA............................................................................................................................................................................................................................................................................................................2211.0010010
droYak3
ATGA--------------TCAC--------------GCTTTCCGCCAAAGTCGCAATAGTATGTTTCCTTA-AATTTTGTCGAAACTCTGATAAGGC----------------------------------ACAACAAACTGCTTCATATAAAAGGCGGT-GCACTTGCGAAACAGTCATTACAGCTTATTGGTCTG--TACAAGAATTATTATTGTGCAAAC------------AAAGGAGTCGCA---AAAAGGAATAGCTGTCGA---TAGAATGAAATTTGCCACAGGTAACGA-----ATTTGTTTGTG-------C--TCTATAGACCAAAG-----------C---------------------------------GCCAAGGACTAA-------CCCA----------TCTTA--TCCTTACAGTAATTGCCTGTGCTGCCCTCTGGGTAGCCAGCATCAATGCCGCCAGTGTG---------------------CAGSizeHit CountTotal NormTotalM026
Head
M043
Female-body
M056
Embryo
V046
Embryo
V052
Head
V058
Head
V120
Male-body
SRR1275488
Male larvae
SRR1275486
Male prepupae
SRR1275484
Male prepupae
GSM1528802
follicle cells
.............................................................................................................................................................................................................................AC------------AAAGGAGTCGCA---AAAAGGAATAGCT...................................................................................................................................................................................................................................................2711.00100100000000
............................................................................................................................................................................................................................AAC------------AAAGGAGTCGCA---AAAAGGAATAGCT...................................................................................................................................................................................................................................................2811.00100100000000
...........................................................................................................................................................................................................................AAAC------------AAAGGAGTCGCA---AAAAGGA.........................................................................................................................................................................................................................................................2311.00100100000000
droEre2
ATGA--------------TCAC--------------GCTATCCGCCAAAGTCGCAATAGTATTTTTCCTAT-ATTTTTGTCGAAACTCCGATAAGGT----------------------------------GTGATAAAGTGCTTCATATAAAAGGGGGT-GCACTTGCGAAACAGTCATTACAGTTTATTGTTCGG--TACAAGACTTATTATTGTGCAAGC------------AAAGGAGCTGCA---AAAAGGAATAGCTGTCGA---TAGAATGAAATTGGCCATAGGTAACGA-----ATTTGTTTGTG-------CAGTCTATAGACCAAAG-----------CG-----------------------------TCTGCCAAGGACTAA-------ACCA----------TCTTA--TTCTTGCAGTAATTGCCTGTGCCGCCCTTTCGGTGATCGGCATCAATGCCGTTAGTGTG---------------------CAGSizeHit CountTotal NormTotalM055
Female-body
M057
Embryo
V060
Head
V040
Embryo
V107
Male-body
V108
Head
GSM1528801
follicle cells
.........................................................................................................................................................................................................................................................................CGA---TAGAATGAAATTGGCC...........................................................................................................................................................................................................................1912.0020200000
.................................................................................................................................................................................................................................................................ATAGCTGTCGA---TAGAATGAAATTGGC............................................................................................................................................................................................................................2611.0010100000
.........................................................................................................................................................................................................CAAGACTTATTATTGTGCAAGC------------...............................................................................................................................................................................................................................................................................2211.0010100000
...............................................................................................................................................................................................................TTATTATTGTGCAAGC------------AAAGGA.........................................................................................................................................................................................................................................................................2211.0010100000
..............................................................................................................................................................................................................................................................................................................................................................................................................................................AGTAATTGCCTGTGCCGCCCTTT.....................................................2311.0010100000
...........................................................................................................................................................................................................................................AAAGGAGCTGCA---AAAAGGA.........................................................................................................................................................................................................................................................1911.0010001000
