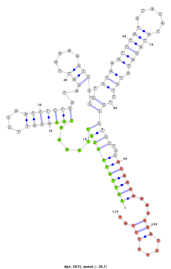
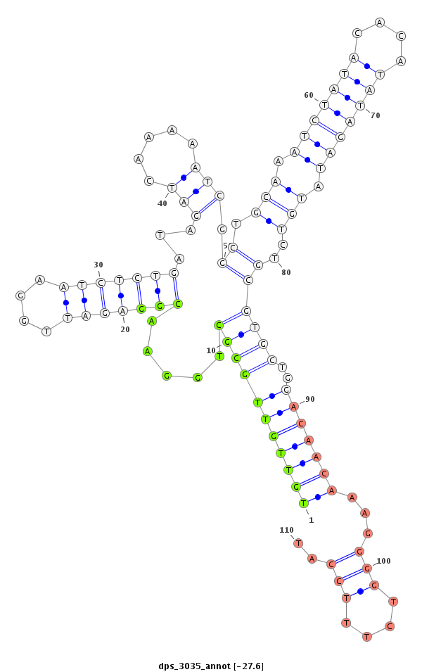
ID:

dps_3035

Coordinate:

XR_group6:4222212-4222487 -

Confidence:

Candidate

Type:

Unknown

[View on UCSC Genome Browser {Cornell Mirror}]
Legend: mature star mismatch in alignment mismatch in read

Predicted structure

-27.4 -26.8 -26.7

Flybase annnotation

exon [dpse_GLEANR_12496:2]; CDS [Dpse\GA19925-cds]; CDS [Dpse\GA19925-cds]; exon [dpse_GLEANR_12496:1]; intron [Dpse\GA19925-in]

No Repeatable elements found

Sense Strand Reads

##################################################------------------------------------------------------------------------------------------------------------------------------------------------------------------------------------------------------------------------------------------------------------------------------------##################################################
TGAAGGGCACAGCCCTAAATGTGGCCGAATATTTAACGCCAGTGCTAAAGGTATTGTTGTTTCTCTATTTGTTGTTGCGCTGGAACGGAGATTGGAATCTCTGATAGATCAAAAATCGGCTGCAAATCTATACACATATAGATATGTCTGCGTGCTGGACAACAAAGGGGTCTTTCCATTCATTATTGATTGCCCCTTTCCACGACTTCGGCCAGCCCCCCAGGCGCTCATGCCTGGGCCGCCGACTGGCGTCCAACTGGCGACGCATACATTTCAATCAATTAAACACGCCCTCAGCACCCCTATTAATTTTCCCTTTCTTCTAGGAGTCCAAATTTCGCGAGACTGGCGTACTGACGCCCGAGGAGTTTGTGGC
*********************************************************************(((((((((((.....(((((((....)))))))...(((.....))).((.(((.(((((((....))))))).)))..))))))..)))))))...(((....)))..*****************************************************************************************************************************************************************************************************
Read size # Mismatch Hit Count Total Norm Total M040
female body
M022
male body
SRR902010
ovaries
..........................................................................................................................................................................................................................................................................................................................................................TGGCGTACTGACGCCCGAGGA......... 21 0 1 1.00 1 1 0 0
.....................................................................TGTTGTTGCGCTGGAACGG................................................................................................................................................................................................................................................................................................ 19 0 1 1.00 1 1 0 0
.................................................................................................................................................................................................................................................................................................................................................TCGCGAGACTGGCGTACTGACGC................ 23 0 1 1.00 1 0 0 1
................................................................................TGGAACGGAGATTGGAATC..................................................................................................................................................................................................................................................................................... 19 0 1 1.00 1 1 0 0
.........................CGAATATTTAACGCCAGTGCT.......................................................................................................................................................................................................................................................................................................................................... 21 0 1 1.00 1 1 0 0
...........................................................................................................................................................................................................................................................................................................................................CAAATTTCGCGAGACTGGC.......................... 19 0 1 1.00 1 1 0 0
......................................................................................................................................................................................................................................TGCCTGGGCCGCCGACTGT............................................................................................................................... 19 1 1 1.00 1 1 0 0
..............................................................................................................................................................ACAACAAAGGGGTCTTTCCAT..................................................................................................................................................................................................... 21 0 1 1.00 1 1 0 0
................................................................................................................................................................................................................................................GACGGCTGGGGTCCAACTGGC................................................................................................................... 21 3 1 1.00 1 1 0 0
.................................TAACGCCAGTGCTAAAGGA.................................................................................................................................................................................................................................................................................................................................... 19 1 1 1.00 1 1 0 0
.........................................................................................................................................................................................................................................................................................................................................TCCAAATTTCGCGAGACTGGC.......................... 21 0 1 1.00 1 1 0 0
.................................................................TATTTGTTGTTGCGCTGGAAC.................................................................................................................................................................................................................................................................................................. 21 0 1 1.00 1 1 0 0
.................................................................................................................................................................................................................................................................................................................................................TCGCGAGACTGGCGTACTGACGCCCGA............ 27 0 1 1.00 1 1 0 0
........................................................................................................................................................................................................................................................................................................................................GTCCAAATTTCGCGAGACT............................. 19 0 1 1.00 1 1 0 0
.............................................................................................................................................................................................TTGCCCCTTTCCACGACTTCG...................................................................................................................................................................... 21 0 1 1.00 1 1 0 0
..............................................................................................................................................................................................................................................CCGCCGACTGGCGTCCAACTG..................................................................................................................... 21 0 1 1.00 1 1 0 0
...............................................................CATATTTGTTGTTGCGCTGGAA................................................................................................................................................................................................................................................................................................... 22 2 1 1.00 1 1 0 0
................................................................................................................................................................................................................................................................................................................................................TTCGCGAGACTGGCGTGCTGA................... 21 1 1 1.00 1 1 0 0
...............................................................................................................................................................................................................................................................................................................................................................TACTGACGCCCGAGGAGTTTGTGGC 25 0 1 1.00 1 1 0 0
............................................................................................................................................................................................................................................................................................................................................................GCGTACTGACGCCCGAGGAGT....... 21 0 1 1.00 1 1 0 0
.........................................................................................................................................ATAGATATGTCTGCGTGCTGG.......................................................................................................................................................................................................................... 21 0 1 1.00 1 1 0 0
........................................................................................................................................................................................................................................................................................................................................GTCCAAATTTCGCGAGACTGG........................... 21 0 1 1.00 1 1 0 0
...............................................................................................................................................................................................GCCCCTTTCCACGACTTCGG..................................................................................................................................................................... 20 0 1 1.00 1 1 0 0
...........................................................................................................................................AGATATGTCTGCGTGCTGGA......................................................................................................................................................................................................................... 20 0 1 1.00 1 1 0 0
...................................................................................................................................................................................................................................................................................................................................................GCGAGACTGGCGTACTGACGCCCGAGGAG........ 29 0 1 1.00 1 0 1 0
..................................................................................................................................................................................................................................................................................................................................................CGCGAGACTGGCGTACTGAC.................. 20 0 1 1.00 1 1 0 0
................................TTAACGCCAGTGCTAAAGGTA................................................................................................................................................................................................................................................................................................................................... 21 0 1 1.00 1 1 0 0
........................................................................TGTTGCGCTGGAACGGAGATT........................................................................................................................................................................................................................................................................................... 21 0 1 1.00 1 1 0 0
..........................GAATATTTAACGCCAGTGCT.......................................................................................................................................................................................................................................................................................................................................... 20 0 1 1.00 1 1 0 0
........................CCGAATATTTAACGCCAGTGC........................................................................................................................................................................................................................................................................................................................................... 21 0 1 1.00 1 1 0 0
...............................................................TCTATTTGTTGTTGCGCTGGA.................................................................................................................................................................................................................................................................................................... 21 0 1 1.00 1 1 0 0
........................................................................................................................................................................................................................................................................................................................................................ACTGGCGTACTGACGCCCGAG........... 21 0 1 1.00 1 1 0 0
..........................................................................................................................................................................................................................................................................................TAAACACGCACTCATTACCC.......................................................................... 20 3 3 0.33 1 1 0 0