...................................................................................................................................................................................................................................................................................................................................................................................................................................................................TTCGGTGATCGGCATCAATGC..................................2111.0010001000
.......................................................................................................................................................................................................................GTGCAAGC------------AAAGGAGCTGC....................................................................................................................................................................................................................................................................1911.0010100000
....................................................................................................................................................................................................................................................GCA---AAAAGGAATAGCTGTC................................................................................................................................................................................................................................................1911.0010001000
dp5
AAAG--------------------------------------------------------------------------------------------------------------------ATACGCATCTTCCGTGCGAGGCCTCTGTATAAAAGCCAGCGGCACTTGCGAAACAGTCATTCCAGTACAGCACTTTG--TACA--------------GCAAGA------AG---AACAGAACCCGCACTCAAAAGGAATAGCTGCCAAACTAAGAATGAAGAGCACATTCGGTA-TGAATCT---------CGGA--------CTAT-------------------------------------------TTGCTGCCCAA-CAGCAAGGACTAA-------CCCA-------CA-TCCTAACCCATTGCAGTAATTGCCTGTGCCGCCATCCTGGTGGCCAGTATCAGTGCCGCCAGCGTG------------------------SizeHit CountTotal NormTotalM022
Male-body
M040
Female-body
M059
Embryo
M062
Head
V043
Embryo
V051
Head
V112
Male-body
SRR902010
Ovary
SRR902011
Testis
SRR902012
CNS imaginal disc
..........................................................................................................................................................................................ACAGCACTTTG--TACA--------------GCAAGA------AG---AAC.............................................................................................................................................................................................................................................................................2614.0040000000004
..........................................................................................................................................................................................ACAGCACTTTG--TACA--------------GCAAGA------AG---A...............................................................................................................................................................................................................................................................................2412.0020000000002
.................................................................................................................................................................................................................................................................ATAGCTGCCAAACTAAGAATGAAGAGC..............................................................................................................................................................................................................................2711.0010000000001
........................................................................................................................................................................................................ACA--------------GCAAGA------AG---AACAGAACCC......................................................................................................................................................................................................................................................................2111.0010000000001
............................................................................................................................................................................................AGCACTTTG--TACA--------------GCAAG............................................................................................................................................................................................................................................................................................1811.0010000100000
..........................................................................................................................................................................................................................................AACAGAACCCGCACTCAAAAGGAAT.......................................................................................................................................................................................................................................................2511.0010000100000
..........................................................................................................................................................................................ACAGCACTTTG--TACA--------------GCAAGA------AG---AACAG...........................................................................................................................................................................................................................................................................2811.0010000000001
...........................................................................................................................................................................................CAGCACTTTG--TACA--------------GCAAGA------AG---AAC.............................................................................................................................................................................................................................................................................2511.0010000000001
..........................................................................................................................................................................................ACAGCACTTTG--TACA--------------GCAAGA------.....................................................................................................................................................................................................................................................................................2111.0010000100000