Anti-sense strand reads

ACTTCCCGTGTCGGGATTTACACCGGCTTATAAATTGCGGTCACGATTTCCATAACAACAAAGAGATAAACAACAACGCGACCTTGCCTCTAACCTTAGAGACTATCTAGTTTTTAGCCGACGTTTAGATATGTGTATATCTATACAGACGCACGACCTGTTGTTTCCCCAGAAAGGTAAGTAATAACTAACGGGGAAAGGTGCTGAAGCCGGTCGGGGGGTCCGCGAGTACGGACCCGGCGGCTGACCGCAGGTTGACCGCTGCGTATGTAAAGTTAGTTAATTTGTGCGGGAGTCGTGGGGATAATTAAAAGGGAAAGAAGATCCTCAGGTTTAAAGCGCTCTGACCGCATGACTGCGGGCTCCTCAAACACCG
*****************************************************************************************************************************************************************************************************(((((((((((.....(((((((....)))))))...(((.....))).((.(((.(((((((....))))))).)))..))))))..)))))))...(((....)))..*********************************************************************
Read size # Mismatch Hit Count Total Norm Total M040
female body
M059
embryo
V112
male body
GSM444067
head
..............................................................................................................................................................................................ACGGGGAAAGGTGCTGAAGC...................................................................................................................................................................... 20 0 1 2.00 2 2 0 0 0
........................................................................................................................................................................................................................................................................................................................................................TGACCGCATGACTGCGGGCTCCT......... 23 0 1 2.00 2 2 0 0 0
...................................................................................................................................................................................................................................................CTGACCGCAGGTTGACCGCTGC............................................................................................................... 22 0 1 1.00 1 1 0 0 0
...........................................................................ACGCGACCTTGCCTCTAACCT........................................................................................................................................................................................................................................................................................ 21 0 1 1.00 1 1 0 0 0
......................................................................................................................................................................CCCCAGAAAGGTAAGTAATAA............................................................................................................................................................................................. 21 0 1 1.00 1 1 0 0 0
...............................................TTCCATAACAACAAAGAGATA.................................................................................................................................................................................................................................................................................................................... 21 0 1 1.00 1 1 0 0 0
.....................................................................................................................................................................................................................TCGGGGGGTCCGCGAGTACG............................................................................................................................................... 20 0 1 1.00 1 1 0 0 0
...........................................................................................................................................................................................................................................................................ATGTAAAGTTAGTTAATTTG......................................................................................... 20 0 1 1.00 1 1 0 0 0
..............................................................................................................................................................................................................................................................................................................................AGAAGATCCTCAGGTTTAAAG..................................... 21 0 1 1.00 1 1 0 0 0
........................................................................................................................................................................................................................................................CGCAGGTTGACCGCTGCGTATGTAAAG..................................................................................................... 27 0 1 1.00 1 0 1 0 0
.................................................................................................................................................................................................GGGAAAGGTGCTGAAGCCGGTC................................................................................................................................................................. 22 0 1 1.00 1 1 0 0 0
..............................................................................................................................................................................................................................................................................................................................AGAAGGTCCTCAGGTTTAAA...................................... 20 1 1 1.00 1 1 0 0 0
............................................................................................................................................................................................................................................................................................TTGTGCGGGAGTCGTGGGGA........................................................................ 20 0 1 1.00 1 1 0 0 0
................................................................................................................................................................................................................................................CGGCTGACCGCAGGTTGACCG................................................................................................................... 21 0 1 1.00 1 1 0 0 0
.................................................................................................................................................................................................................................................GGCTGACCGCAGGTTGACCGC.................................................................................................................. 21 0 1 1.00 1 1 0 0 0
...................................................................................................................................................................................................GAAAGGTGCTGAAGCCGGTCG................................................................................................................................................................ 21 0 1 1.00 1 1 0 0 0
................................................................................................................................................................................................GGGGAAAGGTGCTGAAGCCGG................................................................................................................................................................... 21 0 1 1.00 1 1 0 0 0
..................................................................................................................TTGCCGACGTTTAGATATGTGT................................................................................................................................................................................................................................................ 22 1 1 1.00 1 1 0 0 0
...................................................................................................................AGCCGACGTTTAGATATGTGT................................................................................................................................................................................................................................................ 21 0 1 1.00 1 1 0 0 0
................................................................................................................................................................................................................................................................................................................................AAGATCCTCAGGTTTAAAG..................................... 19 0 1 1.00 1 1 0 0 0
..........................................................................................................................................................................................................................................................CAGGTTGACCGCTGCGTATGT......................................................................................................... 21 0 1 1.00 1 1 0 0 0
....................................................................................................................................................................................................................................................................................................................................................................TGCGGGCTCCTCAAACACCG 20 0 1 1.00 1 1 0 0 0
...........................................................................................................................................................................................................................................................................................................................................................CCGCATGACTGCGGGCTCCTC........ 21 0 1 1.00 1 1 0 0 0
...................................................................................................................................................................................................................................................................................................................................................CGCTCTGACCGCATGACTGCGG............... 22 0 1 1.00 1 1 0 0 0
................................................................GATAAACAACAACGCGACCTT................................................................................................................................................................................................................................................................................................... 21 0 1 1.00 1 0 0 1 0
.....................................................................................................................................................................................................................................................................CTGCGTATGTAAAGTTAGTTA.............................................................................................. 21 0 1 1.00 1 1 0 0 0
............................................................................................................................................................................................................................................................................................TTGAGTGGGAGCCGTGGGGAT....................................................................... 21 3 1 1.00 1 1 0 0 0
......................................................................................................................................................................................................AGGTGCTGAAGCCGGTCG................................................................................................................................................................ 18 0 1 1.00 1 1 0 0 0
.....................................................................................................................................................................................................AAGGTGTTGAAGGCGGTCGG............................................................................................................................................................... 20 2 2 0.50 1 1 0 0 0
......................................................................................................................................................................................................................CGGGGGTTCCGCGGGTACGG.............................................................................................................................................. 20 2 3 0.33 1 0 1 0 0
..............................................................................................................................................................................................................................................................................................GAGTGGGAGTCGTGGGGAT....................................................................... 19 2 3 0.33 1 1 0 0 0
..........................................................................................................................................................................................................................................ACCCGGCGTCCGACCGGAGGTT........................................................................................................................ 22 3 4 0.25 1 1 0 0 0
..................................................................................................................................................................................................................................GCGTACGGACCCGGCCGCAG.................................................................................................................................. 20 3 8 0.13 1 0 0 0 1
.............................................................................................................................................................................................................GAAGCGGGTCGGGTGGTTC........................................................................................................................................................ 19 3 20 0.10 2 1 0 1 0
.................................ACTGCGATCACGAATTCCA.................................................................................................................................................................................................................................................................................................................................... 19 3 16 0.06 1 1 0 0 0
.......................................................................................................................................................................................................GGTGTTGAAGGCGGTCGGCG............................................................................................................................................................. 20 3 20 0.05 1 1 0 0 0

Re-alignment of all predicted orthologs

Species Coordinate ID Alignment
dp5 XR_group6:4222162-4222537 - dps_3035 TGAAGGGCACAGCCCTAAATGTGGCCGAATATTTAACGCCAGTGCTAAAGGTATTG------------------------------------------------TTGTTTCTCTAT--------TTGTTGTTGCGCTGGAA---CGGAGATTGGAATCTCTGATAGATCAAAAATCGGCTGC--------------------AAATCT-------------------------------------------------------------------------------------------A--------TACAC-----ATATAGATATGTCTGCGTGCTGG--------------------------------------------------------------------------------------------------------------------------------------A-CAACA-----------AAGGGGTCTT-----------TCCA--TTC-A---TTATTGATTGCCCC-T-------TTCCACG--ACTTC-GGCCAGCCCCCCAGGCGCTCATGCCTGGGCCGCCGACTGGCGTCCAACTGGCGACGCATACATTTCAATCAATTAAACACGCCCTCAGCACCCCTATTAAT-------T------------------------------------------------------------------------TTCCC--TT--TCTTCTAGGAGTCCAAATTTCGCGAGACTGGCGTACTGACGCCCGAGGAGTTTGTGGC
droPer2 scaffold_9:2512793-2513168 - TGAAGGGCACAGCCCTAAATGTGGCCGAATATTTAACGCCAGTGCTAAAGGTATTG------------------------------------------------TTGTTTCTCTAT--------TTGTTGTTGCGCTGGAA---CGGAGATTGAAATCTCTGATAGATCAAAAATCGGTTGC--------------------AAATCT-------------------------------------------------------------------------------------------A--------TACAC-----ATATAGATATGTCTGCGTGCTGG--------------------------------------------------------------------------------------------------------------------------------------A-CAACA-----------AAGGGGTCTT-----------TCCA--TTC-A---TTATTGATTGCCCC-T-------TTCCACG--ACTTC-GGCCAGCCCCCCAGGCGCTCATGCCTGGGCCGCCGACTGGCGTCCAACTGGCGACGCATACATTTCAATCAATTAAACACGCCCTCAGCACCCCTATTAAT-------T------------------------------------------------------------------------TTCCC--TT--TCTTCTAGGAGTCCAAATTTCGCGAGACTGGCGTACTGACGCCCGAGGAGTTTGTGGC
droWil2 scf2_1100000004762:1576777-1577213 + TCAAAGGCACAGCATTAAATGTTGCAGAATATTTGACGCCTGTCTTAAAGGTAAGCGA--GAGG--GAGA-----GAGAGAGC---G---A--GAGATGATTTGTTGTTTTGCTATTATAATTCTTGTTGTTGTCA------------------------------------------------------TTGGCTGTG---A-G---AGATGAGCAACCCGAAGTAATCAAGTGAACAGTCACTGTGATTGT---------GAAGTCGTCTATG-ATGTATGCGAAGCTTATAAGCTTATATG--CTCAATCCAA---------------------------------------------------------------------------------------------------------------------------------------------------------------------------------------TGTG-----------ACTA--TTC-ACAGTAATTTATTGCTGC-T-------CATATCT--GTCTT-GGTTAATGTTACCCCCTTGTAGGTGGGGGGTGTCAAGTGGCGCCCGTCTGACGCGAGACAGTTTCCACTTAAACTAATCAATTTTCTCTTGCTGTTTCAAT-------T------------------------------------------------------------------------TTCTTTGTT--TGAAATAGGAATCAAAATTCCGTGAAACTGGCGTCTTGACACCCGAGGAATTTGTAGC
droVir3 scaffold_13049:18186707-18187081 - dvi_20433 TAAAAGGCACAGCGCTCAATGTAGCAGAATATTTAACTCCAGTCTTGAAGGCAAGTAT--TGACTTTTGGTACTC--ATTAAAGACG---CGA---------------------------------GTTGATAGAGTGGGA---GGAGGATT------------------------------------------------------------------------------------------------------------------------------------------------------------------------------------------------------TGTTAATTAAAGGAAGACTTTTTCTTCGACTTTAACTTTATTGCTTAATTATTATTTATTTGTGACCGCATTCACTTGCAATATTGATGTATTAATTCAA-------------------------T-ATT----------------------CTATTGTGCGTTCTGT--CTT-A---TCA---ATTCATTTGTTTTCT------------------------------CTATCTGTCGCTCGGGC--------GGGGTTTGAGTGGCGACGCAT---TTGTAATCAATTTATAAC------T--------------------------------------------------------------------------------------------AATTCAT--TT--TTGATTAGGAGTCGAAATTTCGCGAAACTGGCGTATTAACACCAGAGGAATTTGTGGC
droMoj3 scaffold_6680:23762350-23762402 - TAAAGGGAACAGCGCTAAATGTGGCAGAATATTTAACGCCAATTTTAAAGGCA-------------------------------------------------------------------------------------------------------------------------------------------------------------------------------------------------------------------------------------------------------------------------------------------------------------------------------------------------------------------------------------------------------------------------------------------------------------------------------------------------------------------------------------------------------------------------------------------------------------------------------------------------------------------------------------------------------------------------------------------------------------------------------------------
droGri2 scaffold_15110:24241421-24241739 - TAAAAGGCAAAGCGCTTAATGTGGCAGAATATTTGACACCAATTCTAAAGGCAAGTAT--TAACTTATGT-------TTGAT--------------------------------------------------TAGTTGAGTCCCAGGATTTATGTAGCTTTAATAAATAATTTACTTTGTGC--------------------AAACTC-------------------------------------------------------------------------------------------A--------CAATA-----CAATAAATACA--------------------------------------------------------------------------------------------------------------CAAAATATTAT-------------------------T-TTACT-----------TAAGTGAATT-----------TTTA--CTT-A---TTA---ATACATTTAGTGAGG------------------------------GGCGCTGACGCGTGCGC--------AGTGTTCAACTGTCCA----T---TATTGAGAAATTAATCTT------A--------------------------------------------------------------------------------------------AAATTAT--TA--TTAATTAGGAATCGAAATTTCGCGAAACTGGAGTCTTAACACCAGAGGACTTTGTGGC
droAna3 scaffold_13337:18686081-18686497 - TGAAAGGAACGGCCCTAAACGTAGCCGAATATCTTACGCCCGTTTTAAAGGTAAAGAA--GAAA--GTGC-------AGCAACGACG---CAAGAAAAACT---ATG---------------------------------------------------------------------------------------------------------------------------------------------ATTATCATTTAGATCAAGTTTTTTATACGTATACACAACAGTTGTAGGCATATATATATTTAAAACAATGGA-TTGTTGAGGGTGTGTGCAAGTGCAACCCTAGTTCTGTAAAGACAGG-------------------------------------------------------------------------------------------------------------------------------CTGGGTTTT-----------ATGA--TACAA---TTATTGATTCCCCC-C-----T-AAACCCGAAAC--TTTCTCATACCCCTTGGTGGCAAT-------------------------------------------------------------------------------AAAACTGGATTCATCAGCTTTTCGCCGCCAGACTGTCGCCCCCATAAAATTAAATGAGT-GCAACATATACTTTCTTT-----TT---CATATTCAAAGGAATCCAAATTCCGGGAGACAGGTGTTCTCACCCCGGAGGAGTTTGTGGC
droBip1 scf7180000396741:1878135-1878559 - TGAAAGGAACGGCGCTGAACGTAGCCGAATATCTTACGCCTGTTTTGAAGGTAAAGAA--GAAA--GTGC-------AACAAAGATG---AAAGAAAAACT---ATG---------------------------------------------------------------------------------------------------------------------------------------------ATTATCACCTAGATCAAGTTTTTTATACGTATACACAGCGGTTGTGTACATATATGTAGTAAAAACAATGAT-TAATTGAGGGTGTGTGCAAGTGCAACCCCAGTTCTAGAAAGACGGG-------------------------------------------------------------------------------------------------------------------CCCAAAGAGAGCCTGAGTTTC-----------ATGA--TACAA---TTATTGATTCCCCC-T-------TAACCCGAAAC--TTTCTCATACCCCTTGGTGGCAAT-------------------------------------------------------------------------------AAAACTGGATTCATCAGCTTTTCGCCGCCAGACTGTCGCCCCCATAAAATTAAATGAGT-GCACCATACACTTTCT-------TT--TC--ATTTTTAGGAATCCAAATTCCGGGAGACAGGTGTTCTCACCCCGGAGGAGTTTGTGGC
droKik1 scf7180000302248:228838-229224 - TAAAAGGCACGGCGCTCAATGTGGCCGAATATCTAACGCCCGTACTGAAGGTAACTGATTGCAA--GTGC-------AACAACAATCTAAAAAGAAAAATT---TTGTTAC--------------TATTGCTGTGA------------------------------------------------------TTAAACACA---A-----------------------------------------------------------------------------AAACAGAG------------------------------G--------TG--------------------------------------------------------------------------------------------------------------CAAAA-GTGTATTTATACAAGCCAGCTTCAGCACAAAGGAAAGCCAGCAAAGATAAGGGCTCTCTGCTGTGTG------------T---ATATTGATTCGCTCATT------TTCCCCGCAACGATTTCCCATT-CCCTTGATGGCCAT-------------------------------------------------------------------------------AAAACCGGAT----------TTCGTCGCCAGACTGTCGCCGATTTAGTTTTCATAGAGTCGCCACTTAAATTTCCCCT-----TT--CT--TTTTTCAGGAATCCAAATTCCGTGAGACAGGCGTCCTGACACCCGAGGAGTTTGTGGC
droFic1 scf7180000453824:105624-105695 + TTAATTTCTA--------------------------------------------------------------------------------------------------------------------------------------------------------------------------------------------------------------------------------------------------------------------------------------------------------------------------------------------------------------------------------------------------------------------------------------------------------------------------------------------------------------------------------------------------------------------------------------------------------------------------------------------------------------------------------------------------------------------------------------------------------------------AT--AT--TCTTGCAGGAATCAAAATTCCGCGAGACGGGTGTTCTTACTCCGGAGGAGTTCGTGGC
droEle1 scf7180000490993:1660864-1660927 + TT----------------------------------------------------------------------------------------------------------------------------------------------------------------------------------------------------------------------------------------------------------------------------------------------------------------------------------------------------------------------------------------------------------------------------------------------------------------------------------------------------------------------------------------------------------------------------------------------------------------------------------------------------------------------------------------------------------------------------------------------------------------------------CC--TT--TCTTGCAGGAATCGAAATTCCGTGAGACGGGCGTTCTCACTCCGGAGGAGTTTGTAGC
droRho1 scf7180000779212:101701-101937 - TGAAAGGCACGGCGCTCAATGTGGCCGAATATCTAACGCCCGTTTTAAAGGTAAAAAG---------TGC-------CAAATTGACG----------------------------------------------------------------------------------AAAACCTGACTATTAAAGCGATCAAATATGTACAA-------------------------------------------------------------------A---------------------------A--------TACGC-----AT-TAAATAGGGGTGTATATAAG-------------------------------------------------------------------------------------------------------------------CAGACAGGCTTCATGACAAA-GAAAACCGGAAAAGATAATGGTTTTC-------------CACTCTCAA---TTATTGATTTCCCC-T-----TTTTCCGCG--ACCTCTATCCATTCCCCCAAATG-----------------------------------------------------------------------------------------------------------------------------------------------------------------------------------------------------------------------------------------
droBia1 scf7180000302529:757834-757929 - ACT--------------------------------------------------------------------------------------------------------------------------------------------------------------------------------------------------------------------------------------------------------------------------------------------------------------------------------------------------------------------------------------------------------------------------------------------------------------------------------------------------------------------------------------------------------------------------------------------------------------------------------------------------------------------CCTAAAACACCCGCTTTAATAATACTGTA------------------------------------------------------------------------TTCA--TC--CCTTGCAGGAATCGAAATTCCGCGAGACGGGCGTTCTCACTCCGGAGGAGTTCGTGGC
droTak1 scf7180000415184:311249-311348 - TAATC---ACACCC---------------------------------------------------------------------------------------------------------------------------------------------------------------------------------------------------------------------------------------------------------------------------------------------------------------------------------------------------------------------------------------------------------------------------------------------------------------------------------------------------------------------------------------------------------------------------------------------------------------------------------AA---TCAAAATCAGTATAAATC----------------------AT---------------------------------------------------------------------------AAATCCC--TT--TCTTTTAGGAATCGAAGTTCCGCGAGACGGGCGTTCTTACGCCGGAGGAGTTTGTGGC
droEug1 scf7180000409471:747760-747823 - TC----------------------------------------------------------------------------------------------------------------------------------------------------------------------------------------------------------------------------------------------------------------------------------------------------------------------------------------------------------------------------------------------------------------------------------------------------------------------------------------------------------------------------------------------------------------------------------------------------------------------------------------------------------------------------------------------------------------------------------------------------------------------------CC--TT--ACTTGCAGGAATCAAAATTCCGTGAAACTGGTGTTCTTACTCCCGAGGAATTTGTGGC
dm3 chr3L:18742427-18742493 + TTA-------------------------------------------------------------------------------------------------------------------------------------------------------------------------------------------------------------------------------------------------------------------------------------------------------------------------------------------------------------------------------------------------------------------------------------------------------------------------------------------------------------------------------------------------------------------------------------------------------------------------------------------------------------------------------------------------------------------------------------------------------------------------TTTT--TT--TTTTGCAGGAATCGAAATTCCGTGAGACAGGTGTTCTCACTCCGGAAGAATTCGTGGC
droSim2 3l:18369979-18370043 + TTA---------------------------------------------------------------------------------------------------------------------------------------------------------------------------------------------------------------------------------------------------------------------------------------------------------------------------------------------------------------------------------------------------------------------------------------------------------------------------------------------------------------------------------------------------------------------------------------------------------------------------------------------------------------------------------------------------------------------------------------------------------------------------TT--TT--TTTTGCAGGAATCGAAGTTCCGTGAGACAGGTGTTCTCACTCCGGAGGAATTCGTGGC
droSec2 scaffold_19:715599-715663 + TTA---------------------------------------------------------------------------------------------------------------------------------------------------------------------------------------------------------------------------------------------------------------------------------------------------------------------------------------------------------------------------------------------------------------------------------------------------------------------------------------------------------------------------------------------------------------------------------------------------------------------------------------------------------------------------------------------------------------------------------------------------------------------------TC--TT--TTTTGCAGGAATCGAAGTTCCGTGAGACAGGGGTTCTCACTCCGGAGGAATTCGTGGC
droYak3 3L:15322018-15322076 - T-------------------------------------------------------------------------------------------------------------------------------------------------------------------------------------------------------------------------------------------------------------------------------------------------------------------------------------------------------------------------------------------------------------------------------------------------------------------------------------------------------------------------------------------------------------------------------------------------------------------------------------------------------------------------------------------------------------------------------------------------------------------------------------TTTTACAGGAGTCGAAGTTCCGTGAGACAGGTGTTCTCACTCCGGAGGAATTCGTGGC
droEre2 scaffold_4784:15182528-15182747 - TAAAGGGCACAGCTCTCAACGTGGCCGAATATCTGACGCCCGTTTTGAAGGTAAAG----------------------------------------------------------------------------------------------------TCTCAAATAAACGGAAAACGGACTATCAAAGCGATGAAATGTGTA----TT--------------------------------------------------------------TTA---------------------------A--------TACGT-----AT-GAAACGAGAGTGCATGCTGA--------------------------------------------------------------------------------------------------------------------------------------A-GAAAATCCGAAAAGATAATGGGCCTC-----------CTCG--CTC-A---TTTCCCATTTTCCC-A--------------------------------------------------------------------------------------------------------------------------------------------------------------------------------------------------------------------------------------CTTTCTCTGAATTCTGGTGACGGCACCCGGAGTGC------T