..........................................................................................................................................................................................ACAGCACTTTG--TACA--------------GCAAGA------AG---AACA............................................................................................................................................................................................................................................................................2711.0010000000001
droPer2
T-----------------------------------------------------------------------------------------------------------------------------------------------CTGTATAAAAGCCAGCGGCACTTGCGAAACAGTCAT--------------------------------------------------------------------------------------------------------------------------------------------------------------------------------------------------------------------------------------------------------------------------------------------------------------------------------------SizeHit CountTotal NormTotalM021
Embryo
M042
Female-body
V042
Embryo
V050
Head
V057
Head
V111
Male-body
No Reads
droWil2
ATGA--------------AAAC--------------AAT----------------------------------------------------------------------------------------------------------------------------------------------------------------------------------------------------------------------TGGAATAAATGCCGT----------------------------------------------------------------------------------------------------------------------AAGGATCAAACACTAACCCG-------CAAGTATT--CTCTTTCAGCTCTTGCCTGTCTGGCCGTTTTGGTGGCCACCATCGGTGCTGCCAAAATT---------------------CAASizeHit CountTotal NormTotalM020
Head
M045
Female-body
V117
Male-body
V118
Embryo
V119
Head
No Reads
droVir3
C-------------------------------------------------------------------------------------------------------------------------------------------------------------------------------------------------------------------------------------------------------------------------------------------------------------------------------------------------------------------------------------------------AAGGACTAA-CCCTA-CCTATATCCGTT--TAACC--CCTTTCTAGTCCTTACCTGCCTGGCTCTACTGGTGGCCACCACGGGTGCCGCCAACATA---------------------AGGSizeHit CountTotal NormTotalM027
Male-body
M028
Head
M047
Female-body
M061
Embryo
SRR060654
Ovary
SRR060655
Testis
SRR060656
Ovary
SRR060657
Testis
SRR060658
Ovary
SRR060659
Testis
SRR060660
Ovary
SRR060661
Embryo
SRR060662
Embryo
SRR060663
Embryo
SRR060664
Male-body
SRR060665
Female-body
SRR060666
Male-body
SRR060667
Female-body
SRR060668
Male-body
SRR060669
Female-body
SRR060670
Testis
SRR060671
Male-body
SRR060672
Female-body
SRR060673
Ovary
SRR060674
Ovary
SRR060675
Ovary
SRR060676
Ovary
SRR060677
Ovary
SRR060678
Testis
SRR060679
Testis
SRR060680
Testis
SRR060681
Testis
SRR060682
Embryo
SRR060683
Testis
SRR060684
Embryo
SRR060685
Embryo
SRR060686
Embryo
SRR060687
Embryo
SRR060688
Ovary
SRR060689
Testis
SRR1106712
embryo_0-2h
SRR1106713
embryo_0-2h
SRR1106714
embryo_2-4h
SRR1106715
embryo_4-6h
SRR1106716
embryo_4-6h
SRR1106717
embryo_6-8h
SRR1106718
embryo_6-8h
SRR1106719
embryo_8-10h
SRR1106720
embryo_8-10h
SRR1106721
embryo_10-12h
SRR1106722
embryo_10-12h
SRR1106723
embryo_12-14h
SRR1106724
embryo_12-14h
SRR1106725
embryo_14-16h
SRR1106726
embryo_14-16h
SRR1106727
larvae
SRR1106728
larvae
SRR1106729
mixed whole adult body
SRR1106730
embryo_16-30h
V047
Embryo
V053
Head
V116
Male-body
GSM1528803
follicle cells
...................................................................................................................................................................................................................................................................................................................................................................................................................................................................ACTGGTGGCCACCACGGGTGCCGC...............................2411.001000100000000000000000000000000000000000000000000000000000000000
......................................................................................................................................................................................................................................................................................................................................................................................................................................................................GGTGGCCACCACGGGTGCC.................................1911.001000100000000000000000000000000000000000000000000000000000000000
droMoj3
TTTG------------TATCAA--------GTTCGAA------GCCCCAG----------------------------------------------------------------------------------------------------------------CAAAAGCA----------------------------------------------------------------------------A---AACAGGAATAGCTGTCC------------------------------------------------------CGCTCTCTCGGCCGATTGAAGATGAGAGCCCATTACGGTATGTGGGCACTTGCAAC---ACCATCAAGGACTTA-------ACTATAAATGTCTGATCTC--GTCTTTTAGTCCTTGCCTGCCTGGCTGTTTTGGTGGCTACCACTGGAGCCGCCAACATA---------------------CGASizeHit CountTotal NormTotalM046
Female-body
V041
Embryo
V049
Head
V056
Head
M060
Embryo
V110
Male-body
..........................................................................................................................................................................................................................................................................................................................................................................................................................................................................GCTACCACTGGAGCCGCCAAC...........................2111.001000010
droGri2
----------------------------------------------------------------------------------------------------------------------------------------------------------------------------------------------------------------------------------------------------------------------------------------------------------------------------------------------------------------------------------------------------------------------------------------TCTTACAGTCCTTGCCTGCCTGGCTCTTCTGGTGGCCACCACCAGTGCTGCCAATATA---------------------AGASizeHit CountTotal NormTotalM041
Female-body
V109
Male-body
No Reads

Generated: 05/17/2015 at 10:44 PM