Re-alignment of all predicted orthologs with sRNA reads

Species Read alignment
dp5
TGAAGGGCACAGCCCTAAATGTGGCCGAATATTTAACGCCAGTGCTAAAGGTATTG------------------------------------------------TTGTTTCTCTAT--------TTGTTGTTGCGCTGGAA---CGGAGATTGGAATCTCTGATAGATCAAAAATCGGCTGC--------------------AAATCT-------------------------------------------------------------------------------------------A--------TACAC-----ATATAGATATGTCTGCGTGCTGG--------------------------------------------------------------------------------------------------------------------------------------A-CAACA-----------AAGGGGTCTT-----------TCCA--TTC-A---TTATTGATTGCCCC-T-------TTCCACG--ACTTC-GGCCAGCCCCCCAGGCGCTCATGCCTGGGCCGCCGACTGGCGTCCAACTGGCGACGCATACATTTCAATCAATTAAACACGCCCTCAGCACCCCTATTAAT-------T------------------------------------------------------------------------TTCCC--TT--TCTTCTAGGAGTCCAAATTTCGCGAGACTGGCGTACTGACGCCCGAGGAGTTTGTGGCSizeHit CountTotal NormTotalM022
Male-body
M040
Female-body
M059
Embryo
M062
Head
V043
Embryo
V051
Head
V112
Male-body
SRR902010
Ovary
SRR902011
Testis
SRR902012
CNS imaginal disc
..................................................................................................................................................................................................................................................................................................................................................................................................................................................................................................................................................................................................................................................................................................................................................................................................................TGGCGTACTGACGCCCGAGGA.........2111.0010100000000
.............................................................................................................................TGTTGTTGCGCTGGAA---CGG.............................................................................................................................................................................................................................................................................................................................................................................................................................................................................................................................................................................................................................................................................................1911.0010100000000
.........................................................................................................................................................................................................................................................................................................................................................................................................................................................................................................................................................................................................................................................................................................................................................................................................TCGCGAGACTGGCGTACTGACGC................2311.0010000000100
........................................................................................................................................TGGAA---CGGAGATTGGAATC..................................................................................................................................................................................................................................................................................................................................................................................................................................................................................................................................................................................................................................................................................1911.0010100000000
.........................CGAATATTTAACGCCAGTGCT..................................................................................................................................................................................................................................................................................................................................................................................................................................................................................................................................................................................................................................................................................................................................................................................................2111.0010100000000
...................................................................................................................................................................................................................................................................................................................................................................................................................................................................................................................................................................................................................................................................................................................................................................................................CAAATTTCGCGAGACTGGC..........................1911.0010100000000
...........................................................................................................................................................................................................................................................................................................................................................................................................................................................................................................................................................................................................TGCCTGGGCCGCCGACTGT..................................................................................................................................................................................................................1911.0010100000000
...........................................................................................................................................................................................................................................................................................................................................................................................................................................................................................A-CAACA-----------AAGGGGTCTT-----------TCCA--T.......................................................................................................................................................................................................................................................................................................2111.0010100000000
.................................TAACGCCAGTGCTAAAGGA............................................................................................................................................................................................................................................................................................................................................................................................................................................................................................................................................................................................................................................................................................................................................................................................1911.0010100000000
.................................................................................................................................................................................................................................................................................................................................................................................................................................................................................................................................................................................................................................................................................................................................................................................................TCCAAATTTCGCGAGACTGGC..........................2111.0010100000000
.................................................................................................................TAT--------TTGTTGTTGCGCTGGAA---C...............................................................................................................................................................................................................................................................................................................................................................................................................................................................................................................................................................................................................................................................................................2111.0010100000000
.........................................................................................................................................................................................................................................................................................................................................................................................................................................................................................................................................................................................................................................................................................................................................................................................................TCGCGAGACTGGCGTACTGACGCCCGA............2711.0010100000000
................................................................................................................................................................................................................................................................................................................................................................................................................................................................................................................................................................................................................................................................................................................................................................................................GTCCAAATTTCGCGAGACT.............................1911.0010100000000
.......................................................................................................................................................................................................................................................................................................................................................................................................................................................................................................................................................TTGCCCC-T-------TTCCACG--ACTTC-G.........................................................................................................................................................................................................................................................2111.0010100000000
...................................................................................................................................................................................................................................................................................................................................................................................................................................................................................................................................................................................................................CCGCCGACTGGCGTCCAACTG........................................................................................................................................................................................................2111.0010100000000
.......................................................................................................................................................................................................................................................................................................................................................................................................................................................................................................................................................................................................................................................................................................................................................................................................................TACTGACGCCCGAGGAGTTTGTGGC2511.0010100000000
....................................................................................................................................................................................................................................................................................................................................................................................................................................................................................................................................................................................................................................................................................................................................................................................................................GCGTACTGACGCCCGAGGAGT.......2111.0010100000000
................................................................................................................................................................................................................................................................................................................................ATAGATATGTCTGCGTGCTGG--------------------------------------------------------------------------------------------------------------------------------------.....................................................................................................................................................................................................................................................................................................................................................2111.0010100000000
................................................................................................................................................................................................................................................................................................................................................................................................................................................................................................................................................................................................................................................................................................................................................................................................GTCCAAATTTCGCGAGACTGG...........................2111.0010100000000
.........................................................................................................................................................................................................................................................................................................................................................................................................................................................................................................................................................GCCCC-T-------TTCCACG--ACTTC-GG........................................................................................................................................................................................................................................................2011.0010100000000
..................................................................................................................................................................................................................................................................................................................................AGATATGTCTGCGTGCTGG--------------------------------------------------------------------------------------------------------------------------------------A-...................................................................................................................................................................................................................................................................................................................................................2011.0010100000000
...........................................................................................................................................................................................................................................................................................................................................................................................................................................................................................................................................................................................................................................................................................................................................................................................................GCGAGACTGGCGTACTGACGCCCGAGGAG........2911.0011000000000
..........................................................................................................................................................................................................................................................................................................................................................................................................................................................................................................................................................................................................................................................................................................................................................................................................CGCGAGACTGGCGTACTGAC..................2011.0010100000000
................................TTAACGCCAGTGCTAAAGGTA...........................................................................................................................................................................................................................................................................................................................................................................................................................................................................................................................................................................................................................................................................................................................................................................................2111.0010100000000
................................................................................................................................TGTTGCGCTGGAA---CGGAGATT........................................................................................................................................................................................................................................................................................................................................................................................................................................................................................................................................................................................................................................................................................2111.0010100000000
..........................GAATATTTAACGCCAGTGCT..................................................................................................................................................................................................................................................................................................................................................................................................................................................................................................................................................................................................................................................................................................................................................................................................2011.0010100000000
........................CCGAATATTTAACGCCAGTGC...................................................................................................................................................................................................................................................................................................................................................................................................................................................................................................................................................................................................................................................................................................................................................................................................2111.0010100000000
...............................................................................................................TCTAT--------TTGTTGTTGCGCTGGA....................................................................................................................................................................................................................................................................................................................................................................................................................................................................................................................................................................................................................................................................................................2111.0010100000000
................................................................................................................................................................................................................................................................................................................................................................................................................................................................................................................................................................................................................................................................................................................................................................................................................ACTGGCGTACTGACGCCCGAG...........2111.0010100000000
droPer2
TGAAGGGCACAGCCCTAAATGTGGCCGAATATTTAACGCCAGTGCTAAAGGTATTG------------------------------------------------TTGTTTCTCTAT--------TTGTTGTTGCGCTGGAA---CGGAGATTGAAATCTCTGATAGATCAAAAATCGGTTGC--------------------AAATCT-------------------------------------------------------------------------------------------A--------TACAC-----ATATAGATATGTCTGCGTGCTGG--------------------------------------------------------------------------------------------------------------------------------------A-CAACA-----------AAGGGGTCTT-----------TCCA--TTC-A---TTATTGATTGCCCC-T-------TTCCACG--ACTTC-GGCCAGCCCCCCAGGCGCTCATGCCTGGGCCGCCGACTGGCGTCCAACTGGCGACGCATACATTTCAATCAATTAAACACGCCCTCAGCACCCCTATTAAT-------T------------------------------------------------------------------------TTCCC--TT--TCTTCTAGGAGTCCAAATTTCGCGAGACTGGCGTACTGACGCCCGAGGAGTTTGTGGCSizeHit CountTotal NormTotalM021
Embryo
M042
Female-body
V042
Embryo
V050
Head
V057
Head
V111
Male-body
...........................................................................................................................................................ATCTCTGATAGATCAAAAA..................................................................................................................................................................................................................................................................................................................................................................................................................................................................................................................................................................................................................................................................1912.002020000
...............................................................................................................................................................................................................................................................................................................................TATAGATATGTCTGCGTGCTG............................................................................................................................................................................................................................................................................................................................................................................................................................................................................................2111.001000001
..............................................................................................................................GTTGTTGCGCTGGAA---CGGA............................................................................................................................................................................................................................................................................................................................................................................................................................................................................................................................................................................................................................................................................................1911.001010000
droWil2
TCAAAGGCACAGCATTAAATGTTGCAGAATATTTGACGCCTGTCTTAAAGGTAAGCGA--GAGG--GAGA-----GAGAGAGC---G---A--GAGATGATTTGTTGTTTTGCTATTATAATTCTTGTTGTTGTCA------------------------------------------------------TTGGCTGTG---A-G---AGATGAGCAACCCGAAGTAATCAAGTGAACAGTCACTGTGATTGT---------GAAGTCGTCTATG-ATGTATGCGAAGCTTATAAGCTTATATG--CTCAATCCAA---------------------------------------------------------------------------------------------------------------------------------------------------------------------------------------TGTG-----------ACTA--TTC-ACAGTAATTTATTGCTGC-T-------CATATCT--GTCTT-GGTTAATGTTACCCCCTTGTAGGTGGGGGGTGTCAAGTGGCGCCCGTCTGACGCGAGACAGTTTCCACTTAAACTAATCAATTTTCTCTTGCTGTTTCAAT-------T------------------------------------------------------------------------TTCTTTGTT--TGAAATAGGAATCAAAATTCCGTGAAACTGGCGTCTTGACACCCGAGGAATTTGTAGCSizeHit CountTotal NormTotalM020
Head
M045
Female-body
V117
Male-body
V118
Embryo
V119
Head
...................TGTTGCAGAATATTTGACGCC........................................................................................................................................................................................................................................................................................................................................................................................................................................................................................................................................................................................................................................................................................................................................................................................................2112.00220000
....................GTTGCAGAATATTTGACGCCTGTCTTG.................................................................................................................................................................................................................................................................................................................................................................................................................................................................................................................................................................................................................................................................................................................................................................................................2711.00101000
...................................................................................................................................................................................................................................................................................................................................................................................................................................................................................................................................................................................................................................................................................................................................................................................................................GGCGTCTTGACACCCGAGGAAT.......2211.00100100
...................................................................................................................................................................................................................................................................................................................................................................................................................................................................................................................................................................................................................................................................................................................................................................................................................GGCGTCTTGACACCCGAGGA.........2011.00100100
................................TTGACGCCTGTCTTAAAGGA............................................................................................................................................................................................................................................................................................................................................................................................................................................................................................................................................................................................................................................................................................................................................................................................2011.00100100
..............................ATTTGACGCCTGTCTTAAAGGA............................................................................................................................................................................................................................................................................................................................................................................................................................................................................................................................................................................................................................................................................................................................................................................................2211.00100100
...........................................................................................................................................................................................................................................................................................................................................................................................................................................................................................................................................................................................................................TGGCGCCCGTCTGACGCGAGA................................................................................................................................................................................................2111.00101000
...........................................................................................................................................................................................................................................................................................................................................................................................................................................................................................................................................................................................................................................................................................................................................................................................................GTGAAACTGGCGTCTTGACACCCGA............2511.00100100
........................................................................................................................................................................................................................................................................................................................................................................................................................................................................................................................................................................................................................................................................................................................................................................................................................CTTGACACCCGAGGAATTTGTA..2211.00100100
.....................................................................................................................................................................................................................................................................................................................................................................................................................................................................................................................................................................................................................................................................................................................................................................................................AATTCCGTGAAACTGGCGT........................1911.00100100
.......................GCAGAATATTTGACGCCTGTC....................................................................................................................................................................................................................................................................................................................................................................................................................................................................................................................................................................................................................................................................................................................................................................................................2111.00110000
......................................................................................................................................................................................................................................................................................................................................................................................................................................................................................................................................................ATTGCTGC-T-------CATATCT--GTCTT-..........................................................................................................................................................................................................................................................2111.00101000
..........................................................................................................................TCTTGTTGTTGTCA------------------------------------------------------TTGGCTG...........................................................................................................................................................................................................................................................................................................................................................................................................................................................................................................................................................................................................................................2111.00100010
.............................................................................................................................................................................................................................................................................................................................................................................................................................................................................................................................................................................................................................................................................................................................................................................................................................CACCCGAGGAATTTGTAGC1911.00100100
...............................................................................................................................................................................................................................................................................................................................................................................................................................................................................................................................................................T-------CATATCT--GTCTT-GGTTAATGTTACCCCC..........................................................................................................................................................................................................................................2911.00101000
.............................................................................................................................................................................................................................................................................................................................................................................................................................................................................................................................................................................................................................................................................................................................................................................................GGAATCAAAATTCCGTGAAACTGGCGT........................2711.00101000
...............................................................................................................................................................................................................................................................................................................................................................................................................................................................................................................................................................................................................................................................................................................................................................................................AATCAAAATTCCGTGAAACTGGCGT........................2511.00100100
.......................................................................................................................................................................................................................................................................................................................................................................................................................................................................................................................................................................................................................................................................................................................................................................................................TTCCGTGAAACTGGCGTCT......................1911.00110000
............................ATATTTGACGCCTGTCTTAAAGGA............................................................................................................................................................................................................................................................................................................................................................................................................................................................................................................................................................................................................................................................................................................................................................................................2411.00100100
....................GTTGCAGAATATTTGACGCCT.......................................................................................................................................................................................................................................................................................................................................................................................................................................................................................................................................................................................................................................................................................................................................................................................................2111.00101000
droVir3
TAAAAGGCACAGCGCTCAATGTAGCAGAATATTTAACTCCAGTCTTGAAGGCAAGTAT--TGACTTTTGGTACTC--ATTAAAGACG---CGA---------------------------------GTTGATAGAGTGGGA---GGAGGATT------------------------------------------------------------------------------------------------------------------------------------------------------------------------------------------------------TGTTAATTAAAGGAAGACTTTTTCTTCGACTTTAACTTTATTGCTTAATTATTATTTATTTGTGACCGCATTCACTTGCAATATTGATGTATTAATTCAA-------------------------T-ATT----------------------CTATTGTGCGTTCTGT--CTT-A---TCA---ATTCATTTGTTTTCT------------------------------CTATCTGTCGCTCGGGC--------GGGGTTTGAGTGGCGACGCAT---TTGTAATCAATTTATAAC------T--------------------------------------------------------------------------------------------AATTCAT--TT--TTGATTAGGAGTCGAAATTTCGCGAAACTGGCGTATTAACACCAGAGGAATTTGTGGCSizeHit CountTotal NormTotalM027
Male-body
M028
Head
M047
Female-body
M061
Embryo
SRR060654
Ovary
SRR060655
Testis
SRR060656
Ovary
SRR060657
Testis
SRR060658
Ovary
SRR060659
Testis
SRR060660
Ovary
SRR060661
Embryo
SRR060662
Embryo
SRR060663
Embryo
SRR060664
Male-body
SRR060665
Female-body
SRR060666
Male-body
SRR060667
Female-body
SRR060668
Male-body
SRR060669
Female-body
SRR060670
Testis
SRR060671
Male-body
SRR060672
Female-body
SRR060673
Ovary
SRR060674
Ovary
SRR060675
Ovary
SRR060676
Ovary
SRR060677
Ovary
SRR060678
Testis
SRR060679
Testis
SRR060680
Testis
SRR060681
Testis
SRR060682
Embryo
SRR060683
Testis
SRR060684
Embryo
SRR060685
Embryo
SRR060686
Embryo
SRR060687
Embryo
SRR060688
Ovary
SRR060689
Testis
SRR1106712
embryo_0-2h
SRR1106713
embryo_0-2h
SRR1106714
embryo_2-4h
SRR1106715
embryo_4-6h
SRR1106716
embryo_4-6h
SRR1106717
embryo_6-8h
SRR1106718
embryo_6-8h
SRR1106719
embryo_8-10h
SRR1106720
embryo_8-10h
SRR1106721
embryo_10-12h
SRR1106722
embryo_10-12h
SRR1106723
embryo_12-14h
SRR1106724
embryo_12-14h
SRR1106725
embryo_14-16h
SRR1106726
embryo_14-16h
SRR1106727
larvae
SRR1106728
larvae
SRR1106729
mixed whole adult body
SRR1106730
embryo_16-30h
V047
Embryo
V053
Head
V116
Male-body
GSM1528803
follicle cells
................................................................................................................................................................................................................................................................................................................................................................................................................................................................................................................................................................................................................................................................................................................................................................................................GTCGAAATTTCGCGAAACTG............................2011.001000000000000000000010000000000000000000000000000000000000000000
....................................................................................................................................AGAGTGGGA---GGAGGATT------------------------------------------------------------------------------------------------------------------------------------------------------------------------------------------------------TGT...............................................................................................................................................................................................................................................................................................................................................................................................................................................................................2011.001000100000000000000000000000000000000000000000000000000000000000
................................................................................................................................................................................................................................................................................................................................................................................................................................................................................................................................................................TTTCT------------------------------CTATCTGTCGCTCGGG.............................................................................................................................................................................................................................2111.001010000000000000000000000000000000000000000000000000000000000000
.............................................................................................................................................................................................................................................................................................................................................................................................................................................................TTCAA-------------------------T-ATT----------------------CTATTGTGCGTT..............................................................................................................................................................................................................................................................................................................2111.001000000000000000000000000000000000000001000000000000000000000000
..AAAGGCACAGCGCTCAATGTAGCA......................................................................................................................................................................................................................................................................................................................................................................................................................................................................................................................................................................................................................................................................................................................................................................................................................2411.001000000000000000100000000000000000000000000000000000000000000000
..................................................................TTGGTACTC--ATTAAAGACG---CG....................................................................................................................................................................................................................................................................................................................................................................................................................................................................................................................................................................................................................................................................................................................................................2111.001000000000000000000000000000000000100000000000000000000000000000
........ACAGCGCTCAATGTAGCAGA....................................................................................................................................................................................................................................................................................................................................................................................................................................................................................................................................................................................................................................................................................................................................................................................................................2011.001000000000000000000000000000000000100000000000000000000000000000
..............................................................................................................................................................................................................................................................................................................................................................................................................................................................................................................................................................................................................................................................................................................................................................................................GAGTCGAAATTTCGCGAAACT.............................2111.001000000000000001000000000000000000000000000000000000000000000000
................................................................................................................................................................................................................................................................................................................................................................................................................................................................................................................................................................................................................................................................................................................................................................................................GTCGAAATTTCGCGAAACTGG...........................2111.001001000000000000000000000000000000000000000000000000000000000000
......................................................................................................................................................................................................................................................................................................................................................................................................................................CACTTGCAATATTGATGTAT......................................................................................................................................................................................................................................................................................................................................................................................2011.001001000000000000000000000000000000000000000000000000000000000000
....................................................................................................................................................................................................................................................................................................................................................................................................................................................................................................................................................................................................TATCTGTCGCTCGGGC--------GGGGTT..............................................................................................................................................................................................................2211.001001000000000000000000000000000000000000000000000000000000000000
........................................................................................................................................................................................................................................................................................................................................................................................................................................................................................................................................................................................................TGTCGCTCGGGC--------GGGGTTTGAG..........................................................................................................................................................................................................2211.001000000000000000000000000100000000000000000000000000000000000000
..................................................GCAAGTAT--TGACTTTTGGTAC.......................................................................................................................................................................................................................................................................................................................................................................................................................................................................................................................................................................................................................................................................................................................................................................2111.001100000000000000000000000000000000000000000000000000000000000000
...................................................................................................................................................................................................................................................................................................................................................................................................................................................................................................................................................................................................................................................................................................................................................................................T--TTGATTAGGAGTCGAAATTTC.....................................2211.001000000000000000000000000010000000000000000000000000000000000000
..............................................................................................................................GTTGATAGAGTGGGA---GGAGGAT.........................................................................................................................................................................................................................................................................................................................................................................................................................................................................................................................................................................................................................................................................................2211.001000000000000000000000000000000000000000000000000000000000000010
................................................................................................................................................................................................................................................................................................................................................................................................................................................................................................................................................................................................................................................................................................................................................................................................GTCGAAATTTCGCGAAACTGGC..........................2211.001001000000000000000000000000000000000000000000000000000000000000
....................................................................................................................................................................................................................................................................................................................................................................................................................................................................................................................................................................................................TATCTGTCGCTCGGGC--------GGG.................................................................................................................................................................................................................1911.001000000000000000000000000000000000000000000000000000000000000010
.............................................................................................................................................................................................................................................................................................................................................................................................................................................................................................................................................................................................................CTCGGGC--------GGGGTTTGAGTGGC......................................................................................................................................................................................................2111.001000000000000000000000000000000000000000000000000000000000000010
..AAAGGCACAGCGCTCAATGTA.........................................................................................................................................................................................................................................................................................................................................................................................................................................................................................................................................................................................................................................................................................................................................................................................................................2111.001000000000000000000000000000000100000000000000000000000000000000
.................AATGTAGCAGAATATTTAA............................................................................................................................................................................................................................................................................................................................................................................................................................................................................................................................................................................................................................................................................................................................................................................................................1911.001000000000000000000000000000000000010000000000000000000000000000
droMoj3
TAAAGGGAACAGCGCTAAATGTGGCAGAATATTTAACGCCAATTTTAAAGGCA-------------------------------------------------------------------------------------------------------------------------------------------------------------------------------------------------------------------------------------------------------------------------------------------------------------------------------------------------------------------------------------------------------------------------------------------------------------------------------------------------------------------------------------------------------------------------------------------------------------------------------------------------------------------------------------------------------------------------------------------------------------------------------------------SizeHit CountTotal NormTotalM046
Female-body
V041
Embryo
V049
Head
V056
Head
M060
Embryo
V110
Male-body
No Reads
droGri2
TAAAAGGCAAAGCGCTTAATGTGGCAGAATATTTGACACCAATTCTAAAGGCAAGTAT--TAACTTATGT-------TTGAT--------------------------------------------------TAGTTGAGTCCCAGGATTTATGTAGCTTTAATAAATAATTTACTTTGTGC--------------------AAACTC-------------------------------------------------------------------------------------------A--------CAATA-----CAATAAATACA--------------------------------------------------------------------------------------------------------------CAAAATATTAT-------------------------T-TTACT-----------TAAGTGAATT-----------TTTA--CTT-A---TTA---ATACATTTAGTGAGG------------------------------GGCGCTGACGCGTGCGC--------AGTGTTCAACTGTCCA----T---TATTGAGAAATTAATCTT------A--------------------------------------------------------------------------------------------AAATTAT--TA--TTAATTAGGAATCGAAATTTCGCGAAACTGGAGTCTTAACACCAGAGGACTTTGTGGCSizeHit CountTotal NormTotalM041
Female-body
V109
Male-body
....................................................................................................................................................................................................................................................................................................................................................................................................................................................................................................................................................................................................................................................................................................................................................................................................AAATTTCGCGAAACTGGAGTCTTA....................2411.00110
........AAAGCGCTTAATGTGGCA......................................................................................................................................................................................................................................................................................................................................................................................................................................................................................................................................................................................................................................................................................................................................................................................................................1811.00110
droAna3
TGAAAGGAACGGCCCTAAACGTAGCCGAATATCTTACGCCCGTTTTAAAGGTAAAGAA--GAAA--GTGC-------AGCAACGACG---CAAGAAAAACT---ATG---------------------------------------------------------------------------------------------------------------------------------------------ATTATCATTTAGATCAAGTTTTTTATACGTATACACAACAGTTGTAGGCATATATATATTTAAAACAATGGA-TTGTTGAGGGTGTGTGCAAGTGCAACCCTAGTTCTGTAAAGACAGG-------------------------------------------------------------------------------------------------------------------------------CTGGGTTTT-----------ATGA--TACAA---TTATTGATTCCCCC-C-----T-AAACCCGAAAC--TTTCTCATACCCCTTGGTGGCAAT-------------------------------------------------------------------------------AAAACTGGATTCATCAGCTTTTCGCCGCCAGACTGTCGCCCCCATAAAATTAAATGAGT-GCAACATATACTTTCTTT-----TT---CATATTCAAAGGAATCCAAATTCCGGGAGACAGGTGTTCTCACCCCGGAGGAGTTTGTGGCSizeHit CountTotal NormTotalM044
Female-body
M058
Embryo
V039
Embryo
V055
Head
V105
Male-body
V106
Head
..............................................................................................................................................................................................................................................................................................................................................................................................................................................................................................................................................................................................................................................................................................................................................................................................................AGACAGGTGTTCTCACCCCGGAG...........2312.002000002
....................................................................................................................................................................................................................................................................................................................................................................................................................................................................................................................................................................................................................................................................................................................................................................................................AAATTCCGGGAGACAGGTGTT.......................2111.001100000
.....................................................................................................................................................................................................................................................................................................................................................................................................................................................................................................................................................................................................................................................................................................................................................................................................AATTCCGGGAGACAGGTGTTCTCACCC................2711.001010000
droBip1
TGAAAGGAACGGCGCTGAACGTAGCCGAATATCTTACGCCTGTTTTGAAGGTAAAGAA--GAAA--GTGC-------AACAAAGATG---AAAGAAAAACT---ATG---------------------------------------------------------------------------------------------------------------------------------------------ATTATCACCTAGATCAAGTTTTTTATACGTATACACAGCGGTTGTGTACATATATGTAGTAAAAACAATGAT-TAATTGAGGGTGTGTGCAAGTGCAACCCCAGTTCTAGAAAGACGGG-------------------------------------------------------------------------------------------------------------------CCCAAAGAGAGCCTGAGTTTC-----------ATGA--TACAA---TTATTGATTCCCCC-T-------TAACCCGAAAC--TTTCTCATACCCCTTGGTGGCAAT-------------------------------------------------------------------------------AAAACTGGATTCATCAGCTTTTCGCCGCCAGACTGTCGCCCCCATAAAATTAAATGAGT-GCACCATACACTTTCT-------TT--TC--ATTTTTAGGAATCCAAATTCCGGGAGACAGGTGTTCTCACCCCGGAGGAGTTTGTGGCSizeHit CountTotal NormTotal
No Reads
droKik1
TAAAAGGCACGGCGCTCAATGTGGCCGAATATCTAACGCCCGTACTGAAGGTAACTGATTGCAA--GTGC-------AACAACAATCTAAAAAGAAAAATT---TTGTTAC--------------TATTGCTGTGA------------------------------------------------------TTAAACACA---A-----------------------------------------------------------------------------AAACAGAG------------------------------G--------TG--------------------------------------------------------------------------------------------------------------CAAAA-GTGTATTTATACAAGCCAGCTTCAGCACAAAGGAAAGCCAGCAAAGATAAGGGCTCTCTGCTGTGTG------------T---ATATTGATTCGCTCATT------TTCCCCGCAACGATTTCCCATT-CCCTTGATGGCCAT-------------------------------------------------------------------------------AAAACCGGAT----------TTCGTCGCCAGACTGTCGCCGATTTAGTTTTCATAGAGTCGCCACTTAAATTTCCCCT-----TT--CT--TTTTTCAGGAATCCAAATTCCGTGAGACAGGCGTCCTGACACCCGAGGAGTTTGTGGCSizeHit CountTotal NormTotal
No Reads
droFic1
TTAATTTCTA--------------------------------------------------------------------------------------------------------------------------------------------------------------------------------------------------------------------------------------------------------------------------------------------------------------------------------------------------------------------------------------------------------------------------------------------------------------------------------------------------------------------------------------------------------------------------------------------------------------------------------------------------------------------------------------------------------------------------------------------------------------------AT--AT--TCTTGCAGGAATCAAAATTCCGCGAGACGGGTGTTCTTACTCCGGAGGAGTTCGTGGCSizeHit CountTotal NormTotal
No Reads
droEle1
TT----------------------------------------------------------------------------------------------------------------------------------------------------------------------------------------------------------------------------------------------------------------------------------------------------------------------------------------------------------------------------------------------------------------------------------------------------------------------------------------------------------------------------------------------------------------------------------------------------------------------------------------------------------------------------------------------------------------------------------------------------------------------------CC--TT--TCTTGCAGGAATCGAAATTCCGTGAGACGGGCGTTCTCACTCCGGAGGAGTTTGTAGCSizeHit CountTotal NormTotal
No Reads
droRho1
TGAAAGGCACGGCGCTCAATGTGGCCGAATATCTAACGCCCGTTTTAAAGGTAAAAAG---------TGC-------CAAATTGACG----------------------------------------------------------------------------------AAAACCTGACTATTAAAGCGATCAAATATGTACAA-------------------------------------------------------------------A---------------------------A--------TACGC-----AT-TAAATAGGGGTGTATATAAG-------------------------------------------------------------------------------------------------------------------CAGACAGGCTTCATGACAAA-GAAAACCGGAAAAGATAATGGTTTTC-------------CACTCTCAA---TTATTGATTTCCCC-T-----TTTTCCGCG--ACCTCTATCCATTCCCCCAAATG-----------------------------------------------------------------------------------------------------------------------------------------------------------------------------------------------------------------------------------------SizeHit CountTotal NormTotal
No Reads
droBia1
ACT--------------------------------------------------------------------------------------------------------------------------------------------------------------------------------------------------------------------------------------------------------------------------------------------------------------------------------------------------------------------------------------------------------------------------------------------------------------------------------------------------------------------------------------------------------------------------------------------------------------------------------------------------------------------CCTAAAACACCCGCTTTAATAATACTGTA------------------------------------------------------------------------TTCA--TC--CCTTGCAGGAATCGAAATTCCGCGAGACGGGCGTTCTCACTCCGGAGGAGTTCGTGGCSizeHit CountTotal NormTotal
No Reads
droTak1
TAATC---ACACCC---------------------------------------------------------------------------------------------------------------------------------------------------------------------------------------------------------------------------------------------------------------------------------------------------------------------------------------------------------------------------------------------------------------------------------------------------------------------------------------------------------------------------------------------------------------------------------------------------------------------------------AA---TCAAAATCAGTATAAATC----------------------AT---------------------------------------------------------------------------AAATCCC--TT--TCTTTTAGGAATCGAAGTTCCGCGAGACGGGCGTTCTTACGCCGGAGGAGTTTGTGGCSizeHit CountTotal NormTotal
No Reads
droEug1
TC----------------------------------------------------------------------------------------------------------------------------------------------------------------------------------------------------------------------------------------------------------------------------------------------------------------------------------------------------------------------------------------------------------------------------------------------------------------------------------------------------------------------------------------------------------------------------------------------------------------------------------------------------------------------------------------------------------------------------------------------------------------------------CC--TT--ACTTGCAGGAATCAAAATTCCGTGAAACTGGTGTTCTTACTCCCGAGGAATTTGTGGCSizeHit CountTotal NormTotal
No Reads
dm3
TTA-------------------------------------------------------------------------------------------------------------------------------------------------------------------------------------------------------------------------------------------------------------------------------------------------------------------------------------------------------------------------------------------------------------------------------------------------------------------------------------------------------------------------------------------------------------------------------------------------------------------------------------------------------------------------------------------------------------------------------------------------------------------------TTTT--TT--TTTTGCAGGAATCGAAATTCCGTGAGACAGGTGTTCTCACTCCGGAAGAATTCGTGGCSizeHit CountTotal NormTotalGSM154618
Ovary
GSM154620
Ovary
GSM154621
Ovary
GSM154622
Ovary
GSM180328
Head
GSM180329
Mixed-body
GSM180330
Embryo
GSM180331
Embryo
GSM180332
Embryo
GSM180333
Embryo
GSM180334
Larvae
GSM180335
Disc
GSM180336
Pupae
GSM180337
S2
GSM231091
Ovary
GSM239041
Head
GSM239050
Head
GSM239051
S2
GSM239052
S2
GSM246084
Head
GSM266765
S2
GSM280082
Ovary
GSM280083
Ovary
GSM280084
Ovary
GSM280085
Testis
GSM280086
Ovary
GSM280087
S2-NP
GSM280088
S2-NP
GSM312995
Head
GSM313160
Head
GSM313161
Head
GSM313162
Head
GSM313163
Head
GSM313164
Head
GSM313165
Head
GSM343287
Embryo
GSM379050
Ovary
GSM379051
Ovary
GSM379052
Ovary
GSM379053
Ovary
GSM379054
Ovary
GSM379055
Ovary
GSM379056
Ovary
GSM379057
Ovary
GSM379058
Ovary
GSM379059
Ovary
GSM379060
Ovary
GSM379061
Ovary
GSM379062
Ovary
GSM379063
Ovary
GSM379064
Ovary
GSM379065
Ovary
GSM379066
Ovary
GSM379067
Ovary
GSM424739
S2
GSM424740
S2
GSM424741
S2
GSM467729
Female-body
GSM467730
Female-body
GSM467731
Female-body
M002
CS
M003
Male-body
M004
Male-body
M005
ML-DmD32
M006
ML-DmD32
M029
OSC
M030
OSC
M031
OSC
M032
S2-R+
M033
S2-R+
M034
S2-R+
M035
S2-R+
M036
S2-R+
M037
S2-R+
M038
S2-R+
M039
S2-R+
M048
S2-R+
OSS2
OSS
OSS6
OSS
OSS7
OSS
OSS8
OSS
S1
Head
S10
Embryo
S11
Embryo
S12
Embryo
S13
Embryo
S14
Embryo
S15
S2-GMR
S16
Kc
S17
Larvae
S18
Larvae
S19
Pupae
S2
Head
S20
Pupae
S21
Disc
S22
Head
S23
Female-body
S24
Male-body
S25
Larvae
S26
Larvae
S27
Pupae
S28
Pupae
S29
Head
S3
Male-body
S30
S2-GMR
S31
S2
S32
S2
S33
Kc
S34
Kc
S35
Kc
S4
Female-body
S5
Disc
S6
Embryo
S7
Embryo
S8
S2
S9
Embryo
SRR001337
Head
SRR001338
Head
SRR001339
Head
SRR001340
Head
SRR001341
Head
SRR001342
Head
SRR001343
Head
SRR001344
Head
SRR001345
Head
SRR001346
Head
SRR001347
Head
SRR001348
Head
SRR001349
Head
SRR001664
Head
SRR010951
Ovary
SRR010952
Ovary
SRR010953
Ovary
SRR010954
Ovary
SRR010955
Ovary
SRR010956
Ovary
SRR010957
Ovary
SRR010958
Ovary
SRR010959
Ovary
SRR010960
Ovary
SRR014268
Embryo
SRR014269
Embryo
SRR014270
Embryo
SRR014271
Embryo
SRR014272
Embryo
SRR014273
Ovary
SRR014274
Ovary
SRR014275
Ovary
SRR014276
Ovary
SRR014277
Ovary
SRR014278
Ovary
SRR014279
Ovary
SRR014280
Ovary
SRR014281
Ovary
SRR014282
Ovary
SRR023197
S2
SRR023399
S2
SRR023400
S2
SRR023402
S2
SRR023407
S2
SRR029028
S2
SRR029029
S2
SRR029030
S2
SRR029031
S2
SRR029032
S2
SRR029033
S2
SRR029608
Head
SRR029633
Head
SRR030145
gb3
SRR031692
Head
SRR031693
Head
SRR031694
Head
SRR031696
Head
SRR031697
Head
SRR031698
Head
SRR031699
Head
SRR031700
Head
SRR031701
Head
SRR031702
Head
SRR031703
Head
SRR031704
Head
SRR032092
S2
SRR032093
S2
SRR032094
S2
SRR032095
S2-NP
SRR032096
S2-NP
SRR032152
Head
SRR060643
Testis
SRR060644
Ovary
SRR060645
Testis
SRR060646
Ovary
SRR060647
Ovary
SRR060648
Ovary
SRR060649
Ovary
SRR060650
Testis
SRR060651
Ovary
SRR060652
Testis
SRR060653
Ovary
SRR065151
Ovary
SRR065152
Ovary
SRR065153
Ovary
SRR065154
Ovary
SRR065155
Ovary
SRR065800
Ovary
SRR065801
Ovary
SRR065802
Ovary
SRR065803
Ovary
SRR065804
Ovary
SRR065805
Ovary
SRR065806
Ovary
SRR065807
Ovary
SRR097865
S2-NP
SRR097866
S2-NP
SRR097867
S2-NP
SRR298536
Ovary
SRR298537
Ovary
SRR298711
Ovary
SRR298712
Ovary
SRR317110
Ovary
SRR317111
Ovary
SRR317112
Ovary
SRR317113
Ovary
SRR317114
Ovary
SRR317115
Ovary
SRR317116
Ovary
SRR317117
Ovary
SRR341115
S2
SRR341116
S2
SRR341117
S2
SRR341118
S2
SRR351332
Mixed-body
SRR351333
Mixed-body
T004
OSC
T005
CME-L1
V001
Embryo
V002
Embryo
V003
S2
V006
Female-body
V007
Head
V008
S2
V009
CME-L1
V010
ML-DmD20-C5
V011
Sg4
V012
Male-body
V013
Head
V014
DTT
V015
DreRFHV
V018
Kc167
V019
GM2
V020
S2-R+
V021
ML-DmD21
V022
ML-DmD32
V023
Head
V024
Kc167
V025
S2-R+
V026
1182-2H
V027
ML-DmD21
V028
CME-W1-Cl.8+
V029
ML-DmD9
V030
ML-DmD8
V031
GM2
V032
S1
V033
CME-W1-Cl.8+
V034
ML-DmD16-C3
V035
ML-DmD32
V036
ML-DmD20-C5
V037
S2
V038
S2
V063
Ovary
V0632
Ovary
V064
Ovary
V0642
Ovary
V065
Ovary
V0652
Ovary
V066
Ovary
V0662
Ovary
V067
S2-NP
V073
mbn2
V074
S3
V075
ML-DmBG1-C1
V076
ML-DmBG3-C2
V077
Head
V078
Head
V079
Head
V080
Head
V081
Embryo
V082
Embryo
V083
Male-body
V084
Female-body
V085
CME-W2
V086
Female-body
V088
Ovary
V0882
Ovary
V089
Ovary
V0892
Ovary
V090
Male-body
V091
fGS/OSS
V092
Male-body
V093
Male-body
V094
S2-R+
V095
S2-R+
V096
Ovary
V097
Ovary
V098
Ovary
V125
ML-DmD9
V126
CME-L1
V127
G2
V128
S3
V129
ML-DmBG1-C1
V130
ML-DmBG3-C2
V131
ML-DmD16-C3
V132
ML-DmD32
V133
Sg4
V134
ML-DmD8
V135
CME-W2
V136
Male-body
V137
Head
V138
Male-body
V139
Female-body
V140
Female-body
V141
Female-body
V142
Female-body
V144
OSC
V145
S2
V146
S1
V147
1182-2H
V148
mbn2
GSM1528798
follicle cells
...............................................................................................................................................................................................................................................................................................................................................................................................................................................................................................................................................................................................................................................................................................................................................................................................................GACAGGTGTTCTCACTCCGGAAGAAT.......2616.0060000000000000000000000000000000000000000000000000000000000000000000000000000000000000000000000000000000000000000000000000000000000000000000000000000000000000000000000000000000000000000000000000000000000000000060000000000000000000000000000000000000000000000000000000000000000000000000000000000000000000000000000000000000000000000
......................................................................................................................................................................................................................................................................................................................................................................................................................................................................................................................................................................................................................................................................................................................................................................................................................GTTCTCACTCCGGAAGAATTCGTG..2413.0030000000000000000000000000000000000000000000000000000000000000000000000000000000000000000000000000000000000000000000000000000000000000000000030000000000000000000000000000000000000000000000000000000000000000000000000000000000000000000000000000000000000000000000000000000000000000000000000000000000000000000000000000000000000000000
.............................................................................................................................................................................................................................................................................................................................................................................................................................................................................................................................................................................................................................................................................................................................................................................................................GAGACAGGTGTTCTCACTCC...............2013.0030000000000000000000000000000000000000000000000000000000000000000000000000000000000000000000001100010000000000000000000000000000000000000000000000000000000000000000000000000000000000000000000000000000000000000000000000000000000000000000000000000000000000000000000000000000000000000000000000000000000000000000000000000000000000000
......................................................................................................................................................................................................................................................................................................................................................................................................................................................................................................................................................................................................................................................................................................................................................................................................ATTCCGTGAGACAGGTGTTCT.....................2112.0020000000000000000000000000000000000000000000000000000000000000000000000000000000000000000000000000000000000000000000000000000000000000000000000000000000000000000000000000000000000000000000000000000000000000000000000000000000000000000000000000000000000000000000000000000000000000000000000000000020000000000000000000000000000000000
...............................................................................................................................................................................................................................................................................................................................................................................................................................................................................................................................................................................................................................................................................................................................................................................................................GACAGGTGTTCTCACTCCGGAAGAATT......2712.0020000000000000000000000000000000000000000000000000000000000000000000000000000000000000000000000000000000000000000000000000000000000000000000000000000000000000000000000000000000000000000000002000000000000000000000000000000000000000000000000000000000000000000000000000000000000000000000000000000000000000000000000000000000000000000
.........................................................................................................................................................................................................................................................................................................................................................................................................................................................................................................................................................................................................................................................................................................................................................................................................................CTCACTCCGGAAGAATTCGTGGC2312.0020000000000000000000000000000000000000000000000000000000000000000000000000000000000000000000000000000000000000000000000000000000000000000000000000000000000000000000000000000000000000000000000000000000000000000000000010000000000000000000000000000000000000000000000000000000000000000000000000000000000000000000000000000000001000000
.....................................................................................................................................................................................................................................................................................................................................................................................................................................................................................................................................................................................................................................................................................................................................................................................................................TGTTCTCACTCCGGAAGAATTCGTGGC2712.0020000000000000000000000000000000000000000000000000000000000000000000000000000000000000000000000000000000000000000000000000000000000000000000000000000000000000000000000000000000000000000000000000000000000000000000000000010000000000000000000000000000000000000000000000000000000000000000000000000000000010000000000000000000000000000
..................................................................................................................................................................................................................................................................................................................................................................................................................................................................................................................................................................................................................................................................................................................................................................................................CGAAATTCCGTGAGACAGGTG.........................2111.0010000000000000000000000000000000000000000000000000000000000000000000000000000000000000000000000000000000000000000000000000000000000000000000000000000000000000000000000000000000000000000000000000000000000000000000000000000000000000000000000000000000000000000000000000000000000000000000000000000000000000000000000000000000000100000
..............................................................................................................................................................................................................................................................................................................................................................................................................................................................................................................................................................................................................................................................................................................................................................................................GAATCGAAATTCCGTGAGACAGGT..........................2411.0010000000000000000000000000000000000000000000000000000000000000000000000000000000000000000000000100000000000000000000000000000000000000000000000000000000000000000000000000000000000000000000000000000000000000000000000000000000000000000000000000000000000000000000000000000000000000000000000000000000000000000000000000000000000000000
.................................................................................................................................................................................................................................................................................................................................................................................................................................................................................................................................................................................................................................................................................................................................................................................................................CAGGTGTTCTCACTCCGGAAG..........2111.0010000000000000000000000000000000000000000000000000000000000000000000000000000000000000000000000000000000000000000000000000000000000000000000000000000000000000000000000000000000000000000000000000000000000000000000000000000000000000000000000000000000000000000000000000000000000000000000000000000000000000000000000000000000100000000
..............................................................................................................................................................................................................................................................................................................................................................................................................................................................................................................................................................................................................................................................................................................................................................................................................AGACAGGTGTTCTCACTCCGGAAGA.........2511.0010000000000000000000000000000000000000000000000000000000000000000000000000000000000000000000000000000000000000000000000000000000000000100000000000000000000000000000000000000000000000000000000000000000000000000000000000000000000000000000000000000000000000000000000000000000000000000000000000000000000000000000000000000000000000000
..............................................................................................................................................................................................................................................................................................................................................................................................................................................................................................................................................................................................................................................................................................................................................................................TT--TT--TTTTGCAGGAATCG............................................1811.0010000000000000000000000000000000000000000000000000000000000000000000000000000000000000000000000000000000000000000000000000000000000000000000000000000000000000000000000000000000000000000000000000000000000000000000000000000000000000000000000000000000100000000000000000000000000000000000000000000000000000000000000000000000000000000
.....................................................................................................................................................................................................................................................................................................................................................................................................................................................................................................................................................................................................................................................................................................................................................................................................................TGTTCTCACTCCGGAAGAATT......2111.0010000000000000000000000000000000000000000000000000000000000000000000000000000000000000000000000000000000000000000000000000000000000000000000000000000000000000000000000000000000000000000000000000000000000000000000000000000000000000000000000000000000000000000000000000000000000000000000000100000000000000000000000000000000000000000
.........................................................................................................................................................................................................................................................................................................................................................................................................................................................................................................................................................................................................................................................................................................................................................................................................................CTCACTCCGGAAGAATTCGTG..2111.0010000000000000000000000000000000000000000000000000000000000000000000000000000000000000000000000000000000000000000000000000000000000000000000000000000000000000000000000000000000000000000000000000000000000000000000000000000000000000000000000000000000000000000000000000000000000000000000000000000000000000000000000000001000000000000
...................................................................................................................................................................................................................................................................................................................................................................................................................................................................................................................................................................................................................................................................................................................................................................................................GAAATTCCGTGAGACAGGTGTTC......................2311.0010000000000000000000000000000000000000000000000000000000000000000000000000000000000000000000000000000000000000000000000000000000000000000000000000000000000000000000000000000000000000000000000000000000000000000000000000000000000000000000000000000000000000000000000000000000000000000000000000000000000000000000000100000000000000000
....................................................................................................................................................................................................................................................................................................................................................................................................................................................................................................................................................................................................................................................................................................................................................................................................AAATTCCGTGAGACAGGTGTT.......................2111.0010000000000000000000000000000000000000000000000000000000000000000000000000000000000000000000000000000000000000000000000000000000000000000000000000000000000000000000000000000000000000000000000000000000000000000000000000000000000000000000000000000000000000000000000000000000000000000000000000000000000000000000000000000001000000000
.....................................................................................................................................................................................................................................................................................................................................................................................................................................................................................................................................................................................................................................................................................................................................................................................................................TGTTCTCACTCCGGAAGAATTCGTG..2511.0010000000000000000000000000000000000000000000000000000000000000000000000000000000000000000000000000000000000000000000000000000000000000000000000000000000000000000000000000000000000000000000000000000000000000000000000001000000000000000000000000000000000000000000000000000000000000000000000000000000000000000000000000000000000000000
...............................................................................................................................................................................................................................................................................................................................................................................................................................................................................................................................................................................................................................................................................................................................................................................................AATCGAAATTCCGTGAGACAGGTGTTC......................2711.0010000000000000000000000000000000000000000000000000000000000000000000000000000000000000000000000000000000000000000000000000000000000000000000000000000000000000000000000000000000000000000000000000000000000000000000000000010000000000000000000000000000000000000000000000000000000000000000000000000000000000000000000000000000000000000
.............................................................................................................................................................................................................................................................................................................................................................................................................................................................................................................................................................................................................................................................................................................................................................................................................GAGACAGGTGTTCTCACTCCGGAAG..........2511.0010000000000000000000000000000000000000000000000000000000000000000000000000000000000000000000000000000010000000000000000000000000000000000000000000000000000000000000000000000000000000000000000000000000000000000000000000000000000000000000000000000000000000000000000000000000000000000000000000000000000000000000000000000000000000000
...................................................................................................................................................................................................................................................................................................................................................................................................................................................................................................................................................................................................................................................................................................................................................................................................GAAATTCCGTGAGACAGGTGT........................2111.0010000000000000000000000000000000000000000000000000000000000000000000000000000000000000000000000000000000000000000000000000000000000000000000000000000000000000000000000000000000000000000000000000000100000000000000000000000000000000000000000000000000000000000000000000000000000000000000000000000000000000000000000000000000000000000
................................................................................................................................................................................................................................................................................................................................................................................................................................................................................................................................................................................................................................................................................................................................................................................................ATCGAAATTCCGTGAGACAGGT..........................2211.0010000000000000000000000000000000000000000000000000000000000000000000000000000000000000000000000000000000000000000000000000000000000000000000000000000000000000000000000000000000000000000000000000000000000000000000000000000000000000000000000000000000000001000000000000000000000000000000000000000000000000000000000000000000000000000
...............................................................................................................................................................................................................................................................................................................................................................................................................................................................................................................................................................................................................................................................................................................................................................................................................GACAGGTGTTCTCACTCCGGAA...........2211.0010000000000000000000000000000000000000000000000000000000000000000000000000000000000000000000000000001000000000000000000000000000000000000000000000000000000000000000000000000000000000000000000000000000000000000000000000000000000000000000000000000000000000000000000000000000000000000000000000000000000000000000000000000000000000000
............................................................................................................................................................................................................................................................................................................................................................................................................................................................................................................................................................................................................................................................................................................................................................................................................................ACTCCGGAAGAATTCGTGGC2011.0010000000000000000000000000000000000000000000000000000000000000000000000000000000000000000000000000000000000000000000000000000000000000000000010000000000000000000000000000000000000000000000000000000000000000000000000000000000000000000000000000000000000000000000000000000000000000000000000000000000000000000000000000000000000000000
.......................................................................................................................................................................................................................................................................................................................................................................................................................................................................................................................................................................................................................................................................................................................................................................................................................TTCTCACTCCGGAAGAATTCGTGGC2511.0010000000000000000000000000000000000000000000000000000000000000000000000000000000000000000000000000000000000000000000000000000000000000000000000000000000000000000000000000000000000000000000000000000000000000000000000000000000100000000000000000000000000000000000000000000000000000000000000000000000000000000000000000000000000000000
..........................................................................................................................................................................................................................................................................................................................................................................................................................................................................................................................................................................................................................................................................................................................................................................................................CGTGAGACAGGTGTTCTCAC..................2011.0010000000000000000000000000000000000000000000000000000000000000000000000000000000000000000000100000000000000000000000000000000000000000000000000000000000000000000000000000000000000000000000000000000000000000000000000000000000000000000000000000000000000000000000000000000000000000000000000000000000000000000000000000000000000000000
..............................................................................................................................................................................................................................................................................................................................................................................................................................................................................................................................................................................................................................................................................................................................................................................TT--TT--TTTTGCAGGAATCGA...........................................1911.0010000000000000000000000000000000000000000000000000000000000000000000000000000000000000000000000000000000000000000000000000000000000000000000000000000000000000000000000000000000000000000000000000000000000000000000000000000000000000000000000000000000000000000000000000000000000000000100000000000000000000000000000000000000000000000
..............................................................................................................................................................................................................................................................................................................................................................................................................................................................................................................................................................................................................................................................................................................................................................................TT--TT--TTTTGCAGGAATCGAAAC........................................2211.0010000000000000000000000000000000000000000000000000000000000000000000000000000000000000000000000000000000000000000000000000000000000000000000000000000000000000000000000000000000000000000000000000000000000000000000000000000000000000000000000000000000000000000000000000000000000000000000000000000000000000000000000000000000000000010
.................................................................................................................................................................................................................................................................................................................................................................................................................................................................................................................................................................................................................................................................................................................................................................................................TCGAAATTCCGTGAGACAGGTGTTC......................2511.0010000000000000000000000000000000000000000000000000000000000000000000000000000000000000000000000100000000000000000000000000000000000000000000000000000000000000000000000000000000000000000000000000000000000000000000000000000000000000000000000000000000000000000000000000000000000000000000000000000000000000000000000000000000000000000
..........................................................................................................................................................................................................................................................................................................................................................................................................................................................................................................................................................................................................................................................................................................................................................................................................................TCACTCCGGAAGAATTCGTT..2011.0010000000000000000000000000000000000000000000000000000000000000000000000000000000000000000000000000000000000000000000000000000000000000000000000000000000000000000000000000000000000000000000000000000000000000000000000000000000000000000000000000000000000000000000000000000000000000000000000000000000000000000000000000000000010000000
...........................................................................................................................................................................................................................................................................................................................................................................................................................................................................................................................................................................................................................................................................................................................................................................................................................CACTCCGGAAGAATTCGTG..1911.0010000000000000000000000000000000000000000000000000000000000000000000000000000000000000000000000000000000000000000000000000000000000000000000000000000000000000000000000000000000000000000000000000000000000000000000000000000000000000000000000000000000000000000000000000000000000000000000000000000000000000010000000000000000000000000
droSim2
TTA---------------------------------------------------------------------------------------------------------------------------------------------------------------------------------------------------------------------------------------------------------------------------------------------------------------------------------------------------------------------------------------------------------------------------------------------------------------------------------------------------------------------------------------------------------------------------------------------------------------------------------------------------------------------------------------------------------------------------------------------------------------------------TT--TT--TTTTGCAGGAATCGAAGTTCCGTGAGACAGGTGTTCTCACTCCGGAGGAATTCGTGGCSizeHit CountTotal NormTotalM023
Head
M024
Male-body
M025
Embryo
M053
Female-body
O001
Testis
O002
Head
SRR553485
Ovary
SRR553486
Ovary
SRR553487
Ovary
SRR553488
Ovary
SRR618934
Ovary
V044
Embryo
SRR902008
Ovary
SRR902009
Testis
SRR1275487
Male larvae
SRR1275485
Male prepupae
SRR1275483
Male prepupae
............................................................................................................................................................................................................................................................................................................................................................................................................................................................................................................................................................................................................................................................................................................................................................................................AGGAATCGAAGTTCCGTGAGACAGG...........................2511.00100000001000000000
.....................................................................................................................................................................................................................................................................................................................................................................................................................................................................................................................................................................................................................................................................................................................................................................................................................TGTTCTCACTCCGGAGGAATTCGTGGC2711.00100000010000000000
...............................................................................................................................................................................................................................................................................................................................................................................................................................................................................................................................................................................................................................................................................................................................................................................................................GACAGGTGTTCTCACTCCGGAG...........2211.00100010000000000000
.................................................................................................................................................................................................................................................................................................................................................................................................................................................................................................................................................................................................................................................................................................................................................................................................TCGAAGTTCCGTGAGACA.............................1811.00100000000001000000
..................................................................................................................................................................................................................................................................................................................................................................................................................................................................................................................................................................................................................................................................................................................................................................................................CGAAGTTCCGTGAGACAG............................1811.00110000000000000000
droSec2
TTA---------------------------------------------------------------------------------------------------------------------------------------------------------------------------------------------------------------------------------------------------------------------------------------------------------------------------------------------------------------------------------------------------------------------------------------------------------------------------------------------------------------------------------------------------------------------------------------------------------------------------------------------------------------------------------------------------------------------------------------------------------------------------TC--TT--TTTTGCAGGAATCGAAGTTCCGTGAGACAGGGGTTCTCACTCCGGAGGAATTCGTGGCSizeHit CountTotal NormTotalM054
Female-body
V113
Male-body
V114
Embryo
V115
Head
........................................................................................................................................................................................................................................................................................................................................................................................................................................................................................................................................................................................................................................................................................................................................................................................TTGCAGGAATCGAAGTTCCGT...................................2111.0011000
...............................................................................................................................................................................................................................................................................................................................................................................................................................................................................................................................................................................................................................................................................................................................................................................................AATCGAAGTTCCGTGAGACAG............................2111.0010100
................................................................................................................................................................................................................................................................................................................................................................................................................................................................................................................................................................................................................................................................................................................................................................................................ATCGAAGTTCCGTGAGACAGGGGTTCT.....................2711.0010010
................................................................................................................................................................................................................................................................................................................................................................................................................................................................................................................................................................................................................................................................................................................................................................................................ATCGAAGTTCCGTGAGACAGGGGTTCTCA...................2911.0010010
................................................................................................................................................................................................................................................................................................................................................................................................................................................................................................................................................................................................................................................................................................................................................................................................ATCGAAGTTCCGTGAGACAGGG..........................2211.0010010
...................................................................................................................................................................................................................................................................................................................................................................................................................................................................................................................................................................................................................................................................................................................................................................................................GAAGTTCCGTGAGACAGGGGTTCTCACT.................2811.0010010
droYak3
T-------------------------------------------------------------------------------------------------------------------------------------------------------------------------------------------------------------------------------------------------------------------------------------------------------------------------------------------------------------------------------------------------------------------------------------------------------------------------------------------------------------------------------------------------------------------------------------------------------------------------------------------------------------------------------------------------------------------------------------------------------------------------------------TTTTACAGGAGTCGAAGTTCCGTGAGACAGGTGTTCTCACTCCGGAGGAATTCGTGGCSizeHit CountTotal NormTotalM026
Head
M043
Female-body
M056
Embryo
V046
Embryo
V052
Head
V058
Head
V120
Male-body
SRR1275488
Male larvae
SRR1275486
Male prepupae
SRR1275484
Male prepupae
GSM1528802
follicle cells
..................................................................................................................................................................................................................................................................................................................................................................................................................................................................................................................................................................................................................................................................................................................................................................................................CGAAGTTCCGTGAGACAGG...........................1911.00101000000000
............................................................................................................................................................................................................................................................................................................................................................................................................................................................................................................................................................................................................................................................................................................................................................................................AGGAGTCGAAGTTCCGTGAGACAGGTGT........................2811.00100000010000
.........................................................................................................................................................................................................................................................................................................................................................................................................................................................................................................................................................................................................................................................................................................................................................................................................CCGTGAGACAGGTGTTCTC....................1911.00101000000000
.................................................................................................................................................................................................................................................................................................................................................................................................................................................................................................................................................................................................................................................................................................................................................................................................................CAGGTGTTCTCACTCCGGAGGA.........2211.00100000010000
...................................................................................................................................................................................................................................................................................................................................................................................................................................................................................................................................................................................................................................................................................................................................................................................................GAAGTTCCGTGAGACAGGT..........................1911.00100000010000
...............................................................................................................................................................................................................................................................................................................................................................................................................................................................................................................................................................................................................................................................................................................................................................................................................GACAGGTGTTCTCACTCCGGAGGA.........2411.00100000010000
..................................................................................................................................................................................................................................................................................................................................................................................................................................................................................................................................................................................................................................................................................................................................................................................................CGAAGTTCCGTGAGACAGGT..........................2011.00100000010000
droEre2
TAAAGGGCACAGCTCTCAACGTGGCCGAATATCTGACGCCCGTTTTGAAGGTAAAG----------------------------------------------------------------------------------------------------TCTCAAATAAACGGAAAACGGACTATCAAAGCGATGAAATGTGTA----TT--------------------------------------------------------------TTA---------------------------A--------TACGT-----AT-GAAACGAGAGTGCATGCTGA--------------------------------------------------------------------------------------------------------------------------------------A-GAAAATCCGAAAAGATAATGGGCCTC-----------CTCG--CTC-A---TTTCCCATTTTCCC-A--------------------------------------------------------------------------------------------------------------------------------------------------------------------------------------------------------------------------------------CTTTCTCTGAATTCTGGTGACGGCACCCGGAGTGC------TSizeHit CountTotal NormTotalM055
Female-body
M057
Embryo
V060
Head
V040
Embryo
V107
Male-body
V108
Head
GSM1528801
follicle cells
.................................TGACGCCCGTTTTGAAGGA............................................................................................................................................................................................................................................................................................................................................................................................................................................................................................................................................................................................................................................................................................................................................................................................1911.0010000010

Generated: 05/18/2015 at 05:59 AM